Студопедия

Главная страница Случайная страница

КАТЕГОРИИ:

АвтомобилиАстрономияБиологияГеографияДом и садДругие языкиДругоеИнформатикаИсторияКультураЛитератураЛогикаМатематикаМедицинаМеталлургияМеханикаОбразованиеОхрана трудаПедагогикаПолитикаПравоПсихологияРелигияРиторикаСоциологияСпортСтроительствоТехнологияТуризмФизикаФилософияФинансыХимияЧерчениеЭкологияЭкономикаЭлектроника






End Function






 

Рисунок 5. Проверка корректности функции ПроизведениеЧиселБольших5

Варианты

Вариант

Задание 1. В MS Excel, используя VBA, напишите функцию пользователя, вычисляющую расстояние между двумя точками (формула , где (x1, y1),
(x2, y2)
– координаты точек). При помощи данной функции рассчитайте периметр треугольника, заданного координатами своих вершин.

Задание 2. В MS Excel, используя VBA, напишите рекурсивную функцию, вычисляющую член последовательности, заданной формулой Di=7+Di-1 при i> 1. Значение первого члена последовательности вводится пользователем. При помощи данной функции выведите первые 10 членов последовательности.

Задание 3. В MS Excel, используя VBA, напишите функцию, заданную формулой:

Проверьте правильность расчетов.

Задание 4. В MS Excel, используя VBA, напишите процедуру, позволяющую найти количество натуральных двузначных чисел, каждое из которых не делится ни на 2, ни на 13.

Задание 5. В MS Excel, используя VBA, напишите функцию, позволяющую в диапазоне ячеек, выделенном пользователем, вычислить произведение модулей отрицательных чисел. Проверьте правильность расчетов.

 

Вариант

Задание 1. В MS Excel, используя VBA, напишите функцию пользователя, вычисляющую периметр треугольника (формула приведена ниже). В правильном треугольнике проведена средняя линия. Найдите площадь образовавшейся трапеции при помощи описанной функции.

Задание 2. В MS Excel, используя VBA, напишите рекурсивную функцию, вычисляющую член последовательности, заданной формулой Ai=Ai-1-Ai-2, при i> 2. Значения первого и второго членов последовательности вводятся пользователем. При помощи данной функции выведите первые 10 членов последовательности.

Задание 3. В MS Excel, используя VBA, напишите функцию, заданную формулой:

Проверьте правильность расчетов.

Задание 4. В MS Excel, используя VBA, напишите процедуру, позволяющую найти количество натуральных чисел, не превосходящих 1000, каждое из которых при делении на три дает в остатке два.

Задание 5. В MS Excel, используя VBA, напишите функцию, позволяющую в диапазоне ячеек, выделенном пользователем, вычислить количество положительных чисел, не принадлежащих отрезку [a, b]. Проверьте правильность расчетов.

Вариант

Задание 1. В MS Excel, используя VBA, напишите функцию пользователя, вычисляющую путь (формула приведена ниже). Найдите положение свободно падающего в глубокий колодец камня через 0, 1; 0, 2; 0, 3; 0, 4; 0, 5; 0, 6; 0, 7; 0, 8; 0, 9; 1, 0 сек. после начала падения, используя описанную функцию.

, где g =9, 8.

Задание 2. В MS Excel, используя VBA, напишите рекурсивную функцию, вычисляющую член последовательности, заданной формулой an=an-1+d, при n> 0. Значения n, d и a0 вводятся пользователем. При помощи данной функции выведите первые 10 членов последовательности.

Задание 3. В MS Excel, используя VBA, напишите функцию, заданную формулой:

Проверьте правильность расчетов.

Задание 4. В MS Excel, используя VBA, напишите процедуру, позволяющую найти сумму натуральных двузначных чисел, каждое из которых делится на 3 и не делится на 4.

Задание 5. В MS Excel, используя VBA, напишите функцию, позволяющую в диапазоне ячеек, выделенном пользователем, найти наименьшее число, принадлежащее отрезку [a, b].

 

Вариант

Задание 1. В MS Excel, используя VBA, напишите функцию пользователя, вычисляющую объем цилиндра (формула приведена ниже). Используя данную функцию, выясните, в какую из двух бочек цилиндрической формы поместится больше воды (для каждой бочки известна высота и диаметр).

V=π R2H, где R – радиус основания, H – высота цилиндра

Задание 2. В MS Excel, используя VBA, напишите рекурсивную функцию, вычисляющую член последовательности, заданной формулой yn=2× yn-1-yn-2, где n> 2 (y1=0, y2=10). При помощи данной функции выведите первые 10 членов последовательности.

Задание 3. В MS Excel, используя VBA, напишите функцию, заданную формулой:

Проверьте правильность расчетов.

Задание 4. В MS Excel, используя VBA, напишите процедуру, позволяющую найти сумму натуральных трехзначных чисел, кратных трем.

Задание 5. В MS Excel, используя VBA, напишите функцию, позволяющую в диапазоне ячеек, выделенном пользователем, посчитать количество чисел, не принадлежащих интервалу (a, b).

Вариант

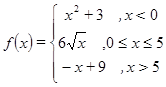
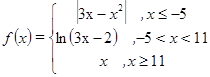
Задание 1. В MS Excel, используя VBA, напишите функцию пользователя, вычисляющую значения функции f(x) при заданных значениях аргумента x.

Задание 2. В MS Excel, используя VBA, напишите рекурсивную функцию, вычисляющую член последовательности, заданной формулой Bi=4·Bi-1, при i> 1. Значение первого члена последовательности вводится пользователем. При помощи данной функции выведите первые 10 членов последовательности.

Задание 3. В MS Excel, используя VBA, напишите функцию, заданную формулой:

Проверьте правильность расчетов.

Задание 4. В MS Excel, используя VBA, напишите процедуру, позволяющую найти сумму натуральных двузначных чисел, каждое из которых не делится ни на 2, ни на 3.

Задание 5. В MS Excel, используя VBA, напишите функцию, позволяющую в диапазоне ячеек, выделенном пользователем, посчитать произведение чисел, меньших десяти.


Поделиться с друзьями:

mylektsii.su - Мои Лекции - 2015-2026 год. (1.172 сек.)Все материалы представленные на сайте исключительно с целью ознакомления читателями и не преследуют коммерческих целей или нарушение авторских прав Пожаловаться на материал