Студопедия

Главная страница Случайная страница

КАТЕГОРИИ:

АвтомобилиАстрономияБиологияГеографияДом и садДругие языкиДругоеИнформатикаИсторияКультураЛитератураЛогикаМатематикаМедицинаМеталлургияМеханикаОбразованиеОхрана трудаПедагогикаПолитикаПравоПсихологияРелигияРиторикаСоциологияСпортСтроительствоТехнологияТуризмФизикаФилософияФинансыХимияЧерчениеЭкологияЭкономикаЭлектроника






Влияние расхода топлива на центровку самолета






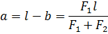
Самолет в полете опирается только на крыло. То есть имеет только одну опору. На самолет в полете действуют две силы: аэродинамические и массовые. Точка приложения массовых сил можно принять за центр тяжести самолета. И этот центр тяжести должен находиться в районе точки приложения аэродинкамическ сил крыла. Обычно центр тяжести самолета находится на 15-35% от длины САХ (средней аэродинамической хорды). Центр тяжести самолета определяется взвешиванием. Предположим что самолет поставлен на весы. Весы под передне ногой показывают силу тяжеси F2 а под основной опорной – F1.

Центр тяжести находится в некой плоскости. Растояние от этой плоскости до опор a и b, как показано на рисунке.

Ясно что сумма растояний от плоскости, в которной находнися точка приложения массовых сил (центр тяжести), до опор равно базе шасси (растояние от передней опоры до задней(основной)).

А вес самолета – есть сумма сил тяжести на весах.

Так как самолет прилогает к поверхности земли силы F2 и F1, то земля действует на самолет такими же силами в точках А и С. Ну а вес самолета приложен в точке В. Для определения растояний a и b необходимо составить уравнение моментов относительно точки В.

Таким образом получаем систему из двух уравнений:

 

Это системное уравнение можемрешить тремя различными способами:

I)

b выражаем через а

Вторую часть системы оставляем без изменнений

Далее подставляем выражение

во вторую часть уравнения

Уравнение с одним неизвестным решить не трудно

После определения значения «а», значение «b» находится простым путем.

II)

Второй способ более прост и объяснения не требует.

 

III)

Метод Крамера

На основе системы уравнений стройм матрицу. И вычисляем определитель. Так как матрица квадратная, с этим проблем нет.

Далее определяем а и b.

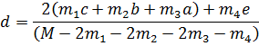
Итак центр массы самолета найден. Но проблема в том что в полете асса самолета изменяется по мере выработки топлива. Для снижения влияния выработки топлива центровке самолета, принято топливные баки распологать вблизи центра масс самолета, то есть в районе центроплана. Но отъемные части крыла, в которых находятся топливные кессон баки, расположены не на одной поперечной оси с центропланом. К тому же самолет Ил-76 имеет топливный бак и на хвосте, который значительно удален от центроплана. Этот топливный бак небольшей вместимости но в силу того что плечо велико, он можеть создать значительный момент, нарушая центровку самолета. Поэтому центровка самолета на момент посадки (самый ответственный и опасный момент всего полета) может значительно отличаться от центровки начала полета. Экипаж не имеет возможности следить за изменением центровки по мере выработки топлива. Включение в состав топливной системы самолета рибора, контролирующего изменение центровки в полете, значительно облегчило бы деятельность экипажа и повысила бы безопасность полета. Для оценки влияния выработки топлива на центровку самолета обратимся к рисунку. Баки пронумерованы и каждый бак имеет свой центр тяжести (центр тяжести топлива, находящегося в баках). Центр тяжести баков обозначены точкой.центр тяжести всего самолета вместе с топливом находится в плоскости f. А центр тяжести самолета без топлива находился бы в точке α. Растояние между этими плоскотями обозначим бкувой d. По мере выработки топлива плоскость f будет приближаться к плоскости α. То есть растояние d будет уменьшаться. и когда все топливо на самолете кончится (такого бать не должно), эти эти плоскости соединятся. Растояние d превратиться в ноль.

Так как масса топлива в каждом баке известно, то масса самолета без топлива определяется выражением:

Уравнение моментов относительно плоскости α, и последующее упрощение этого уравнения дает нам следующее выражение.

Так как зависимость массы самолета от топлива известно, то подставив вместо G выражение вышесказанной зависимости, получаем:

Отсюда следует что:

Итак мы выявили зависимость между расстоянием между центрами тяжести самолета с топливом и самолета без топлива

Эта формула не учитывает возможность выработки с левых и правых баков по разному. Такое маловероятно, но не невероятно, то есть все же вероятно. Поэтому все баки, левые и правые, должны рассматриваться как разные источники момента, влияющего на центровку самолета и на безопасность полета.

Если рассмативать каждый бак по отдельности, выявленная ранне формула примет следубщий вид:

А вес самолета без топлива будет определяться выражением:

Возникает вопрос, почему бы без таких формул и выражений узнать вес самолета без топлива, посмотрев ТТХ самолета. Дело в том что, здесь имеется ввиду, не сухой вес самолета, а вес только без топлива, но с грузом и «пассажирами». Поэтому

Но это постоянство только для одного полета, от начала до конца. И конечно же

за исключением случаев десантирования большого количества живой силы и тяжелой техники. В таком случае даже масса самолета с грузом не может являться постоянной величиной на протяжений всего полета.

Ранне бала выявена завсимость между количесвом топлив в баках и центровкой. Но формула:

не учитывает возможность того что в полете топливо из правх и левх баков может расходваться по разному. Формула зависимость расстояния между плоскостями, центра масс самолета без топлива и самолета с топливом, от израсходованного топлива выглядит следующим оразом.

Число в индексе означает номер бака согласно рисунку. А буквой «і» в индексе обозначено массовое количество израсходованного топлива. «m» без «і» - начальное массовое количество топлива б баке.

 

 


Поделиться с друзьями:

mylektsii.su - Мои Лекции - 2015-2026 год. (1.594 сек.)Все материалы представленные на сайте исключительно с целью ознакомления читателями и не преследуют коммерческих целей или нарушение авторских прав Пожаловаться на материал