Студопедия

Главная страница Случайная страница

КАТЕГОРИИ:

АвтомобилиАстрономияБиологияГеографияДом и садДругие языкиДругоеИнформатикаИсторияКультураЛитератураЛогикаМатематикаМедицинаМеталлургияМеханикаОбразованиеОхрана трудаПедагогикаПолитикаПравоПсихологияРелигияРиторикаСоциологияСпортСтроительствоТехнологияТуризмФизикаФилософияФинансыХимияЧерчениеЭкологияЭкономикаЭлектроника






Лекция № 5. Регулируемый электропривод воздуходувных установок






Цель лекции: энергетическая эффективность применения ЧРП в тягодутьевых механизмах ТЭЦ.

Основным назначением тягодутьевых механизмов (ТДМ) является поддержание оптимального режима горения в топке котла.

Как правило, система автоматического регулирования ТДМ должна поддерживать заданную величину разряжения в топке котла независимо от производительности котлоагрегата.. С увеличением подачи топлива дутьевой вентилятор должен увеличить подачу воздуха в топку котла, а вентилятор дымососа одновременно увеличить отсос продуктов горения. Таким образом, производительности дымососа и дутьевого вентилятора должны регулироваться.

Технико-экономическая целесообразность применения регу­лируемого электропривода ТДМ зависит от схемы сети, графика нагрузок агрегата, характеристик тепломеханического и электротехнического оборудования и его стоимости, цен и изменения издержек на топливо и других факторов.

Оценим энергетический выигрыш от применения для ТДМ регулируемого электропривода. Параметрами аэроди­намических характеристик ТДМ являются производитель­ность, полное давление Н, потребляемая мощность или мощность на валу N и КПД механизма.

В условиях квадратичного тракта В = К QВ) теоре­тически наилучшим способом изменения производитель­ности ТДМ является плавное регулирование частоты вращения. При этом производительность, давление и мощность механизма изменяются пропорционально первой, второй и третьей степе­ням отношения к частоте вращения.

Следует отметить, что лишь для котлоагрегатов, работаю­щих под наддувом при применении современного регулиро­вания дутья, изменение нагрузки агрегата NВ и расхода дутьевого воздуха QВ в первом приближении происходит пропорционально и однозначно. На характер зависимости QВ = f(NВ) влияют погодные факторы, заносы по трак­ту, изменения влажности и сортности топлива и т.д., которые превращают зависимость QВ = f(NВ) в область возмож­ных значений, т.е. делают ее неоднозначной. Срав­нение экономичности ТДМ при разных способах регулиро­вания производится на основе анализа зависимостей эксплуа­тационного КПД от производительности:

η Э = f (QВ, / QВ.исх)

или с помощью зависимостей

NВ / NВ. исх = f (QВ, / QВ.исх),

построенных для квадратичных трактов.

Экономичность выбранного варианта привода ТДМ харак­теризуется значением КПД установки hуст, определяемым по формуле:

hуст = hНАэ η ЭЛ ,

hНАэ - эксплуатационный КПД механизма;

hЭЛ - КПД электропривода.

При этом эксплуатационный КПД при регулировании произ­водительности ТДМ с помощью направляющего аппарата может быть найден из соотношения:

hНАэ = hНАэ η регhисх,

где hрег - КПД регулирования, зависящий от глубины регу­лирования и типа ТДМ, а также положения ис­ходного режима на дроссельной характеристике механизма;

hисх - КПД механизма на исходном режиме (в точке пересечения характеристик механизма и соп­ряженного тракта при выключенном регулирова­нии).

При этом для квадратичного тракта:

hрег = (QВ, / QВ.исх)3 / (NВ / NВ. исх),

где: QB -производительность механизма- м3 /ч;

QВ исх.- производительность механизма в точке пересечения характеристики механизма и характеристики сети;

NB, NВ исх - соответственно, мощность- кВт.

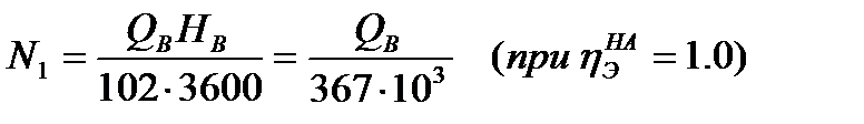
Электрическая мощность, потребляемая из сети при идеаль­ном регулировании, в кВт, определяется по формуле:

,

QB - производительность механизма- м3 /ч;

HB – давление (напор) вентилятора- кгс/м2.

Мощность, потребляемая из сети штатным электроприво­дом ТДМ с учетом наличия направляющего аппарата, в кВт, определяется по формуле:

,

где hэл- КПД электродвигателя.

Мощность, потребляемая из сети регулируемым электро­приводом ТДМкВт):

,

где hпр - КПД регулируемого электропривода;

- КПД механизма при оптимальном открытии направ­ляющего аппарата.Экономия мощности при работе регулируемого электропри­вода определяется по формуле

△ N = N2 – N3

Поскольку продолжительность работы на том или ином режиме задается диспетчерским графиком нагрузки, то в зависимости от режима и требований системы в течение суток она может непрерывно меняться. На рисунке 5.2 изображена гистограмма, показывающая потребление электроэнергии тягодутьевыми механизмами при регулировании потока воздуха шибером (красные столбцы) и регулировании с помощью ЧРП (синие столбцы), которая показывает эффективность экономии электроэнергии. По ней видно, что экономия мощности может составлять до 40%.

На рисунке 5.3 представлен вариант функциональной схемы автоматизации тягодутьевых механизмов на базе частотно- регулируемого привода.

Систему регулирования тягодутьевых машин можно разделить на два независимых контура:

- контур регулирования дутьевого вентилятора. В данном контуре частота вращения регулируется ПИД-регулятором поддержания давления воздуха перед горелкой. Необходимое давление воздуха вычисляется по значению давления топлива и температуре подаваемого воздуха. Так же, зачастую, производится корректировка уставки давления по содержанию кислорода в уходящих дымовых газах, которая контролируется датчиком (5). Вычисление производится в контроллере блока автоматического управления, согласно режимной карте котла, и задающий сигнал поступает на преобразователь частоты дутьевого вентилятора;

- контур регулирования дымососа. В данном контуре задействован датчик разряжения в топке. По его сигналу ПИД-регулятор блока автоматического управления поддерживает постоянное разряжение в топке,

посылая управляющий сигнал на преобразователь частоты дымососа. Для упрощения схемы можно задействовать для регулирования ПИД-регулятор преобразователя частоты, выведя на аналоговый вход ПЧ сигнал с датчика разряжения.

В контуре регулирования давления может быть использован встроенный в ЧРП ПИД-регулятор, который обеспечивает необходимое давление воздуха перед горелкой. Давление воздуха вычисляется по значению давления топлива и температуре подаваемого воздуха. Вычисление производится в контроллере блока автоматического управления (см.рисунок 5.3), согласно режимной карте котла, при этом формируется задающий сигнал на преобразователь частоты дутьевого вентилятора.

 

Рисунок 5.2. Гистограмма потребления электроэнергии тягодутьевыми устройствами

 

1- датчик избыточного давления; 2- датчик разряжения в топке котла; 3- датчик температуры воздуха; 4- датчик избыточного давления; 5- датчик содержания кислорода; 6- котел; 7- горелка; 8- топливо; 9- вентилятор дутьевой; 10-направляющий аппарат; 11- двигатель; 12- преобразователь частоты; 13- блок управления; 14- дымосос.

Рисунок 5.3

 

Вопросы:

1) Каким образом достигается экономия электроэнергии в ТДМ?

2) На какие контуры делится система автоматического регулирования ТДМ?


Поделиться с друзьями:

mylektsii.su - Мои Лекции - 2015-2026 год. (1.279 сек.)Все материалы представленные на сайте исключительно с целью ознакомления читателями и не преследуют коммерческих целей или нарушение авторских прав Пожаловаться на материал