Студопедия

Главная страница Случайная страница

КАТЕГОРИИ:

АвтомобилиАстрономияБиологияГеографияДом и садДругие языкиДругоеИнформатикаИсторияКультураЛитератураЛогикаМатематикаМедицинаМеталлургияМеханикаОбразованиеОхрана трудаПедагогикаПолитикаПравоПсихологияРелигияРиторикаСоциологияСпортСтроительствоТехнологияТуризмФизикаФилософияФинансыХимияЧерчениеЭкологияЭкономикаЭлектроника






Информация об объеме и стоимости выпускаемой продукции.






Виды продукции Количество (штук) Цена за 1 штуку (рублей) Стоимость продукции (рублей)
А              
Б              
В              
Итого: - - - -      

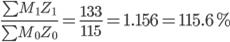
В рассматриваемом примере мы исчислим аналитические индексы, где в качестве индексируемого признака берется объем выпускаемой продукции, а в качестве весового признака — цена за единицу продукции. На основе данных, приведенных в таблице, рассчитаем общий индекс объема продукции:

На полученный нами результат оказали влияние два фактора:

§ изменение количества продукции;

§ изменение цен на продукцию.

Следует отдельно определить:

§ индекс изменения количества (объема) продукции при условии ее оценки в одинаковых ценах;

§ индекс изменения цен на продукцию при условии ее одинакового объема.

Вначале найдем индекс изменения количества продукции:

Затем определим индекс изменения цен на продукцию:

В рассматриваемом примере индекс изменения количества показывает увеличение объема продукции на или на 8 рублей, то есть (123 — 115). Индекс изменения цен свидетельствует о повышении цен на продукцию на , что составляет 10 рублей, то есть (133 — 123).

Если сложить влияние индексов получим общий индекс объема продукции — 18 рублей.

С помощью индексов можно сравнивать данные за ряд лет, например, путем расчетов темпов роста продукции в сопоставимых ценах.

В условиях анализа динамики показателей следует различать понятия цепного и базисного индексов. Базисным называется индекс, рассчитанный по отношению к базисному периоду. Цепным называется индекс, рассчитанный по отношению к предыдущему периоду.


Поделиться с друзьями:

mylektsii.su - Мои Лекции - 2015-2026 год. (1.123 сек.)Все материалы представленные на сайте исключительно с целью ознакомления читателями и не преследуют коммерческих целей или нарушение авторских прав Пожаловаться на материал