Студопедия

Главная страница Случайная страница

КАТЕГОРИИ:

АвтомобилиАстрономияБиологияГеографияДом и садДругие языкиДругоеИнформатикаИсторияКультураЛитератураЛогикаМатематикаМедицинаМеталлургияМеханикаОбразованиеОхрана трудаПедагогикаПолитикаПравоПсихологияРелигияРиторикаСоциологияСпортСтроительствоТехнологияТуризмФизикаФилософияФинансыХимияЧерчениеЭкологияЭкономикаЭлектроника






Общие сведения. Гидравлический прыжок представляет собой часть потока, в пределах которой бурный поток переходит в спокойный

Гидравлический прыжок представляет собой часть потока, в пределах которой бурный поток переходит в спокойный. Этот переход сопровождается резким возрастанием глубины потока от величины hI, меньшей критической глубины hкр , до величины h11, большей критической. Глубины h1 и h11 называются соответственно первой и второй сопряжёнными глубинами. Гидравлический прыжок возникает после водосливных плотин, различных водомерных лотков и водосливов, дорожных труб и т.п.

На рис. 9.1 приведена схема гидравлического прыжка, возникающего при истечении жидкости из-под щита.

 

 

 

Рис. 9.1. Виды гидравлических прыжков

 

          ЛИД 000000.006 Лист
           
Изм. Лист № докум. Подпись Дата

 

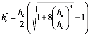
  В гидравлическом прыжке различают две зоны. В верхней зоне образуется аэрированный вращающийся водяной валец, а в нижней наблюдается поступательное движение воды. В зависимости от положения начала прыжка относительно сжатого сечения струи различают отогнанный (от сжатого сечения) прыжок, прыжок в сжатом сечении и затопленный прыжок (см. рис. 9.1). В инженерной практике для определения вида прыжка рассчитывается вторая сопряжённая глубина hс11 относительно глубины в сжатом сечении hc , т.е. глубина в Н.Б., при которой прыжок начинается в сжатом сечении, а hI = hc , (9.1) где Q – расход воды; b – ширина потока (лотка); g = 981 см/с2; hc – глубина в сжатом сечении. Сравнение h11c c бытовой глубиной hб позволяет определить вид прыжка: при h11c < hб – отогнанный (от сжатого сечения) прыжок; при h11c = hб – прыжок в сжатом сечении; при h11c > hб – затопленный прыжок. 9.2. Порядок выполнения работы Работа выполняется на устройстве № 6 (изображение б рисунка введения). 1. Установить устройство на стол так, чтобы модель щита оказалась вверху, и подождать, пока вся жидкость перетечёт в нижний бак. 2. Перевернуть устройство в вертикальной плоскости и небольшим поворотом его влево или вправо установить после щита отогнанный гидравлический прыжок (см. рис 9.1), наблюдать его, при этом замерить бытовую глубину (глубину за прыжком) hб и время t изменения уровня в баке со шкалой на произвольную величину S. 3. Повторить действия по пунктам 1 и 2, создав в канале прыжок у сжатого сечения, а затем провести аналогичный опыт при затопленном прыжке. 4. Результаты занести в табл. 9.1, сделать вычисления и проанализировать их.      
          ЛИД 000000.006 Лист
           
Изм. Лист № докум. Подпись Дата

 


 

  Примечание. Размеры сечения бака А = 21 см, В = 4 см; ширина лотка b = 0.3 см; высота отверстия под щитом а = … см; коэффициент Кориолиса α = 1.1; ускорение свободного падения g = 981 см/с2; коэффициент вертикального сжатия струи ε = 0.85.   Таблица 9.1
№ п/п Наименование величин Обозначения, формулы Знач-я величин
  Изменение уровня воды в баке, см S  
  Время наблюдения за уровнем, с t 25.3
  Расход воды, см3 Q=ABS/t  
  Глубина в сжатом сечении, см hc=ε a  
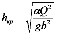
  Критическая глубина, см  
  Сопряжённая глубина, см  
  Отогнанный прыжок Бытовая глубина, см Критерии прыжка hб hб < h11c   1.7
  Прыжок в сжатом сечении Бытовая глубина, см Критерии прыжка hб hб =h11c   1.9
  Затопленный прыжок Бытовая глубина, см Критерии прыжка hб hб > h11c   2.4

 

          ЛИД 000000.006 Лист
           
Изм. Лист № докум. Подпись Дата
   
          ЛИД 000000.006 Лист
           
Изм. Лист № докум. Подпись Дата
     
          ЛИД 000000.006 Лист
           
Изм. Лист № докум. Подпись Дата

 

     
          ЛИД 000000.006 Лист  
             
Изм. Лист № докум. Подпись Дата  
                 

 

 

<== предыдущая лекция | следующая лекция ==>
Порядок выполнения работы. Работа выполняется на устройстве № 6 (изображение б рисунка введения). | Общая часть. ГАЗОСНАБЖЕНИЕ: Материалы, оборудование и технология в системах газоснабжения
Поделиться с друзьями:

mylektsii.su - Мои Лекции - 2015-2026 год. (2.435 сек.)Все материалы представленные на сайте исключительно с целью ознакомления читателями и не преследуют коммерческих целей или нарушение авторских прав Пожаловаться на материал