Студопедия

Главная страница Случайная страница

КАТЕГОРИИ:

АвтомобилиАстрономияБиологияГеографияДом и садДругие языкиДругоеИнформатикаИсторияКультураЛитератураЛогикаМатематикаМедицинаМеталлургияМеханикаОбразованиеОхрана трудаПедагогикаПолитикаПравоПсихологияРелигияРиторикаСоциологияСпортСтроительствоТехнологияТуризмФизикаФилософияФинансыХимияЧерчениеЭкологияЭкономикаЭлектроника






Химическая структура Левомицетина






1.

2.

3.

4.

! Ответ!

! Вопрос!

Структурная формула соответствует названию лекарственного вещества

1. кислота салициловая

2. осалмид

3. натрия бензоат

4. кислота ацетилсалициловая

! Ответ!

! Вопрос!

Представленный рисунок иллюстрирует метод

1. ВЭЖХ

2. ТСХ

3. ИК-спектроскопию

4. УФ-спектроскопию

! Ответ!

! Вопрос!

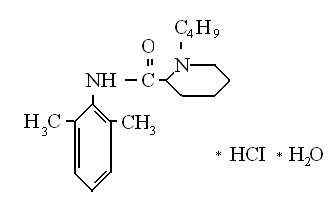
Представленная формула принадлежит

1. бензокаину

2. бупивакаину

3. новокаину

4. артикаину

! Ответ!

! Вопрос!

Представленная формула пренадлежит

1. прокаинамида гидрохлориду

2. ультракаину

3. кислоте амидотризоевой

4. дикаину

! Ответ!

! Вопрос!

Натрия тиосульфат, натрия нитрит и натрия гидрокарбонат можно дифференцировать одним реагентом

1) раствором йода

2) раствором аммиака

3) калия перманганатом

4) нитратом серебра

5) кислотой хлороводородной

! Ответ!

! Вопрос!


Поделиться с друзьями:

mylektsii.su - Мои Лекции - 2015-2026 год. (0.832 сек.)Все материалы представленные на сайте исключительно с целью ознакомления читателями и не преследуют коммерческих целей или нарушение авторских прав Пожаловаться на материал