Студопедия

Главная страница Случайная страница

КАТЕГОРИИ:

АвтомобилиАстрономияБиологияГеографияДом и садДругие языкиДругоеИнформатикаИсторияКультураЛитератураЛогикаМатематикаМедицинаМеталлургияМеханикаОбразованиеОхрана трудаПедагогикаПолитикаПравоПсихологияРелигияРиторикаСоциологияСпортСтроительствоТехнологияТуризмФизикаФилософияФинансыХимияЧерчениеЭкологияЭкономикаЭлектроника






Виды ленточных тормозов






В зависимости от принципиальной схемы различают ленточные тормоза:

· простой;

· дифференциальный;

· суммирующий.

В простом ленточном тормозе (рис. 1, а) сила наибольшего натяжения ленты воспринимается какой-либо неподвижной точкой, обычно осью вращения рычага. Простой ленточный тормоз является тормозом одностороннего действия, так как при изменении направления вращения шкива при той же замыкающей силе, создаваемой весом замыкающего груза, максимальное натяжение создается на том конце ленты, который прикрепляется к рычагу. По значению эта сила в eƒ α раз меньше, чем при вращении шкива в прямом направлении, а следовательно, и тормозной момент также в eƒ α раз меньше. Поэтому простые тормоза применяют в таких механизмах, как, например, механизм подъема, где не требуется одинаковый тормозной момент при вращении шкива в обе стороны; при этом тормоз устанавливают так, что тормозной момент больше при опускании груза. Для торможения поднимающегося груза достаточен меньший тормозной момент.

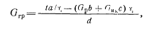
Вес груза, необходимый для создания тормозного момента:


где а, б, с, d — размеры по рисунку 1, а (обычно принимают d/a = 10 ÷ 15); Gp — вес тормозного рычага; Gяк — вес якоря электромагнита; η = 0, 9 ÷ 0, 95 — КПД рычажной системы тормоза.

Тормозной момент, развиваемый простым ленточным тормозом при направлении вращения указанном на рисунке 1, позиции а:

При размыкании тормоза лента отходит от шкива на размер радиального зазора ε, тогда ход точки крепления ленты к рычагу:


где α — угол обхвата.


Поделиться с друзьями:

mylektsii.su - Мои Лекции - 2015-2026 год. (1.158 сек.)Все материалы представленные на сайте исключительно с целью ознакомления читателями и не преследуют коммерческих целей или нарушение авторских прав Пожаловаться на материал