Студопедия

Главная страница Случайная страница

КАТЕГОРИИ:

АвтомобилиАстрономияБиологияГеографияДом и садДругие языкиДругоеИнформатикаИсторияКультураЛитератураЛогикаМатематикаМедицинаМеталлургияМеханикаОбразованиеОхрана трудаПедагогикаПолитикаПравоПсихологияРелигияРиторикаСоциологияСпортСтроительствоТехнологияТуризмФизикаФилософияФинансыХимияЧерчениеЭкологияЭкономикаЭлектроника






Расчет сечения проводов






Сечения проводов и кабелей выбирают исходя из механической прочности, тока нагрузки и потери напряжения. В процессе монтажа и эксплуатации электрические провода и кабели испытывают механические нагрузки, которые могут привести к обрыву токоведущих жил. Чтобы этого не произошло, ПУЭ ограничивает минимальное сечение проводов в зависимости от способов прокладки и материала токоведущих жил. Сечение медных жил проводов и кабелей должно быть не менее 1, 5 мм2.[3]

Новый ГОСТ допускает потери напряжения в осветительных сетях производственных помещений не более 2, 5%.[3; 5; 8]

Рассчитываем сечение проводов на участках по потере напряжения. Сечение проводов определяется по формуле:

,

где С – коэффициент зависящий от напряжения сети, материала токоведущей жилы, числа проводов в группе.

- электрический момент i -го приемника (светильника), кВт.м;

- располагаемая потеря напряжения.

Мощность группы 1:.

Мощность группы 2:.

Мощность группы 3:.

Определяем общую мощность:

.

 


Изм.
Лист
№ докум.
Подпись
Дата
Лист
 
КП.110800.62.120018.ПЗ  


Произведем расчет электрических моментов всех ветвей схемы.

Определяем момент между силовым и осветительным щитами:

.

.

Определяем моменты группы 1.

Определяем моменты группы 2:

Определяем моменты группы 3:

Определяем сечение проводов группы 1.

Сечение провода на участке АР1:

,

принимаем стандартное сечение по ГОСТ:

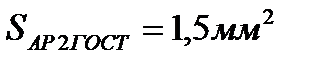
Сечение провода на участке АР2:

принимаем стандартное сечение по ГОСТ:

Определяем сечение проводов группы 2.

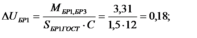
Сечение провода на участке БР1:

,

принимаем стандартное сечение по ГОСТ: .

 

 


Изм.
Лист
№ докум.
Подпись
Дата
Лист
 
КП.110800.62.120018.ПЗ  


Сечение провода на участке БР2:

,

принимаем стандартное сечение по ГОСТ: .

Определяем сечение проводов группы 3.

Сечение провода на участке ВР1:

,

принимаем стандартное сечение по ГОСТ: .

Сечение провода на участке ВР2:

,

принимаем стандартное сечение по ГОСТ: .

Определяем сечение провода на главном участке СО1:

,

принимаем стандартное сечение по ГОСТ: .

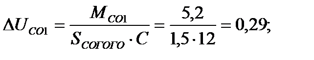
Определяем сечение провода на главном участке СО2:

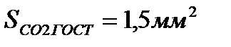
,

принимаем стандартное сечение по ГОСТ: .

Определяем суммарные потери напряжения на участках:


Изм.
Лист
№ докум.
Подпись
Дата
Лист
 
КП.110800.62.120018.ПЗ  


Определяем суммарные потери напряжения на участках группы 1:

Потеря напряжения от силового щита С до нагрузки Р3:

.

Потеря напряжения от силового щита С до нагрузки Р4:

Определяем суммарные потери напряжения на участках группы 2:

Потеря напряжения от силового щита С до нагрузки Р3:

.

Потеря напряжения от силового щита С до нагрузки Р4:

.

Определяем суммарные потери напряжения на участках группы 3:

Потеря напряжения от силового щита С до нагрузки Р3:

.

Потеря напряжения от силового щита С до нагрузки Р4:

.

В каждой группе суммарные потери напряжения осветительной сети меньше 2, 5%. Из этого следует, что сеть скомпонована верно.


Поделиться с друзьями:

mylektsii.su - Мои Лекции - 2015-2026 год. (0.345 сек.)Все материалы представленные на сайте исключительно с целью ознакомления читателями и не преследуют коммерческих целей или нарушение авторских прав Пожаловаться на материал