Студопедия

Главная страница Случайная страница

КАТЕГОРИИ:

АвтомобилиАстрономияБиологияГеографияДом и садДругие языкиДругоеИнформатикаИсторияКультураЛитератураЛогикаМатематикаМедицинаМеталлургияМеханикаОбразованиеОхрана трудаПедагогикаПолитикаПравоПсихологияРелигияРиторикаСоциологияСпортСтроительствоТехнологияТуризмФизикаФилософияФинансыХимияЧерчениеЭкологияЭкономикаЭлектроника






Задание 3. Определить максимальное время на передачу кадра от одной рабочей станции к другой в сети с звездообразной топологией и эстафетной передачей маркера по






Определить максимальное время на передачу кадра от одной рабочей станции к другой в сети с звездообразной топологией и эстафетной передачей маркера по логическому кольцу (маркер переходит последовательно от одной PC к другой в порядке возрастания их сетевых номеров), если заданы величины:

= 0, 5 км - расстояние между двумя PC сети (для всех PC оно принимается одинаковым);

= 50000 км/с - скорость распространения сигнала в передающей среде (в коаксиальном кабеле);

= 512 байт - длина кадра вместе с маркером;

= 9 Мбит/с - скорость передачи данных в сети;

= 1750 мкс - время задержки кадра в одном узле сети;

= 15 - число рабочих станций в сети.

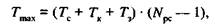
Максимальное время на передачу кадра от одной рабочей станции (PC) сети к другой будет в случае, когда станция-отправитель имеет минимальный порядковый номер, а станция-получатель - максимальный порядковый номер.

Тогда

где

- время распространения сигнала в передающей среде от одной PC к другой;

- время передачи кадра (вместе с маркером) от одной PC к другой.

Так как

то

Ек T max
  30862, 20000
  30924, 40000
  30986, 70000
  31048, 90000
  31111, 10000
  31173, 30000
  31235, 60000
  31297, 80000
  31360, 00000
  31422, 20000

 

Вывод: Наблюдается прямая линейная зависимость максимального времени на передачу кадра от одной рабочей станции к другой в сети с звездообразной топологией и эстафетной передачей маркера по логическому кольцу от изменения длины кадра вместе с маркером. То есть чем больше становится длина кадра вместе с маркером, тем больше становится максимальное времея на передачу кадра от одной рабочей станции к другой в сети с звездообразной топологией и эстафетной передачей маркера по логическому кольцу.

#include " stdafx.h"

#include< iostream>

using namespace std;

 

void main()

{

double Spc, Vc, Ek, Vk, Tz, Npc, Tmax;

cout < < " Input length of data with marker= ";

cin > > Ek;

Spc = 0.5;

Vc = 50000;

Vk = 9;

Tz = 1750;

Npc = 15;

Tmax = (Spc * 1000000 / Vc + Ek * 8 / Vk + Tz)*(Npc - 1);

cout < < " Tmax= " < < Tmax< < endl;

system(" pause");

}


 


Поделиться с друзьями:

mylektsii.su - Мои Лекции - 2015-2026 год. (0.684 сек.)Все материалы представленные на сайте исключительно с целью ознакомления читателями и не преследуют коммерческих целей или нарушение авторских прав Пожаловаться на материал