Студопедия

Главная страница Случайная страница

КАТЕГОРИИ:

АвтомобилиАстрономияБиологияГеографияДом и садДругие языкиДругоеИнформатикаИсторияКультураЛитератураЛогикаМатематикаМедицинаМеталлургияМеханикаОбразованиеОхрана трудаПедагогикаПолитикаПравоПсихологияРелигияРиторикаСоциологияСпортСтроительствоТехнологияТуризмФизикаФилософияФинансыХимияЧерчениеЭкологияЭкономикаЭлектроника






Часть С. С1. Почему человек не может долго дышать чистым кислородом?






 

С1. Почему человек не может долго дышать чистым кислородом?

С2. Почему палец, туго перевязанный резинкой или жгутом, сначала «багровеет», а при длительной перетяжке становится светлее?

СЗ. Что может произойти при нарушении работы трехстворчатого клапана?

 

 

5.2.4. Размножение и развитие организма человека3

 

Развитие организма человека. В развитии зародыша человека выделяют

 

 

1 Аналогичные задания даются для выявления знаний кругов кровообращения, состава крови в отделах сердца.

2 Аналогичные задания даются для выявления знаний кругов кровообращения, состава крови в отделах сердца.

3 Данная тема представлена в экзаменационной работе в основном в разделе Общая биология.


www.ctege.info

 

 

эмбриональный и постэмбриональный периоды.

Эмбриональный период (в среднем280сут.)делится на начальный, зародышевый иплодный периоды.

Начальный период – 1-я неделя развития.В этот период происходит формированиебластулы и ее прикрепление к слизистой матки.

Зародышевый период – 2-я– 8-я недели.Кровь матери и плода не смешивается.Органы начинают закладываться к концу 3-й недели. На 5-й неделе образуются зачатки конечностей, на 6—8-й неделях глаза смещаются к передней поверхности лица, черты которого начинают обозначаться. К концу 8-й недели закладка органов заканчивается и начинается формирование органов и систем органов.

 

Плодный период –с9-й недели до рождения.Головка и туловище формируются кконцу 2-го месяца. На 3-м месяце формируются конечности. На 5-м месяце начинаются шевеления плода, к концу 6-го месяца заканчивается формирование внутренних органов. На 7—8-м месяцах плод жизнеспособен. На 40-й неделе наступают роды.

 

Постэмбриональный период развития ребенка включает следующие периоды: новорожденности –первые4недели после рождения; грудной–с4-й недели до1года;

 

ясельный –от1до3лет; дошкольный –с3до6лет; школьный –с6—7до16—17

 

лет.

 

ПРИМЕРЫ ЗАДАНИЙ Часть В

 

В1. Установите правильную последовательность периодов развития человека A) ясельный Г) грудной

Б) дошкольный Д) школьный B) новорожденности

 

В2. Определите последовательность процессов, происходящих при образовании плода человека

A) бластуляция Б) оплодотворение

B) гаструляция Г) дифференциация тканей и органов

 

 

Внутренняя среда организма человека. Группы крови. Переливание крови. Иммунитет. Обмен веществ и превращение энергии в организме человека. Витамины

 

Внутренняя среда организма. Состав и функции крови. Группы крови. Переливание крови. Иммунитет

 

Основные термины и понятия, проверяемые в экзаменационной работ: антитела,

 

Вакцина, внутренняя среда организма, иммунитет (естественный, искусственный, активный, пассивный, врожденный, приобретенный), лимфа, плазма, резус-фактор, фибрин, фибриноген, форменные элементы крови (лейкоциты, лимфоциты, тромбоциты, эритроциты).

 

Внутренняя среда организма образована кровью, лимфой и тканевой жидкостью. Обмен веществ между клетками, лимфой и кровью осуществляется через тканевую

 

жидкость, которая образуется из плазмы крови. Внутренняя среда организма обеспечивает гуморальную связь между органами. Она относительно постоянна. Постоянство внутренней среды организма называется гомеостазом. Кровь – важнейшая составная часть внутренней среды. Это жидкая соединительная ткань, состоящая из форменных


www.ctege.info

 

 

элементов и плазмы. Функции крови:

 

транспортная – осуществляет транспорт и распределение химических веществ по организму;

защитная – содержит антитела, осуществляет фагоцитоз бактерий;

терморегуляционная – обеспечивает распределение тепла, образующегося в процессе метаболизма и выделении его во внешнюю среду;

дыхательная – обеспечивает газообмен между тканями, клетками и внутренней средой.

В организме взрослого человека около 5 л крови. Часть циркулирует по сосудам, а часть находится в кровяных депо.

Условия нормального функционирования крови:

– объем крови не должен быть меньше 7%;

– скорость кровотока – 5 л в мин.;

– сохранение нормального тонуса сосудов.

Состав крови: плазма составляет 55% объема крови, из которых 90—92% воды и 8—10% неорганических и органических веществ.

В состав плазмы крови входят: белки – альбумин, глобулины, фибриноген, протромбин. Плазма, лишенная фибрина, называется сывороткой. рН плазмы = 7, 3—7, 4.

 

Форменные элементы крови.

Эритроциты –красные клетки крови.В1мм3 4—5млн.

Лейкоциты –белые клетки крови, диаметром8– 10мкм.В1мм3 5—8тыс. Тромбоциты –безъядерные клетки(кровяные пластинки).Диаметром5мкм.В1

 

мм3 – 200—400 тыс.

Зрелые эритроциты –безъядерные, двояковогнутые клетки.Основную частьсоставляет железосодержащий белок гемоглобин. Транспортирует молекулярный кислород, превращаясь в непрочное соединение – оксигемоглобин. Из тканей эритроцитами транспортируется углекислый газ. При этом гемоглобин превращается в карбгемоглобин. При отравлениях угарным газом образуется стойкое соединение гемоглобина – карбоксигемоглобин, неспособный связывать кислород.

 

Эритроциты образуются в красном костном мозге плоских костей из ядерных, стволовых клеток. Созревшие эритроциты циркулируют по крови 100—120 дней, после чего они разрушаются в селезенке, печени и костном мозге. Эритроциты могут разрушаться и в других тканях (исчезают синяки).

 

Тромбоциты –плоские безъядерные клетки неправильной формы, участвующие впроцессе свертывания крови и способствуют сокращению гладких мышц кровеносных сосудов. Образуются в красном костном мозге. В крови циркулируют 5—10 дней, затем разрушаются в печени, легких и селезенке.

 

Лейкоциты –бесцветные ядерные клетки, не содержащие гемоглобина.Численность лейкоцитов может колебаться в течение суток в зависимости от функционального состояния организма. Лейкоциты осуществляют фагоцитарную функцию.

 

Лимфоциты, разновидность лейкоцитов, образуются в лимфоузлах, миндалинах, аппендиксе, селезенке, тимусе, костном мозге. Продуцируют антитела и антитоксины. Антитела защищают организм от чужеродных белков – антигенов.

 

Свертывание крови –важнейший защитный механизм, обеспечивающийпредохранение организма от кро– вопотерь при повреждениях кровеносных сосудов. Процесс свертывания крови зависит от ряда факторов, важнейшими из которых являются ионы Са2 +, инициирующие процесс свертывания, протромбин – белок плазмы крови, превращающийся в тромбин и фибриноген – растворимый белка плазмы, превращающегося под влиянием тромбина в нерастворимый белок – фибрин. Фибрин на воздухе образует сгусток, называемый тромбом.


www.ctege.info

 

 

Увеличению свертывающей способности крови способствуют препараты, содержащие хлорид кальция, витамин К. При больших кровопотерях необходимо переливание крови.

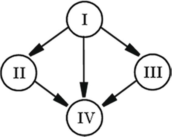
Переливание крови заключается в подборе донорской крови и переливании еереципиенту.

 

Схема переливания крови:

 

При переливании крови необходимо учитывать наличие резус-фактора.

Срок жизни форменных элементов крови ограничен. Относительное постоянство количества и состава крови в организме обеспечиваются, помимо сосудов кровеносного русла, органами кроветворения (красный костный мозг, лимфоузлы, селезенка, клетки печени, синтезирующие белки плазмы) и органами кроворазрушения (печени, селезенки).

 

Резус-фактор –белок, который присутствует в плазме крови большинства людей.Такие люди называются резус-положительными по группам крови. У резус-отрицательных людей этого белка нет. При переливании крови необходимо учитывать ее совместимость по резус-фактору. Если резус- отрицательному человеку перелить резус-положительную кровь, произойдет склеивание эритроцитов, что может привести к гибели реципиента.

 

Иммунитет –обеспечивает защиту организма от генетически чужеродныхвеществ, инфекций. Поддерживает специфичность организма.

Иммунные реакции обеспечиваются антителами и фагоцитами. Антитела вырабатываются клетками – производными от В-лимфоцитов в ответ на появление в организме антигенов. Антиген и антитело образуют комплекс антиген – антитело, в котором антиген теряет свои патогенные свойства.

Врожденный иммунитет связан с антителами, полученными ребенком с молокомматери. Кроме того, он поддерживается строением кожи и слизистых оболочек, наличием бактерицидных ферментов, кислой средой желудочного сока и т.д.

 

Приобретенный иммунитет обеспечивается клеточными и гуморальнымимеханизмами (теория И. Мечникова и П. Эрлиха). Иммунитет, возникший после заболевания, называется естественным. Если иммунитет возникает после введения вакцины, содержащей ослабленных возбудителей болезни или их токсины, то он называется искусственным активным иммунитетом. После введения сыворотки, содержащей готовые антитела, возникает искусственный пассивный иммунитет.

 


Поделиться с друзьями:

mylektsii.su - Мои Лекции - 2015-2026 год. (1.311 сек.)Все материалы представленные на сайте исключительно с целью ознакомления читателями и не преследуют коммерческих целей или нарушение авторских прав Пожаловаться на материал