Студопедия

Главная страница Случайная страница

КАТЕГОРИИ:

АвтомобилиАстрономияБиологияГеографияДом и садДругие языкиДругоеИнформатикаИсторияКультураЛитератураЛогикаМатематикаМедицинаМеталлургияМеханикаОбразованиеОхрана трудаПедагогикаПолитикаПравоПсихологияРелигияРиторикаСоциологияСпортСтроительствоТехнологияТуризмФизикаФилософияФинансыХимияЧерчениеЭкологияЭкономикаЭлектроника






Список сокращений, условных обозначений, символов, единиц и терминов 4 страница

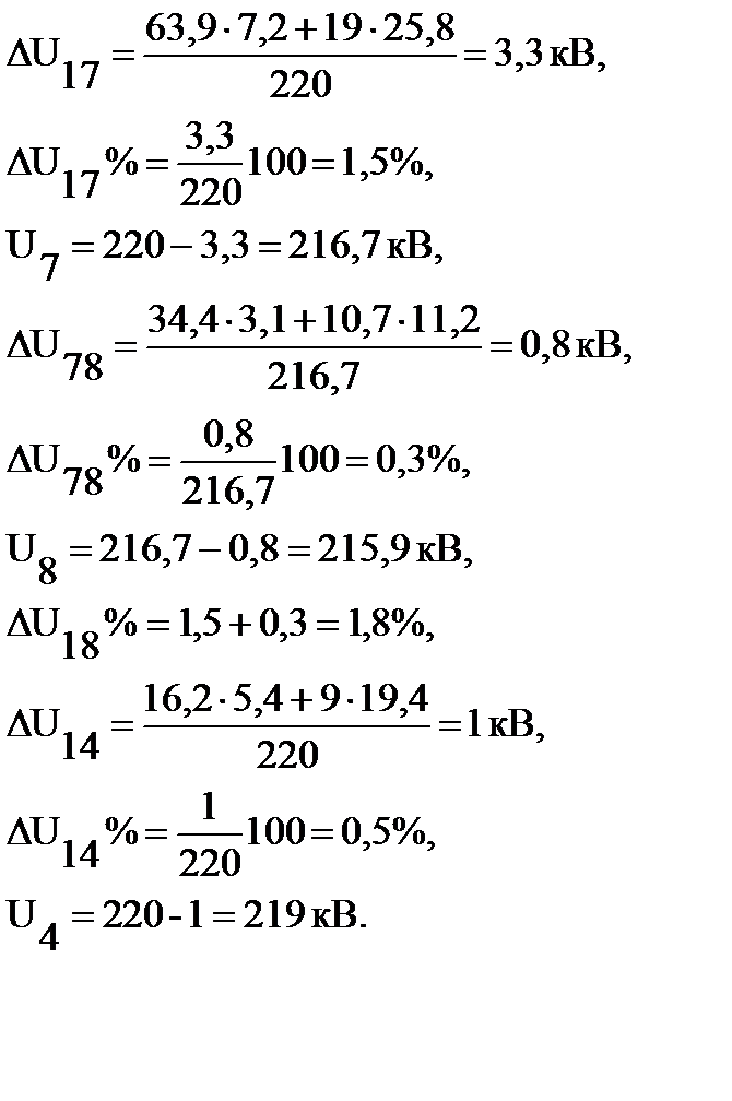
Рассчитаются потери напряжения участков линии с учетом, что напряжение на шинах источника питания при аварийных нагрузках-1Uн

кВ,

Напряжение на стороне низшего напряжения приведенное к стороне высшего напряжения

В аварийном режиме нагрузок потеря напряжения находится в пределах диапазона регулирования трансформаторов.

1.1.8 Определение действительных напряжений

Основным экономически целесообразным средством регулирования напряжения в сети являются трансформаторы с регулированием коэффициента трансформации под нагрузкой (РПН).

В этом пункте проекта выбираем рабочие ответвления понижающих трансформаторов, обеспечивающие поддержание требуемых отклонений напряжения на шинах 10 кВ подстанций во всех рассматриваемых режимах работы.

Рассчитаем только напряжение 7 потребителя в наибольшем, наименьшем и аварийном режимах соответственно.

Регулирование напряжения в режиме наибольших нагрузок

Напряжение расчетного ответвления устройства РПН, которое бы обеспечило желаемое напряжение на стороне низкого напряжения определяется по формуле:

, (1.1.33)

где Ui' -напряжение на шинах НН i-го пункта, приведенное к стороне ВН, кВ,

Uхх = 11кВ – напряжение холостого хода трансформатора, кВ,

Uжел = 10, 4кВ – желаемое напряжение на стороне НН, кВ.

Определяется напряжение на шинах НН i-го пункта, приведенное к стороне ВН по формуле:

, (1.1.34)

кВ.

Стандартное напряжение ответвления находится по формуле:

, (1.1.35)

где n – номер ответвления,

Е – ступень регулирования, %,

nE – предел регулирования, равный ±9∙ 1, 78.

Подбирая номер ответвления n добиваются, чтобы U1отв = Uотв.

В наибольшем режиме n = +5 соответственно:

кВ.

Определяется действительное напряжение на шинах НН по формуле (1.1.33):

кВ.

Регулирование напряжения в режиме наименьших нагрузок

Определяется напряжение на шинах НН i-го пункта, приведенное к стороне ВН:

кВ.

В наименьшем режиме n = +4 соответственно:

кВ.

Определяется действительное напряжение на шинах НН в режиме наибольших нагрузок:

кВ.

Регулирование напряжения в послеаварийном режиме

Определяется напряжение на шинах НН i-го пункта, приведенное к стороне ВН:

кВ.

Стандартное напряжение ответвления:

В аварийном режиме n = +2 соответственно

кВ.

Определяется действительное напряжение на шинах НН в режиме аварийных нагрузок:

кВ.


1.2 Проектирование понизительной трансформаторной подстанции

1.2.1 Разработка электрической части трансформаторной подстанции

В настоящее время на проектирование подстанций занято огромное количество инженерно-технических работников, накопивших значительный опыт. Однако в бурный прогресс в технике и, в частности, в энергетике выдвигают все новые проблемы и вопросы, которые должны учитываться при проектировании и сооружении современных сетевых объектов.

Главная схема электрических соединений подстанции является тем основным элементом, который определяет все свойства, особенности и техническую характеристику подстанции в целом. При выборе главной схемы неотъемлемой частью ее построения являются обоснование и выбор параметров оборудования и аппаратуры и рациональная их расстановка в схеме, а также принципиальное решение вопросов защиты, степени автоматизации и эксплуатационного обслуживания подстанции. Последние вопросы в свою очередь оказывают непосредственное влияние на наличие или отсутствие эксплуатационного и ремонтного персонала на подстанции.

При проектировании ТП решены следующие вопросы, являющиеся исходными для выполнения проекта подстанции:

• назначение и роль подстанции;

• схема присоединения к системе;

• мощность и токи короткого замыкания на сторонах ВН и НН;

• режим заземления нейтралей трансформаторов.

Требования к схеме подстанции, вытекающие из расчетов электродинамической устойчивости.

Надежность уже выбранной главной схемы электрических соединений определяется надежностью ее составляющих элементов, в число которых входят силовые трансформаторы, отделители, разъединители, короткозамыкатели, сборные шины, выключатели, а также линии электропередачи.

Экономическая целесообразность главной схемы электрических соединений подстанции определяется суммарными минимальными расчетными затратами.

Экономичность главной схемы подстанции достигается за счет:

Применения упрощенной схемы без выключателей на высшем
напряжении;

Избежание создания сложных коммутационных узлов;

Применение трехфазных трансформаторов.

Из выше изложенного следует, что основными требованиями, которыми должна удовлетворять главная схема электрических соединений подстанции являются:

Надежность электроснабжения, экономичность, сохранение устойчивости электропередачи.

Таким образом, курсовой проект представленный далее раскрывает все аспекты, изложенные выше, поэтому можно с уверенностью сказать, что вопросы, решённые в данной работе могли бы применятся на практике в различных энергетических предприятиях и объектах.

Выбор силового трансформатора производится в зависимости от его номинальной мощности и напряжения подаваемого на первичную обмотку трансформатора.

Таблица 1.2.1 Технические данные трехфазных двухобмоточных трансформаторов

Тип трансформатора SТР МВА UH BH кВ UH HH кВ UK % кВт кВт R, Ом Х, Ом %
ТРДН – 40000/220             5, 6   0, 9

 

Составление схемы выдачи электрической энергии.

На основании задания на дипломный проект составляется схема выдачи электроэнергии, которая необходима для расчетов токов в нормальном режиме работы. Согласно заданию имеются три категории потребителей электроэнергии, две питающие линии напряжением 220 кВ и 12 отходящих линий напряжением 10 кВ.

Деление схемы на две секции секционированным выключателем делает ее более гибкой и обеспечивает бесперебойность питания потребителей. Для надежности применена мостиковая перемычка.

 

Рисунок 1.2.1 - Схема выдачи электроэнергии ТП 220/10 кВ с двумя трансформаторами мощностью 40 МВА

Определение значений токов на присоединениях.

Определяются значения токов на стороне высшего напряжения. , (1.2.1)

.

Определяются значения токов на стороне низшего напряжения. , (1.2.2)

.

Определяются значения токов на отходящих линиях.

, (1.2.3)

,

,

,

.

Составление схемы первичных соединений трансформаторной подстанции.

Так как данная подстанция является ответвительной, то на этом основании выбирается проходная схема 220-5Н, которая представлена на рисунке 1.2.2.

В зависимости от величины напряжения ее тока выбираются коммутационные аппараты.


 

Принципиальный выбор аппаратов на присоединение.

Рисунок 1.2.2 - Схема первичных соединений подстанции 220/10 с двумя трансформаторами ТРДЦН Sн=40 МВА.

Проектируемая ТП-220/10 кВ предназначена для электроснабжения коммунально-бытовых и промышленных потребителей. На всех ступенях электроснабжения применяются блочные схемы электрических соединений подстанции без сборных шин. На напряжение 10 кВ применяется схема с двойной системой шин, секционированной на две части выключателем. К каждой секции присоединено несколько кабельных или воздушных линии напряжением 10 кВ.

1.2.2 Выбор оборудования и коммутационной аппаратуры по параметрам рабочего режима

Согласно нормам технологического проектирования выбор схем распределительных устройств определяется напряжением распределительных устройств, количеством присоединений и наличием аварийного резерва в системе.

Критерием оптимальности является минимум приведенных затрат с учетом ущерба от недоотпуска электрической энергии с шин проектируемой подстанции из-за отказов оборудования распределительных устройств.

Для определения вероятности ремонтного режима схемы распределительных устройств выявляются элементы, вывод в ремонт которых влияет на надежность схемы. К числу таких элементов относятся выключатели и системы шин, непосредственно соединенные с трансформатором и потребителем.

Проектируемая ТП-220/10 кВ имеет распределительные устройства, служащие для приема и распределения электроэнергии и содержащие коммутационные аппараты, устройства защиты и автоматики, измерительные приборы, сборные шины и вспомогательные устройства.

Распределительные устройства высшего напряжения выполняют открытыми (ОРУ), низшего - закрытыми (ЗРУ) или комплектными (КРУ). Применение ОРУ уменьшает стоимость и сокращает сроки монтажа, замены и демонтажа электрического оборудования подстанций. Однако обслуживание ОРУ несколько сложнее, чем ЗРУ.

В проекте рассматривается вариант применения комплектной трансформаторной подстанции блочной модернизированной на напряжение 220 кВ - типа КТПБ(М)220.

Таблица 1.2.2 Технические данные КТПБ(М)220

Наименование параметра Значение параметра на стороне
220 кВ 10 кВ
Номинальная мощность основного трансформатора, кВА   --
Номинальное напряжение, кВ    
Номинальный ток главных цепей, А    
Номинальный ток сборных шин, А    
Ударный ток короткого замыкания, кА    
Допускаемые усилия приёмных устройств на одну фазу, Н    
Номинальное напряжение вспомогательных цепей переменного тока, В 380/220 380/220

 

Оборудование РУ низшего напряжения, размещается в закрытом помещении (ЗРУ) или шкафах распределительных устройств наружной установки (КРУН).

В проекте рассматривается вариант установки комплектного распределительного устройство наружной установки напряжением 6-10 кВ (КРУН)- серии К-59У1.

Таблица 1.2.3 Технические данные КРУН серии К-59У1.

Наименование параметра, показателя классификации Значение параметра, исполнения
Номинальное напряжение (линейное) при частоте 50 Гц, кВ  
Наибольшее рабочее напряжение (линейное), кВ 12, 0
Номинальный ток главных цепей ячеек КРУ при частоте 50 Гц, А  
Номинальный ток сборных шин при частоте 50 Гц, А  
Ток термической стойкости, кА  
Номинальный ток электродинамической стойкости главных цепей ячеек КРУ, кА  

 

Коммутационная аппаратура.

Надежная и экономическая работа электрических аппаратов и токоведущих частей (шины, кабели и др.) может быть обеспечена лишь при их правильном выборе по условиям работы как в длительном (нормальном) режиме, так и в режиме короткого замыкания.

Для длительного режима аппараты и проводники выбирают по номинальному напряжению, допускаемому нагреву при длительном протекании тока, конструктивному исполнению и условиям окружающей среды.

Выбор аппаратов и проводников по допускаемому нагреву должен удовлетворять форсированному режиму работы, который возникает в следующих случаях: при отключении одной из двух работающих параллельных линий, при использовании перегрузочной способности силовых трансформаторов, силовых кабелей и др.

По конструктивному исполнению аппараты и проводники выбирают таким образом, чтобы они по конструкции и своим технико-экономическим показателям наилучшим образом соответствовали условиям работы электроустановки.

После выбора аппаратов и проводников по условиям длительного режима их проверяют:

на электродинамическую и термическую устойчивости при протекании токов КЗ вызывающих наибольшие механические напряжения и нагрев. Отключающие аппараты (выключатели, предохранители) выбирают также по отключающей способности.

Исходя из справочной литературы принимают к установке на стороне высшего напряжения в ОРУ-220 кВ разъединители наружной установки типа РНД(З)-2-220/1000ХЛ1 и РНДЗ-1-220/1000ХЛ1, элегазовые выключатели типа ВЭБ – 220, разрядники вентильные РВС-220, заземлители типа ЗОН 220М – (I) II УХЛ1.

На стороне низшего напряжения в К-59У1 заземляющие разъединители типа ЗР 10, вакуумные выключатели на выкатных тележках типа ВВЭ -М – 10-31, 5/2000 У3 и ВВЭ -М – 10-20/630 У3, ограничители перенапряжения типа ОПН.

Разъединителем – называется электрический аппарат, предназначенный для отделения оборудования РУ от напряжения на время ремонта, а также для изменения схемы РУ. По технике безопасности требуется, чтобы разъединитель во время ремонта был заземлен с обеих сторон. Для этого предусмотрены заземляющие ножи разъединителей.

Для управления разъединителем применяются ручные, электродвигательные, и пневматические приводы. Отключение нагрузочных токов может вызвать к.з. между полюсами разъединителя. Поэтому во избежание ошибочного отключения под током нагрузки в разъединителях предусматриваются специальные блокировки.

Требования, предъявляемые к разъединителям, следующие:

1) Разъединители в отключенном положении должны создавать ясно видимый разрыв цепи, соответствующий классу напряжения установок;

2) Приводы разъединителей должны иметь устройство фиксации в каждом из двух оперативных положений: включенном и отключенном.

Разъединители должны беспрепятственно включаться и отключаться при любых наихудших условиях окружающей среды.

Таблица 1.2.4 Выбранные разъединители на стороне 220 кВ

Тип разъединителя кВ А термической стойкости допустимое время отключения Предельный сквозной ток, кА
РНД(З)-2-220/1000ХЛ1     40\3  
РНД(З)-1-220/1000ХЛ1     40\3  

 

 

Таблица 1.2.5 Выбранные разъединители на стороне 10 кВ

Тип Разъедини- теля Uном кВ Iном А Предельный сквозной ток, кА Ток термической стойкости, кА Время прохождения наиб. тока тер.стойкости Тип привода
ЗР 10       31.5/4 ПР-3УЗ

 

Выключатели служат для коммутации электрических цепей во всех эксплуатационных режимах: включения и отключения токов нагрузки, токов намагничивания трансформаторов и зарядных токов линий и шин, отключения к.з., а также при изменениях схем электрических установок.

Требования, предъявляемые к выключателям во всех режимах работы, следующие:

1) Быстродействие при отключении, то есть гашение дуги в возможно меньший промежуток времени;

2) Надежное отключение любых токов в пределах номинальных значений;

3) Пригодность для автоматического повторного включения электрической цепи защитой;

4) Взрыво и пожаробезопасность.

На подстанции применяют выключатели разных типов и конструкций. В них заложены различные принципы гашения дуги и используются различные дугогасящие среды. Преимущественное распространение получили элегазовые и вакуумные выключатели.

Таблица 1.2.6 Выбранные выключатели на стороне 10 и 220 кВ

Тип выключателя кВ А отключения кА Время отключения с Время включения с кА  
 
ВЭБ – 220       0, 035 0, 08    
ВВЭ-М-10-31, 5-2000 У3     31, 5 0, 075 --    
ВВЭ-М-10-20-630 У3       0, 05 --    

Для защиты оборудования от перенапряжений, на стороне высшего напряжения по номинальному напряжению, по справочной литературе принимают к установке для нейтрали выбирают разрядники типа РВС-110МУ1.

Таблица 1.2.7 Разрядники

Тип разрядника   Высота, мм Масса, кг
РВС-220М У1    
РВС-110МУ1    

 

Ограничители типа ОПН-10ХЛ1 предназначены для защиты трансформаторов, электрооборудования распределительных устройств и аппаратов от атмосферных и коммутационных перенапряжений в сетях напряжения 2200 кВ переменного тока частоты 48-62 Гц с заземленной нейтралью. Эффективно применение в районах с высокой грозовой активностью и в сетях с особо ответственным оборудованием.

ОПН-10ХЛ1 применяются для наружной внутренней установки в условиях умеренного и холодного климата при температуре окружающего воздуха от –60°С до +40°С на высоте не более 2000 м над уровнем моря (УХЛ1 по ГОСТ 15150). Ограничители длительно выдерживают механическую нагрузку до 500 Н от тяжения провода в направлении, перпендикулярном вертикальной оси.

Таблица 1.2.8 Технические характеристики ограничителей напряжения

Тип ОПН Uном кВ Наиб. рабочее фазное U, кВ U допустим. в течение времени, 20мин, 20с, 3, 5с, 1, 0с. При коммутационых перенапряжениях при импульсе I=280 кА При грозовых перенапряж.при t=8мкс, Iамп=10кА
ОПН-КС/ТЕL-10/10, 5УХЛ2     88, 95, 100, 105 175/190  

 

<== предыдущая лекция | следующая лекция ==>
 | 
Поделиться с друзьями:

mylektsii.su - Мои Лекции - 2015-2026 год. (0.979 сек.)Все материалы представленные на сайте исключительно с целью ознакомления читателями и не преследуют коммерческих целей или нарушение авторских прав Пожаловаться на материал