Студопедия

Главная страница Случайная страница

КАТЕГОРИИ:

АвтомобилиАстрономияБиологияГеографияДом и садДругие языкиДругоеИнформатикаИсторияКультураЛитератураЛогикаМатематикаМедицинаМеталлургияМеханикаОбразованиеОхрана трудаПедагогикаПолитикаПравоПсихологияРелигияРиторикаСоциологияСпортСтроительствоТехнологияТуризмФизикаФилософияФинансыХимияЧерчениеЭкологияЭкономикаЭлектроника






Персонал предприятия. Его структура, методы определения






Персонал предприятия является главным ресурсом каждого предприятия, от качества и эффективности использования которого во многом зависят результаты деятельности предприятия и его конкурентоспособности.

Количественная характеристика персонала:

- списочная численность – количество работников, принятых на предприятие по документам

- явочная численность – расчетное количество работников списочного состава, которые на данный день должны явиться на работу для выполнения производственного задания

-среднесписочная численность (для определения численности работников за определенный период) – для исчисления производительности труда, средней зарплаты, текучести кадров и других показателей.

В зависимости от выполняемых функций работники делятся на:

- промышленно-производственный персонал. Который непосредственно участвует в процессе производства, а также руководит им.

- непромышленный персонал, который не связан прямо с выпуском продукции

Первая группа делится на работников и служащих.

В зависимости от характера трудовой деятельности кадры подразделяются по профессиям, специальностям и уровням квалификации.

В заисимости от срока найма: постоянные, временнее=ые и сезонные.

Определение численности:

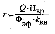
1) по трудоемкости

Q – объем единиц продукции

Нвр – норма времени на единицу продукции

Фэф – полезное время работы одного рабочего

Квн – коэффициент выполнения нормы

Этот метод используется на предприятиях, объем продукции которых подлежит нормированию

2) по рабочим местам: проводится на основании норм обслуживания и используется на предприятиях с непрерывным процессом производства. Чаще других применяется для расчета потребности рабочих кадров.

 


Поделиться с друзьями:

mylektsii.su - Мои Лекции - 2015-2026 год. (0.702 сек.)Все материалы представленные на сайте исключительно с целью ознакомления читателями и не преследуют коммерческих целей или нарушение авторских прав Пожаловаться на материал