Студопедия

Главная страница Случайная страница

КАТЕГОРИИ:

АвтомобилиАстрономияБиологияГеографияДом и садДругие языкиДругоеИнформатикаИсторияКультураЛитератураЛогикаМатематикаМедицинаМеталлургияМеханикаОбразованиеОхрана трудаПедагогикаПолитикаПравоПсихологияРелигияРиторикаСоциологияСпортСтроительствоТехнологияТуризмФизикаФилософияФинансыХимияЧерчениеЭкологияЭкономикаЭлектроника






Расчёт токов короткого замыкания. Для выбора электрооборудования необходимо посчитать ток трехфазного короткого замыкания.






 

Для выбора электрооборудования необходимо посчитать ток трехфазного короткого замыкания.

При расчетах токов КЗ принимается ряд допущений, которые значительно упрощают расчеты, не внося значительных погрешностей. В расчетах не учитывается:

а) емкостные проводимости на землю ЛЭП напряжением до 110 кВ;

б) сдвиг по фазе Э.Д.С. различных источников питания;

в) токи намагничивания трансформаторов;

г) активное сопротивление элементов системы;

Расчетные схемы замещения токов КЗ выполнены в программе Electronics Workbench.

Ток трёхфазного КЗ на стороне 110 кВ

 

Ток трёхфазного КЗ на стороне 35 кВ

 

 

Ток трёхфазного КЗ на стороне 10 кВ

 

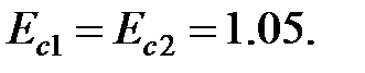
Определяем величины ЭДС энергосистем С1 и С2 и сопротивлений всех элементов схемы замещения в относительных единицах[1].

При расчете, производимом в относительных единицах

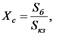
Сопротивление системы:

 

  (2.1)

 

где Sб – базисная мощность, МВА;

Sкз – мощность КЗ энергосистемы, МВА.

 

 

 

Сопротивление автотрансформатора:

 

  (2.2)
    (2.3)
    (2.4)

 

(2.5)

 

(2.6)

 

(2.7)

 

где Sнт – Номинальная мощность трансформатора, МВА.

 

Сопротивление линии:

 

  (2.8)

 

где Xуд – индуктивное сопротивление линии на 1 км длины, Ом/км;

l –длина линии, км;

Uср – среднее напряжение в месте установки данного элемента, кВ.

 

 

 

 

 

Результаты расчета сопротивлений сводим в таблицу 2.1.

 

Таблица 2.1– Сопротивления элементов

Сопротивление элементов Относительные единицы
   
Хс1 0, 77
Хс2 1, 05
ХЛ5 0, 25
ХЛ4 0, 23
ХЛ3 0, 21
ХЛ2 0, 27
ХЛ1 0, 25
ХВТ1, 2 2, 68
ХСТ1, 2  
ХНТ1, 2 1, 68

 

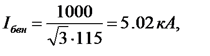
Находим базисные токи:

 

  (2.9)

 

где Sб – базисная мощность, МВА;

Uб – базисное напряжение, кВ.

 

 

 

 

Рассчитываем токи КЗ:

 

  (2.10)

 

где Iб –базисный ток, кА;

Iое–ток, измеренный амперметром в точках КЗ (К1, К2, К3).

 

 

 

 

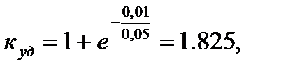
Рассчитываем ударные токи КЗ по формуле:

 

    (2.11)

 

где куд – ударный коэффициент, зависящий от постоянной времени затухания цепи КЗ, определяемый по формуле:

 

  (2.12)

 

где Та =0, 05- постоянной времени затухания цепи КЗ.

 

 

 

 

 

 

Результаты расчета токов сводим в таблицу 2.2.

 

Таблица 2.2 –Токи короткого замыкания

Точки КЗ Iкз, кА Iуд, кА
К1 2, 86 7, 38
К2 3, 49 8, 89
К3 8, 99 23, 13

 

 


Поделиться с друзьями:

mylektsii.su - Мои Лекции - 2015-2026 год. (1.406 сек.)Все материалы представленные на сайте исключительно с целью ознакомления читателями и не преследуют коммерческих целей или нарушение авторских прав Пожаловаться на материал