Студопедия

Главная страница Случайная страница

КАТЕГОРИИ:

АвтомобилиАстрономияБиологияГеографияДом и садДругие языкиДругоеИнформатикаИсторияКультураЛитератураЛогикаМатематикаМедицинаМеталлургияМеханикаОбразованиеОхрана трудаПедагогикаПолитикаПравоПсихологияРелигияРиторикаСоциологияСпортСтроительствоТехнологияТуризмФизикаФилософияФинансыХимияЧерчениеЭкологияЭкономикаЭлектроника






Буферные системы крови, их характеристики и принцип действия.






Общее понятие о буферных системах. Прежде всего необходимо вспомнить, что реакции диссоциации слабой кислоты НА на ионы водорода Н+ и сопряженное основание А- подчиняются закону действующих масс. Кинетику

таких реакций описывает уравнение

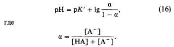
Подобное уравнение для буферных систем, выведенное из закона действующих масс, называется уравнением Гендерсона- Гассельбальха. Величина рK', так же как и К', -константа, характеризующая свойства системы (рК'= -lgK'). Уравнение можно представить в следующем виде:

Показателем способности системы, состоящей из слабой кислоты и сопряженного основания, создавать буферный эффект служит буферная емкость - величина, равная соотношению между количеством ионов Н+ или ОН+, добавленных в раствор, и изменением рН.

Таким образом, буферная емкость раствора зависит от его концентрации и от разницы между рН и рК' этого раствора.

Бикарбонатный буфер. Из имеющихся в крови буферных систем рассмотрим прежде всего бикарбонатную систему. Она включает относительно слабую угольную кислоту, образующуюся при гидратации СО2, и бикарбонат в качестве сопряженного основания.

Регулируя напряжение СО2 в крови, дыхательная система обеспечивает высокое содержание компонентов буферной системы. Кроме того, органы дыхания вместе с бикарбонатным буфером образуют «открытую систему», в которой напряжение СО2 (а следовательно, и рН крови) может регулироваться путем изменения вентиляции легких.

Фосфатный буфер. В фосфатной буферной системе, образованной неорганическими фосфатами крови, роль кислоты играет одноосновный фосфат H2PO4, а роль сопряженного основания-двухосновный фосфат НРО. Величина рК' фосфатного буфера (6, 8) сравнительно близка к рН крови, однако емкость данного буфера невелика по причине низкого содержания фосфата в крови.

Белковый буфер. Буферные свойства белков крови обусловлены способностью аминокислот ионизироваться. Концевые карбокси- и аминогруппы белковых цепей играют в этом отношении незначительную роль, так как таких групп мало и их рК' существенно отличаются от рН крови. Значительно больший вклад в создание буферной емкости белковой системы вносят боковые группы, способные ионизироваться, и особенно имидазольнов кольцо гистидина.

К буферным белкам относятся как белки плазмы (в частности, альбумин), так и содержащийся в эритроцитах гемоглобин. На долю последнего приходится большая часть буферной емкости белковой системы, что связано как со значительной концентрацией гемоглобина, так и с относительно высоким содержанием в нем гистидина.

 


Поделиться с друзьями:

mylektsii.su - Мои Лекции - 2015-2026 год. (1.705 сек.)Все материалы представленные на сайте исключительно с целью ознакомления читателями и не преследуют коммерческих целей или нарушение авторских прав Пожаловаться на материал