Студопедия

Главная страница Случайная страница

КАТЕГОРИИ:

АвтомобилиАстрономияБиологияГеографияДом и садДругие языкиДругоеИнформатикаИсторияКультураЛитератураЛогикаМатематикаМедицинаМеталлургияМеханикаОбразованиеОхрана трудаПедагогикаПолитикаПравоПсихологияРелигияРиторикаСоциологияСпортСтроительствоТехнологияТуризмФизикаФилософияФинансыХимияЧерчениеЭкологияЭкономикаЭлектроника






Задание. 1. Запишите формулы по всем требованиям MS Excel:

Задание 1.

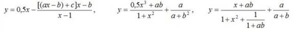
1. Запишите формулы по всем требованиям MS Excel:

2. Составьте для этих формул таблицу по образцу:

  A B C D
  a b c x
  0, 1 0, 2 0, 3 0, 1
        0, 2
        0, 3
        0, 4
        0, 5

3. Запишите формулу вычисления в ячейку Е2 и скопируйте в ячейки Е3: Е6.

4. Добавьте абсолютную адресацию в необходимые ячейки.

5. Сохраните под именем ПР15.xls.

 

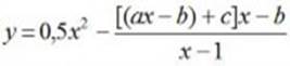
Задание 2. Запишите формулу по всем требованиям MS Excel. Рассчитайте значение функции у для х от 0 до 1 с шагом 0, 1 на Листе2 Рабочей книги.

  A B C D E
  a b c x y
  0, 1 0, 2 0, 3    
        0, 1  
        0, 2  
       
           

 

Содержание отчета

 

Отчет должен содержать:

1. Название работы.

2. Цель работы.

3. Задание и его решение.

4. Вывод по работе.

 

Контрольные вопросы

1. Что такое редактор электронных таблиц?

2. Перечислить элементы электронной таблицы, их обозначения.

3. Как называется документ, созданный в табличном процессоре. Из каких частей он состоит?

4. Какие данные можно вносить в ячейки электронной таблицы?

5. Чем отличается абсолютная адресация от относительной. Когда применяются эти виды адресации?

 

Литература

1. Информатика и ИКТ: учебник, 10, 11 кл. Угринович Н.Д., М, Бином, 2011 г.

2. Информатика и ИКТ: учебник для начального и среднего профессионального образования. Цветкова Н.С., Великович Л.С. – Академия, 2011 г.

3. Информатика и ИКТ. Практикум для профессий и специальностей технического и социально-экономического профилей. Н. Е. Астафьева, С. А. Гаврилова, под ред. М.С. Цветковой, Академия, 2012г.

4. Информатика и ИКТ. Базовый уровень: учебник для 10-11 кл. / И.Г.Семакин, Е.К.Хеннер. – 4 изд., испр. – М. – Бином. Лаборатория знаний, 2008г. – 246 с.: ил.

5. Информатика и ИКТ. Базовый уровень: практикум для 10-11 кл. / И.Г.Семакин, Е.К.Хеннер. – 4 изд., испр. – М. – Бином. Лаборатория знаний, 2008г.

6. Информатика и ИКТ. 10 кл. Базовый уровень под ред. Н.В.Макаровой – Спб – Лидер, 2010г.

7. Информатика и ИКТ. 11 кл. Базовый уровень под ред. Н.В.Макаровой – Спб – Лидер, 2010г.

8. Энциклопедия школьной информатики / под ред. И.Г.Семакина. – М.: Бином. Лаборатория знаний, 2011г.

9. http//www.informatika.ru;

10. http//www.student.informatika.ru;

11. https://mirgeo.ucoz.ru/.

 

<== предыдущая лекция | следующая лекция ==>
 | 
Поделиться с друзьями:

mylektsii.su - Мои Лекции - 2015-2026 год. (0.868 сек.)Все материалы представленные на сайте исключительно с целью ознакомления читателями и не преследуют коммерческих целей или нарушение авторских прав Пожаловаться на материал