Студопедия

Главная страница Случайная страница

КАТЕГОРИИ:

АвтомобилиАстрономияБиологияГеографияДом и садДругие языкиДругоеИнформатикаИсторияКультураЛитератураЛогикаМатематикаМедицинаМеталлургияМеханикаОбразованиеОхрана трудаПедагогикаПолитикаПравоПсихологияРелигияРиторикаСоциологияСпортСтроительствоТехнологияТуризмФизикаФилософияФинансыХимияЧерчениеЭкологияЭкономикаЭлектроника






Модель CIELAB







Основной целью при разработке CIELAB было устранение нелинейности системы CIE XYZ с точки зрения человеческого восприятия. Под аббревиатурой LAB обычно понимается цветовое пространство CIE L*a*b*, которое на данный момент является международным стандартом.

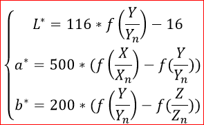
В системе CIE L*a*b координата L означает светлоту (в диапазоне от 0 до 100), а координаты a, b – означают позицию между зелёным-пурпурным, и синим-жёлтым цветами. Формулы для перевода координат из CIE XYZ в CIE L*a*b* приведены ниже:


где (Xn, Yn, Zn) – координаты точки белого в пространстве CIE XYZ, а


На Рис. представлены срезы цветового тела CIE L*a*b* для двух значений светлоты:


По сравнению с системой CIE XYZ Евклидово расстояние (√ ((L1-L2)^2+(a1^*-a2^*)^2+(b1^*-b2^*)^2)) в системе CIE L*a*b* значительно лучше соответствует цветовому различию, воспринимаемому человеком, тем не менее, стандартной формулой цветового различия является чрезвычайно сложная CIEDE2000.


Поделиться с друзьями:

mylektsii.su - Мои Лекции - 2015-2026 год. (0.571 сек.)Все материалы представленные на сайте исключительно с целью ознакомления читателями и не преследуют коммерческих целей или нарушение авторских прав Пожаловаться на материал