Студопедия

Главная страница Случайная страница

КАТЕГОРИИ:

АвтомобилиАстрономияБиологияГеографияДом и садДругие языкиДругоеИнформатикаИсторияКультураЛитератураЛогикаМатематикаМедицинаМеталлургияМеханикаОбразованиеОхрана трудаПедагогикаПолитикаПравоПсихологияРелигияРиторикаСоциологияСпортСтроительствоТехнологияТуризмФизикаФилософияФинансыХимияЧерчениеЭкологияЭкономикаЭлектроника






Расчет ошибок при различных способах отбора






Определение 9.10. К собственно-случайной выборке относится отбор единиц из всей генеральной совокупности посредством жеребьевки или иного подобного способа, например с помощью таблицы случайных чисел.

В таблице 9.2. приведены формулы для расчета предельных ошибок в случае собственно случайной выборки.

 

Таблица 9.2.

Метод отбора Вид предельной ошибки Повторная выборка Бесповторная выборка
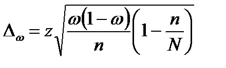
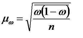
Ошибка для средней в случае большой выборки ()
Ошибка для средней в случае малой выборки ()
Ошибка для доли в случае большой выборки

 

Определение 9.11. Механический отбор применяется в случаях, когда генеральная совокупность каким-либо образом упорядочена, т.е. имеется определенная последовательность в расположении единиц (табельные номера работников, телефонные номера респондентов и т.д.).

Для проведения механической выборки устанавливается пропорция отбора, которая определяется соотношением выборочной и генеральной совокупностей. Отбор единиц осуществляется в соответствии с установленной пропорцией через равные интервалы. Например, при пропорции 1: 50 (2%-ная выборка) отбирается каждая 50-я единица.

Для определения предельной ошибки механической выборки используется формула предельной ошибки при собственно-случайном бесповторном отборе.

Определение 9.12. Типическим называют отбор, при котором объекты отбираются не из всей генеральной совокупности, а из каждой её «типической» части. Типический отбор предполагает выборку единиц из каждой типической части собственно-случайным или механическим отбором.

Поскольку в выборочную совокупность в той или иной пропорции обязательно попадают представители всех групп, типизация генеральной совокупности позволяет исключить влияние межгрупповой дисперсии на среднюю ошибку выборки, которая в этом случае определяется только внутригрупповой дисперсией.

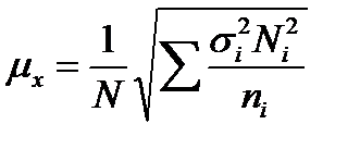
Отбор единиц в типическую выборку может быть организован либо пропорционально объему типических групп, либо пропорционально внутригрупповой дифференциации признака. При выборке, пропорциональной объему типических групп, число единиц, подлежащих отбору из каждой группы, определяется следующим образом:

(9.4)

где – объем выборки й типичной группы, – объем всей й типичной группы.

При выборке, пропорциональной дифференциации признака, число наблюдений по каждой группе рассчитывается по формуле:

(9.5)

где – среднее квадратическое отклонение значений признака в й группе.

Стандартная ошибка будет определяться по следующим формулам:

 

Таблица 9.3.

Повторный отбор Бесповторный отбор
Для средней Для доли Для средней Для доли
Отбор пропорционально объему типических групп
Отбор пропорционально внутригрупповой дифференциации признака

 

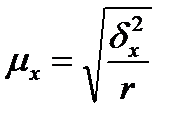
Определение 9.13. Серийным называют отбор, при котором объекты отбирают не по одному, а «сериями», которые подвергаются сплошному обследованию. Серийным отбором пользуются тогда, когда обследуемый признак колеблется в различных сериях незначительно. Поскольку внутри каждой серии обследуются все без исключения единицы, стандартная ошибка серийной выборки (при отборе равновеликих серий) зависит от величины только межгрупповой (межсерийной) дисперсии и определяется по формулам, приведенных в таблице 9.4.

 

Таблица 9.4.

Повторный отбор Бесповторный отбор
Для средней Для доли Для средней Для доли

где – число отобранных серий, – общее число серий, – межгрупповая дисперсия количественного признака, – межгрупповая дисперсия доли.

Комбинированный отбор. В практике статистических обследований помимо рассмотренных выше способов отбора применяются и их комбинации. Так, можно комбинировать типическую и серийную выборки, когда серии отбираются в установленном порядке из типичных групп. Возможна также комбинация серийного и собственно-случайного отборов, при которой отдельные единицы отбираются внутри серии в собственно-случайном порядке.

Многоступенчатым называют отбор, при котором из генеральной совокупности сначала извлекаются укрупненные группы, а затем – более мелкие, и так до тех пор, пока не будут отобраны те единицы, которые должны быть обследованы. При этом каждая стадия отбора имеет свою единицу отбора.

Многофазная выборка предполагает сохранение одной и той же единицы отбора на всех этапах ее проведения. При этом отобранные на каждой стадии единицы подвергаются обследованию (на каждой последующей отбора программа обследования расширяется).

 


Поделиться с друзьями:

mylektsii.su - Мои Лекции - 2015-2026 год. (0.534 сек.)Все материалы представленные на сайте исключительно с целью ознакомления читателями и не преследуют коммерческих целей или нарушение авторских прав Пожаловаться на материал