Студопедия

Главная страница Случайная страница

КАТЕГОРИИ:

АвтомобилиАстрономияБиологияГеографияДом и садДругие языкиДругоеИнформатикаИсторияКультураЛитератураЛогикаМатематикаМедицинаМеталлургияМеханикаОбразованиеОхрана трудаПедагогикаПолитикаПравоПсихологияРелигияРиторикаСоциологияСпортСтроительствоТехнологияТуризмФизикаФилософияФинансыХимияЧерчениеЭкологияЭкономикаЭлектроника






жыл бойынша түйіспелі тораптың көрсеткіші жоғары баллмен бағаланды – 17,2%.

 

Шу электрмен қ амтамасыздандыру дистансасы
Шу электрмен қ амтамасыздандыру дистансасының директоры
Бас инженер
КС бө лімінің директор орын басары Солтанов Х.К
РЭС бө лімінің директор орын басары
ЭЧК бастығ ы  
Электромеханик  
Электромеханик  
бас электромеханик
бас электромеханик
ЭЧС бастығ ы
Монтер  

 

 


 

 

Монтер  

 


1.3-сурет. Шу электрмен қ амтамасыздандыру дистансасының қ ұ рылымы Дипломдық тақ ырыбы бойынша мә селелік сұ рақ тар

 

 

1.2 Тү йіспелі сымдардағ ы тозу тү рлерінің классификациясы

 

 

Тозу астында қ атты материал бетінен жою жә не бө лу процесі болып табылады жә не қ атты бетінен материалды бө ліп немесе ү йкеліс тұ рақ ты бұ рмалау жинақ тауы ө зінің пішінін, зат пішінін ақ ырын ө згеруіне ә келеді. Кө рсетілген бірлік ретінде анық талады амортизациясы тозу нә тижесі болып табылады.

Электр қ уатын беру нә тижесә нде тозу статикалық немесе резервтік контактілер бойынша жү зеге асырылады жә не оның ішінде кү рделісі – жылжымалы бө лінулер электр ұ шкын немесе электірдоғ а кезінде процестер ү йкеліс процестеріне тең естіріледі [7].

2.1-суретте кө рсетілгендей алдың ғ ы зерттеулерді талдау, тү йіспелі сым тозуының тү рлерін жіктеуне қ атысты ұ сынуғ а мү мкіндік берді.

Белгілі бір жағ дайларда ағ ымдағ ы оның механикалық компонентіннң тозуы негізгі факторы болып табылады. Бұ л жағ дайда, ү йкеліс кө лемді жылжымалы деформация кезінде, бір жағ ынан, оның толық бетін қ амтуымен анық талады, басқ а жағ ынан адгезиондық кү ш нә тижесінде сым бетінде кө пірлер дә некерленуін ә келіп сырғ у кезінде оның арасында контактілік байланыс бұ зылады. Нақ ты талап бойынша біріншілік немесе басқ а бетінің табиғ и қ ажалуы маң ыздысы болып табылады. Сұ йық, қ ұ рғ ақ (майлауы жоқ) жә не кө лемді қ ажалу болып ажыратылады [8].Тү йіспеде элементтерінде сұ йық затпен майлану кезінде ө зінін белгілі бір сусымалы қ асиетін сақ тайды. Бұ ндай ү йкелу кезінде тозу кө лемі аз болады. Қ ұ рғ ақ ү йкеліс молекулалық механикалық тозуы орын алғ ан кезде, желінуге ұ шырайды, байланыс беттерін ұ сталып, болшектердің терең жұ лынуын ә келеді. Аумақ тық қ ажалу сұ йық тын жағ ылуы тұ тқ ырлығ ымен анық талмайды, оның беті ө те жұ қ а қ абат болғ андық тан, химиялық ә сері мысқ а ық палын тигізеді.

Механикалық тозу - ү йкеліс табиғ и механикалық тозумен анық талады. Қ арастырылатын жұ п “сым - полоз ” ең кө п таралғ ан тозу тү рі абразивті, шаршау, тотығ у жә не молекула-механикалық болып табылады. Сонымен қ атар екі одан коп тозу тү рлері қ арастырылады, оның ішінде бірі ә рқ ашан қ ойылғ ан талаптың басым кү шіне ие болады. Сыртқ ы кө рінісі бойынша ү йкеліс бетінің микроқ ұ рылымы жетекші тозу ретінде айтуғ а болады, соны біле отыра, ө німнің мерзімін ұ зарту ү шін ең тиімді жолдарын таң дау.

Абразивті тозулануү йкеліс беттеріне арасындағ ы тозу байланыс беттердің арасындағ ы ү йкеліс, жә не базалық материал қ атты денелердің сыртқ ы шаң болу салдарынан туындайды. Абразивті тозу қ асиеттеріне байланысты тозулану жұ қ а болуы мү мкін, жылтыратуы жақ ын, немесе терең қ уысты бұ зылулар қ алыптасуына ұ шырайды [9].

 

 

Тү йіспелі сымның тозуы  
Механикалық тозу
Электрлік тозу
Жылулық тозу
Аброзивті тозулану
Анкерлік аймақ тар, ауалы аралық тар, нұ сқ арлардың тү йіндесуінде тозу.  
Баяулап тозығ у

 


 

Қ атаң нү ктелердегі тозығ улар
тотық тыра тозулану
Тү йіспелі басудың сым тозығ ына ә сері.
Толқ ын тә різдес тозу
Тә жірибелік лезде тозығ у
Кө к мұ з кезінде тозық.
Шаршаулы тозулану
Іліну, желіну тозулары

 

 


2.1- сурет. Тү йіспелі торап тозуының класификациясы

 

Тотық тыра нашарлауы ү йкеліс беттеріне жұ қ а тотық ты қ абыршақ тардың қ алыптастыру жә не жойылуғ а байланысты болады. Ә детте тозулану қ арқ ындығ ы агрессивті емес орталарда тозулар қ арқ ыны байқ алмайды, ал тотық ты қ абыршақ тардың болуы тозу басқ а да ауыр нысандарын келтіреді.

Шаршауы кө лемі деформация салдарынан тозу, ү йкеліс беттерінің жә не қ апталғ ан материалдық қ абаттың жарылуы оның істен шығ уына ә келеді..Сол уақ ытта тозуы ө те жоғ ары болып табылады.

Ілініп желінутү йіспелі сым май жә не тотық ты қ абыршақ тардың толық болмағ ан салыстыруғ а болады, бұ л ілініп байланыста басу бетінің қ абаттарының жә не металл қ асиеттерін температурасын байланысты. Бұ л ө рескел материал терең лақ тырылғ ан ауыр тозу жү реді [9].

Белгілі болғ андай, тозу беттің қ ажалуы кезінде тозу арта тү седі. Ү лкен беттің қ ажалу кезінде шамамен 0, 01 детальі тозығ уы, кіші бетке қ арағ анда6 есе интенсивті болады. Тозудың ұ лғ аюы бір детальдің екіншісімен реверсивті қ озғ алуынан қ алыпты ұ шқ ындардың бетте орналасуы, срнымен қ атар кернеудің жоғ арлауы, материялдың созылу жағ ылудың жетіспеуінен. Қ арастырылып отырғ ан сырғ анау(заедание и скачки) контактіні қ алыпсыз етеді жә не оның электірлік эрозиясын арттырады. Жұ мыстың талаптары бойынша қ ажалу жұ бы жағ ылу сұ йық майлы жә не қ ұ рғ ақ болуы мү мкін, металеместі жә не металды.

Қ ызуы, қ ажалу кезінде алдын алу мү мкін емес(тоқ тын сымнан ө туін санамағ анда) тозуғ а пайдалы жә не кері ә серін тигізуі мү мкін. Бір жағ ынан ол бет қ абатының бұ зылуын, басқ а жағ ынан майлануын бұ зады, ә сіресе органикалық шығ у тегі, беттік ү йкеліс жұ мсартқ ыш жә не қ ажайтын жә не алынуғ а оның тозу тө зімділігін тө мендетеді.

Барлық қ ұ былыс белгілі бір дә режеде осы жылжымалы байланыста қ арастырылғ ан «сым - тоқ қ абылдағ ыш».

Қ атаң нү ктелердегі тозулар – бірінші қ арастырылатын мә селе ол фиксаторлар, қ оректендіретін электір қ ысқ ыштармен байланыстырылатын, қ азық тарда, орташа анкерлерде. Тоқ қ абылдығ ыштың бұ най нү ктелерден ө туі аз емес контактілі басудың ө згеруімен орындалады, кейбір кезде сымнан ажыратылу жә не ұ шқ ындалуымен аяқ талады. Қ ысқ ыштармен байланыстыру белгілі салмақ дә режедесінде К-058 – 1, 5 кг, К-059 – 0, 8 кг, нә тижеде оның астында тү йіспелі сымның тозуы жоғ арырақ байқ алады.

Тозудың ұ лғ аюын қ оректендіру қ ысқ ыштарында байқ ау электірлік кө лденең жалғ ану сымдардың МГГ-95 немесе МГГ-70, ал қ арапайым 19-сым М-95 немесе М-120, икемді емес кезінде байқ алады [6].

Электрлік тозу – бұ л тозу тү рі процесске байланысты, тү йіспеде сырғ анап ағ ушы, сымдағ ы тоқ тын ө туі материялғ а ә сері. Электрлік тозу тү йіспелі сым электір тоғ ы ө ту барысында контактіні жылжымалы сымдар белгілі бір кө лемде мө лшерін жоғ алту электірэрозиялы процесін қ амтиды.

Электірлік эрозия металлдары зерттеу кө лемі анық талуы, оның электірлік параметірлерімен разрядты контур (R, L, C) орындалады, оның ішінде разрядтың орындалуы, разрядты табиғ аты жә не зат табиғ атымен. Электірэрозия ә серінен тү йіспелі сым зақ ымдануы оның бетінің ақ ауғ а ұ шырауы, пластикалық деформацияғ а ұ шырауына жә не сымдардың ү зілуне алып келеді.

Электірлік тозу тү йіспелі сым нақ ты нү ктелерінде осы тұ рғ ыдан арқ ылы электр кө лемі ағ атын жалпы сомасы (кулондық ө лшеммен немесе А х с)келесідей, қ озғ алыс жылдамдығ ы бірдей (немесе сол уақ ыттағ ы тү йіспе мен тоқ қ абылдағ ыш сызығ ы) сонымен қ атар сым тозудың бірдей нә тижесінде кө лемі тоқ қ абылдығ ыштың тоқ ты қ абылдынуымен орындалады. Ү лкен тә жірибелік байланыс механикалық жә не электірлік тозу арасында байқ алады. Ұ шқ ын ө суі оның тоқ тү суін кез-келген марерилдық енгізуде арттырады, сонымен қ атар ол электіржарылыс эрозиясын кү шеюіне ә келеді. Тү йіспелі сым полярлығ ы, сондай-ақ тозу ә сер етеді. Барлық дерлік зертханалық сынақ тар оң поляр тозу ставкасы ү лкен мә ндеріне сә йкес, бірақ эксплуатайиялы полярлы ә сері тоқ ә сері майлау шарттары мен ағ ымдағ ы жинау сапасы айтарлық тай тө мен. Жоғ арыда мұ ндай зерттеулер тү йіспелі торап айнымалы тоқ ағ ымдағ ы нә тижелеріне келтірілген.

Анкерлік аймақ тар, ауалы аралық тар, нұ сқ арлардың тү йіндесуінде тозуды – бақ ылаулар нә тижесінде тоқ арбаның 150-160 км/сағ қ озғ алу жылдамдығ ында қ ос тү йіспелі сыммен компенсацияланғ ан аспаның анкерлік аймақ тарының тү йіндеріндегі тоқ алымының сапасы екі бекет арасындағ ы аралық тағ ығ а қ арағ анда тө мен. Бұ л ө тпелі аралық та тү йіндесу қ атқ ылдығ ының қ атты ө згеруі, динамикалық соқ қ ылар жә не тоқ арбалардың тоқ қ абылдағ ышындағ ы ү зінділермен тү сіндіріледі.

Ауалы нұ сқ арда сымдардың тозуы кө п жағ дайда оның дұ рыс реттелуіне байланысты. Нұ сқ ардың шек қ оятын планкі астында жергілікті тозу 1-1, 14 м ұ зындық та байқ алады. Жоғ ары тозуды ауыстыру жә не сонымен сымның қ ызмет мерзімін ұ зарту ү шін нұ сқ ар аймағ ында тү йіспелі сымның иірлерін мерзімді ө згертіп тұ ру ұ сынылғ ан. Мысалы, 1/11 крестовинасымен нұ сқ арда 360 тан 450 мм ге дейін иірді ө згерту сымдардың қ иылысу нү ктесін 1 м ге ауыстырады [12].

Толқ ын тә різді тозық бұ л терминмен жақ сы жонып тегістелген жылтыр беткеймен аса қ ысқ а (10-30 мм) аймақ тарғ а бө лінген қ ысқ а аймақ тарда (100-150 мм) тізбекті орналасқ ан тү йіспелі сымның қ арқ ынды электрлік тозуы жә не ауыр доғ алық зақ ымдалу қ ұ былыстары аталғ ан. Ә сіресе, толқ ын тә різді тозу ЭҚ Қ (электр қ озғ алғ ыш қ ұ рам)ның тиюі жә не екпін аймақ тарында, жә не жоғ арылауда жылдам туындағ ан. Айнымалы тоқ аймақ тарында толқ ын тә різді тозық пайда болуының негізгі себебі сымғ а қ андай да бір уақ ытта тү йіспелі пластиналар емес, нашар ө ткізгіш қ ұ рғ ақ графиттен жасалғ ан жақ паның жанасуы болып табылғ ан. Мұ нда пластиналармен тоқ алымы электрлік доғ а арқ ылы алғ ашқ ы екі " толқ ындардың " тү зілуімен жү зеге асырылғ ан. Кейінгі сырғ ытпалардың ө ткелі (бір жақ қ а немес екі жақ қ а) бұ л қ ұ былысты " созады" жә не тозық пайда болғ ан жерде оны кү шейте тү седі. Ә рі қ арай сырғ ытпаның (полоздың) беткейінің қ андай екендігі маң ызды болмай қ алады, ө йткені сымның беткейі зақ ымданып ү лгерді.

Электр эрозиялық тозық электрдің санына пропорционалды болғ андық тан, толқ ын тә різді тозық айнымалы 25 кВ тоқ қ а қ арағ анда тұ рақ ты тоқ 3кВ тораптарында, жә не қ озғ алыс жылдамдығ ы жоғ ары аймақ тарғ а қ арағ анда тқ мен жылдамдық ты аймақ тарда (ЭҚ Қ тиюі жә не екпін аймақ тарында, жоғ арылауда) ерте пайда болды. Толық тә різді тозық кө мір ендірмелерін пайдаланғ анда туындамайды (олардың сырғ ытпадағ ы қ атарының санына байланыссыз), ө йткені олар жеткілікті жоғ ары ө ктізгіштікке ие жә не қ ұ рғ ақ жақ паны қ ажет етпейді [12].

Кө к мұ з кезінде тозу – тү йіспелі сымдар кө к мұ з-қ ақ тақ тағ ан тү зілімдермен (кө к мұ з, қ атқ ақ немесе кө к мұ з бен қ атқ ақ тың қ оспасы) қ апталғ анда, тоқ алмасы мұ ндай тү зілім (ә рі қ арай оны шартты тү рде кө к мұ з деп атаймыз) қ абатының қ алың дығ ына байланыссыз тек қ ана электрлік доғ асы арқ ылы жү зеге асырылады. Бақ ылаулар кө к мұ зда мыс пластиналарының (катод) ү йкеліс беткейіне сымнан (анод) доғ а арқ ылы мыстың ү лкен кө лемі ауысатынын кө рсетті. Пластиналардың ө зі де қ атты зақ ымдалады, олардың қ ызмет мерзімі ө те азайып кетеді. Кө мір ендірмелері ү йкелісінің беткейінде кө к мұ зда мыстың қ андай да бір массасының пайда болуы - ө те сирек қ ұ былыс, бірақ ү йкеліс беткейінің маң ындағ ы бү йір беткейлерде мыстың шаң дануы байқ алады. Ендірмелердің ө зі кө к мұ з болмағ ан жағ дайғ а қ арағ анда жылдам тозады. Кө к мұ зда сымдар мен пластиналардың тозуы едә уір қ арқ ынды жә не тек қ ана бұ л қ ұ былыстың салыстырмалы сирек қ айталануының арқ асында ол сымдардың қ ызмет мерзімін анық тамайды.

Тү йіспелі басудың сым тозығ ына ә сері – басуды жоғ арылату тү йіспелі электрлік кедергіні тө мендетеді жә не сырғ ытпаның сымнан ү зілу уақ ытын (жә не, соғ ан сай, аймақ тың ұ зындығ ын)азайтады, бұ л бү тіндей тозық тың " электрлік" қ ұ рамдас бө лігін тө мендетеді. Бірақ бір уақ ытта " механикалық " қ ұ рамдас бө лік жоғ арылайды. Сол жә не басқ аының ү лесі бірінші кезекте тоқ алушы материалдың тү ріне байланысты болады. Мә ліметтер бойынша [11], металл графитті пластиналармен сырғ ытпа ү шін басу едә уір тө мен, кө мір ендірмелерімен - жоғ ары болғ аны дұ рыс.

Тоқ қ абылдағ ышты тозу қ арқ ындылығ ы минимальді болатын сымғ а кейбір оң тайлы статистикалық басулар болуы қ ажет. Алайда, тоқ алу саласындағ ы зерттеулердің ү лкен қ арқ ынына қ арамастан, тоқ қ абылдағ ыштардың нақ ты тү рлері мен ендірме материалдары ү шін оң тайлы басуды таң дау жеткіліксіз жасалғ ан. Бұ ғ ан ә ртү рлі мемлекеттерде тоқ қ абылдағ ыштарды номиналды статистикалық басу мә ндерінің шашыраң қ ылығ ы куә лік береді: тұ рақ ты тоқ та 5, 5-15 даН жә не айнымалы тоқ та 4, 5-11 даН.

Жылу тозығ ы. Бұ л терминмен жылу импульстерінің ә серінен сым кө лемі бө лігінің термиялық беріктігінің бұ зылуы процесін тү сіну ұ сынылғ ан. Біршама кө лемде жә не, мысалы, ү зілуге уақ ытша кедергіден асатын шамағ а дейінгі нақ ты қ имада сымның беріктігінің бұ зылуы механикалық (абразивті) немесе электр эрозиялық тозық та болатын кө лемнің шығ ынына адекватты. Жылу тоздыруының нә тижесі жылу тозығ ы болып табылады. Жылу тозығ ы процесі ақ ырын, ұ зақ уақ ытты немесе бір мезеттік сипатқ а ие болуы мү мкін. Соң ғ ысының мысалы ретінде тозық тың электр эрозиялық жә не жылулық тү рінің бірге ә сер етуінен шақ ырылғ ан сымның кү юін есептекг болады.

Механикалық немесе электр эрозиялық тозық тарда сымның қ имасының кішіреюі оның созылуына, соғ ан сай, тү йіспелі сым гарабитінің бұ зылуына ә келеді. Сымның кішігірім созылуы ү немі ә сер ететін созушы жү ктеме жә не сыртқ ы кү штердің ә серінен де болуы мү мкін. Жылу тозығ ы, сонымен қ атар, қ иманың біршама кішіреюіне жә не ө ткізгіштің ұ заруына да ә келуі мү мкін. Жылу тозығ ының созылумен бірге ә сері кө п жағ дайда оның қ имасының біршама кішіреюі жә не ұ заруынсыз тү йіспелі сымның ү зілуіне ә келеді.

Жинақ талып жатқ ан (ақ ырын) жылу тозығ ы сымда ұ зарғ ан мойынның пайда болуымен, бір мезеттік - қ ысқ асының пайда болуымен жү реді.

Пайдалану жағ дайларында салыстырмалы ұ зару немесе қ алдық қ има бойынша жылу тозығ ының дә режесін анық тау эксплуатациялық қ ызметкер кө збен сымның қ андай да бір кесіндісінде мойынның пайда болғ анын анық тай алуындағ ы жағ дайдан басқ а жағ дайларда аса қ иын болады. Қ азіргі кезде тү йіспелі сымдардың негізінен жағ дайы сым қ имасының қ алдық ауданы бойынша бағ аланады.

Жылу тозығ ы ұ ғ ымын енгізу бірнеше міндеттерді шешуді талап етеді. Біріншісі - беріктік бұ зылысына адекватты беріктікті жоғ алту дә режесі ретінде жылу тозығ ы критерийлерін іздеп табу, екінші - беріктік бұ зылысының дә режесін бағ алау тә сілдерін табу. Беріктіктің бұ зылуын ү зілуге уақ ытша кедергінің шамасы бойынша анық тауғ а болады. Бірақ бұ л ү шін тү йіспелі сымды немесе оның нұ сқ аларын пайдаланудан алуғ а тура келеді, ал бұ л, ө з кезегінде, орынсыз болып табылады. Осылайша, ү шінші міндет туындайды - ә рекеттегі тү йіспелі аспалардан сымды алмай, беріктің тің бұ зылу дә режесін ө лшеуді аспаптық қ амтамасыз ету жә не тө ртінші міндет - сымды ә рі қ арай пайдалану бойынша тә жірибелік ұ сыныстар жасау.

 

 

1.3 Есептің қ ойылымын негіздеу

 

 

Қ азіргі уақ ытта электр энергиясын электрлендірілген темір жол телімінде электр жылжымалы қ ұ рамғ а берудің басты амалы ол тү йіспелі тоқ жанасу системасы болып саналады. Тү йіспелі тораптың сенімді жұ мыс жасауын жоғ арылату салдарын жү зеге асыруымен қ атар, оның ә рбір элементтерінің эксплуатациялық жағ дайы, жә не де бағ а беру ү шін тоқ жанасу системасының толық тай зерттеу жү ргізіледі.

Тү йіспелі торап – электрлендірілген темір жолдың жеткілікті тү рдегі кү рделі техникалық қ ұ рылыс. Қ ызмет ететін жұ мысшының міндеті – тү йіспелі тораптың қ ондырғ ысын техникалық жө нделген кү йде тұ рақ ты ұ стау. Осы уақ ытта қ озғ алыстың ең ү лкен жылдамдығ ында жә не кез келген атмосфералық шартта тү йіспелі торап ү здіксіз ток жалдаумен қ амтамасыз етілуі керек.

Тү йіспелі сым бақ ылау шаралары визуалды тү рде жү ргізледі. Соның салдарынан ақ аудың пайда болу мү мкіндігі, оның бетінгі қ абатта ғ ана кө рінісі, ал жасырын ақ аулары, мысалғ а қ ұ рылымы оғ ан жатпайды. Соғ ан ұ қ сас ақ аулар эксплуатациялық жұ мыс барысында ө німдердің бұ зылуы қ айта қ алпына келмеу процесс болуы мү мкін сонымен қ атар, тү йіспелі сымның уақ ыт ө те келе ө зінің сапасын жоғ алтуы яғ ни тозуы жатады.

Қ азіргі таң да эксплуатацияда тоқ жанасу нысандарын бақ ылайтын аппараттардың болмауы ә серін тигізуде.

Тү йіспелі сымның тозуын ө лшеу мақ саты: біріншіден оның қ имасының қ ауіпті кішірейуін ескерту ү шін, екіншіден тозу процесінің сипаты мен ерекшеліктерін талдау, сымның қ ызмет мерзімін анық тайтын жеке факторлардың ә серін зерттеу ү шін, сымғ а қ ажеттілікті жоспарлау ү шін жә не осы сұ ранысты ық шамдаудың ү немді тә сілдерін жасау ү шін қ олданылады.

Зерттеу механизімдері теориялық жә не экспериментальдық тү рде тү йіспелі торап элементтерінің бұ зылу амалдарын бақ ылау міндеттеледі. Комплексті система жасау жә не тоқ жанасу қ ұ рылғ ылрына диагностика жү ргізілуі тиіс.

Айнымалы электрлендірілген темір жол телімінде механикалық тозулар аз кездеседі, керісінше тү йіспелі сымның кү юі, жанып кетуі айнымалы тоқ та жиі кездеседі.

Қ азіргі танда тү йіспелі сымның механикалық қ ұ рамын бақ ылау тү рлері тө мен эффективті болғ ан, соң басты бұ зылу тү рлеріне жатқ ызуғ а болады. Тү йіспесіз оптикалық тү йіспелі сымды тү рлері сым параметірлерінде оның беткі қ абатын бақ ылау, айтарлық тай кең інен таралғ ан, бірақ олар оның беріктік сипаттамаларын анық тауын қ амтамасыз етпейді.

Ұ йымдастырушылық жә не техникалық шараларына тү йіспелі сымның, релелік қ орғ аныстың сауатты жасалуының сапасына тексеру жү ргізуді ұ йымдастыруда тү йіспелі торап фидерлерінің жү ктемелерін тең естіру қ ажеттіліктері, тү йіспелі сымдардың термиялық беріктігі есебінен тозғ андарды созып реттеу жатады.

Тү йіспелі асылғ ы сымдарын жасау ү рдісінде технологияда талап етілетін параметрлердің сақ талмауына ә келетін ауытқ улар болуы мү мкін. Мысалы, материал кристаллында қ ұ рылымдық ақ аулардың болуы. Бұ л суық деформацияланғ ан сымда сө зсіз жү ретін полигонизация процессімен байланысты.

Металл қ ұ рылымында сымның жылулық тозуы кезіндегі рекристализацияланғ ан катализатор болып табылады. Сондық тан, егер материал технологиялық ақ аумен жасалса, ол ары қ арайғ ы пайдалануда жылдамырақ беріктеледі жә не кү тілген уақ ыттан айтарлық тай ертерек бас тартуғ а ұ шыратады.

Сондық тан, асылғ ыны жө ндемес бұ рын тү йіспелі сымның жасалу сапасын тексерген жө н. Бұ л жолдама қ ұ жаттамаларды ү йрену жолымен, сонымен қ атар, кіріс бақ ылауын ұ йымдастырумен жү зеге асырылыды.

Тү йіспелі асылғ ының кү йін бақ ылау методикасы ө зінің қ ұ рамына тү йіспелі торап элементтерін диагностикалау, сымдарғ а ө лшенген нә тижелерге мұ қ ият анализ жасау, сонымен қ атар тү йіспелі тораптын істен шығ уын алдын алу қ арастырылады. Тү йіспелі торапты ә р аумағ ын бө лек қ оректендіру жә не секциялау схемасына алдымен анализ жасау міндеттеледі, ең кө п бас тарту орындарын анық тау міндеттеледі, немесе бұ л жағ дайлардың дұ рыс қ адағ аланбауы эксплуатациноды шығ ындарғ а ә келіп соқ тырады.


 

 

2. ТҮ ЙІСПЕЛІ ТОРАПТЫҢ ЭКСПЛУАТАЦИЯЛЫҚ СИПАТТАМАЛАРЫ БОЙЫНША ТЕХНИКАЛЫҚ ЕСЕПТЕУ

 

2.1 Арқ ансымдар жә не ө ткізгіштердегі нормативті жү ктемелерді анық тау

 

 

Қ арастырылып отырғ ан жұ мыста перегондағ ы компенсацияланғ ан асылғ ы бірлестіріліп, оқ шауланғ ан консолғ а бекітілген, темірбетонды тіректе орнық тарылғ ан, тірек типі СКЦ. Шу станциясындағ ы бас жолдағ ы асылғ ы жартылайкомпенсацияланғ ан. Бас жолдағ ы арқ алаушы арқ ансым типі ПБСМ – 95, тү йіспелі сым МФ – 100.

Шу электрмен қ амтамасыздандыру дистанция (ЭЧ-22) аймағ ының климаттық жағ дайы:

- тө менгі температура t°мах =30 º С

- жоғ арғ ы температура t°мах =+40 º С

- мұ здақ қ абырғ асының қ алындығ ы bмұ з=5мм

- цилиндрлік қ алыптағ ы мұ здың тығ ыздығ ы 900 кг/м3

- мұ здың пайда болу температурасы tгол = -5°С

- желдің максималды жылдамдығ ындағ ы температурасы tv max=+5°С

- желдің максималды жылдамдығ ы, V мах=26м/сек

- тоқ тү рі: айнымалы

- асылғ ының конструктивті биіктігі максималды 6, 8. Минималды 5, 75м

- есептік анкерлік телім 8*70+8*66+6*63

- жергіліктің бедері: жазық

- жергіліктің типі: жазық

- ілінген гирляндада оқ шаулатқ ыштың саны 4

- электропоезд қ озғ алысының максималды жылдамдығ ы, 130 км/сағ ат

- консоль тү рі:

Тү йіспелі торап ү шін нормативті жү ктемелерді ә рдайым жұ мыс істейтін тұ рақ тығ а, жә не қ ұ рылыстың жеке периодында жә не эксплуатацияда бола алмайтын уақ ытшағ а бө леді. Уақ ытша жү ктемелер ө з кезегінде ұ зартылғ ан, қ ысқ а уақ ытты жә не ерекше деп бө лінеді. Тұ рақ тығ а қ ұ рылымның алдын ала кернеу ә сері жә не қ алыпты керілу сымдарымен анық талатын кү шейтілулер, меншікті салмағ ынан тә уелді барлық жү ктемелер жатады.

5В071800.15.ЭЭ.06.05
Литер.
Орындағ ан
Жетекші
Ө лш.
Парақ
Парақ тар  
Қ Р Б жә не Ғ М Қ азККА «Электр энергетика» кафедрасы
Шу электрмен қ амтамасыздандыру дистансасының электрлендірілген телімінде тү йіспелі сымдардың тозуы мен оны азайту жолдарын зерттеу.
Бекітемін
Н.бақ ылау
 
Қ олы
Кү ні
Парақ
Қ ұ жат №
Утепбергенова.С
Т. бақ ылау
Ә зімбай.Д.Ж
 
Қ ойшибаева К.Ж
Егзекова.А.Т  

 

 


Ұ зартылғ ан уақ ытша жү ктемелер тү йіспелі торапқ а ә сер етпейді [4]. Қ ысқ а уақ ыттығ а, ауаның экстрималдық температурасында, желдің ә серінен, мұ здақ жә не қ ар пайда болулары, тасымалдау жә не тіректерді монтаждау жә не басқ а да қ ұ рылымдардан туындайтын жү ктемелер жатады.

Ерекшесіне, сесмикалық жә не жарылыс ә серлерінен тү йіспелі тораптардың сымдарының ү зілуі кезінде, сонымен қ атар кейбір басқ а да

тораптардың сымдарының ү зілуі кезінде, сонымен қ атар кейбір басқ а да жағ дайларды туындайтын жү ктемелер жатады.

Тораптардың сымдарының ү зілуі кезінде, сонымен қ атар кейбір басқ а да

тораптардың сымдарының ү зілуі кезінде, сонымен қ атар кейбір басқ а да жағ дайларды туындайтын жү ктемелер жатады.

Тү йіспелі торап есептемесінде қ олданылатын кө птеген нормативті мә ндер, мысалы: желдің жылдамдығ ы, мұ здақ қ абатының қ алың дығ ы ауаның тө мен температурасының мә ндері олардың он жылда қ айталануынан алынады.

 

 

2.2 Минималды температура режимі

 

 

Бұ л режимде арқ алаушы арқ ансымғ а тек қ ана вертикальді жү ктеме ә сер етеді, яғ ни ө зінің салмағ ы, ал жел мен мұ здақ жоқ. 1м сымғ а ө з салмағ ының ә сер ететін вертикальді жү ктемені мына формуламен анық талады [4]:

 

, [даН/м] (2.1)

 

мұ ндағ ы – 1м арқ алаушы арқ ансым мен тү йіспелі сымның ө з салмағ ынан жү ктемелері; - ө ткін ұ зындығ ы бойынша тартылғ ан шектермен қ ысқ ыштардың ө з салмағ ынан жү ктеме, gС = 0, 1 дан/м; - тү йіспелі сым саны.

=0.77+1(0.89+0.1)=1.76 [даН/м]

 

2.3Максималды жел режимі

 

Бұ л режимде арқ алаушы арқ ансымғ а ө з салмағ ынан вертикальді жү ктемелер жә не жел қ ысымы горизонталды жү ктемелер ә сер етеді -5оС температурада жел максималды интенсивтілігі қ арастырылады. Горизонталды жел жү ктемесі мына формуламен анық талады [4];

 

, [даН/м] (2.2)

 

мұ ндағ ы - 10 жылда бір рет қ айталанатын ең ү лкен интенсивтілігімен нормативті жел жылдамдығ ы; – жергілікті шарттардың ә серін сымның орналасуының биіктігінен тә уелді асылғ ының орналасуын есепке алатын коэффициентін; – арқ алаушы арқ ансымның диаметрі; – арқ алаушы арқ ансымның желіге маң дайлық кедергілерінің аэродинамикалық коэффициенті.

=0.64 [даН/м]

 

Арқ алаушы арқ ансымғ а ә сер ететін нә тижелі қ осынды жел жү ктемелері келесі формуламен анық талады:

 

, [даН/м] (2.3)

 

[даН/м]

 

 

2.4 Жел мен мұ здақ режимі

 

 

Тү йіспелі тораптың конструкциялары мен сымдарында мұ здақ тың пайда болулары ә детте тұ рақ сыз ауа райында болады. Тұ манды жә не аса суық жаң быр жаууынан пайда болатын кү ннің жылдам жылуының суық кү нге айналуынан болады. Мұ здақ пайда болуы З тү рге бө лінеді: тығ ыздығ ы 600-900 кг/м3 болатын мө лдір жә не жартылай мө лдір берік мұ здақ тығ ыздығ ы 200-100 кг/м3 тығ ыздығ ы қ ырау кристаллды екпін жә не тығ ыздығ ы 200-600 кг/м3 болатын мұ здақ пен қ ыраудан тұ ратын қ оспа [4].

Мұ здақ, қ ырау жә не қ оспа жылдамдығ ы 1-15 м/с-ке дейінгі жел барысында пайда болады. Ал, кейде 20-25 м/с-қ а дейінде пайда болады. Егер желдің бағ ытына перпендикулярлы болса, онда мұ здақ желдің бағ ыты жағ ынан пайда болады. Егер жел сымның бойы бойынша бағ ытталса, онда онда мұ здақ барлық бетінде кіші интенсивтілігімен жә не тығ ыздылығ ымен пайда болады. Мұ здақ пайда болуларының формалары ә ртү рлі; кө бінесе эллиптикалық формалы тү рі кездеседі. Ол кезде мұ здақ пайда болулары сымның бір жағ ында болады. Ү лкен ө ткін арасындағ ы ілініп тұ рғ ан сым желісінде бұ л жү ктемемен қ апталады. Сымның қ апталу бұ рышы тіректерден алшақ тауына байланысты ө седі. Сымның қ апталу салдарынан мұ здақ пайда болуларының формасыда ө згереді. Тү йіспелі тізбектің асылғ ыда мұ здақ қ а сымның арқ алаушы арқ ан сыммен тү йіспелі сымның ішегі арқ ылы байланысы кедергі болады.

Қ азақ стан территориясы мұ здақ қ атып қ алғ ан сыртының қ алың дығ ы бойынша 5 ауданғ а бө лінеді, соғ ан сә йкес мұ здақ тың пайда болуы мү мкін аудандар интенсивтілігі белгілі бір мә ніне мұ здақ ауданы деп аталады. Ұ зақ байқ аулар арқ асында Қ азақ стан территориясының мұ здақ сыртының қ алың дығ ына байланысты ауданғ а бө лінген картасы бар. Ауданғ а бө ліну картасында мұ дақ пайда болулары тү рлі тү рлері жә не формалары мұ здақ тығ ыздығ ына сай 900 кг/м3 мә нініе тең деп қ арастырылады. 10м биіктіктегі жә не қ айталануы 10жылда 1 ретке тең қ атып қ алғ ан мұ здақ сыртының қ алың дығ ыының мә ні келесіге тең [4].

Бұ л режимде арқ алаушы арқ ан сым ө з салмағ ынан, мұ здақ салмағ ынан вертикалды жү ктемелер жә не мұ здақ пен қ апталғ ан арқ ан сымғ а жел сымынан горизонталды жү ктемелер ә сер етеді. Арқ алаушы арқ ан сымғ а мұ здақ салмағ ының вертикаль ә сер ететін жү ктемелер:

 

, [даН/м] (2.4)

 

мұ ндағ ы – арқ алаушы арқ ансымдағ ы мұ здақ қ абырғ асының қ алың дығ ы =5

 

[даН/м]

 

Тү йіспелі сымғ а мұ здақ салмағ ынан ә сер ететін вертикальді жү ктемелер:

 

, [даН/м] (2.5)

 

, [даН/м]

 

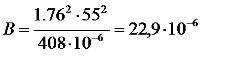
Тү йіспелі сымғ а мұ здақ қ абырғ асының қ алың дығ ын арқ алаушы арқ ансымғ а мұ здық қ абырғ асының қ алың дығ ынан 50% - ғ а тең еп аламыз [4]:

 

, (2.6)

 

 

мұ ндағ ы ө ткін ұ зындығ ы бойынша бір қ алыпты тартылғ ан шектер мен қ ысқ ыштардың мұ здақ салмағ ынан вертикальді жү ктеме:

 

, (2.7)

 

мұ ндағ ы А, Н – тү йіспелі сымның қ имасының биіктігі жә не ені.

 

,

 

Тү йіспелі асылғ ы сымдарының мұ здақ салмағ ынан толық вертикальді жү ктеме мына формуламен анық талады:

 

[даН/м] (2.8)

 

мұ ндағ ы - ө ткін ұ зындығ ы бойынша бір қ алыпты таралғ ан шектер мен қ ысқ ыштардың мұ здақ салмағ ынан вертикальді жү ктеме[4].

Жел қ ысымынан туатын р жү ктемесі ол қ ысқ а мерзімді, кө лденең жү ктеме. Тү йіспелі торап сымына ә сер ететін жел қ ысымының мә ні жел жылдамдығ ы, желдің ә серіне тү скен беттің орналасуына конструкциясына жә не ө лшеміне тікелей байланысты.

Атмосферадағ ы желдік ағ ым турбулентті болып саналады.Байқ алғ андай желдің жылдамдығ ы аулық массаның орын ауыстыруына орташа жылдамдығ ына сә йкес тікелей ө згереді.Метеорологияда бұ л қ ұ былысты желдің ұ йытқ ымалық ғ ы деп атайды. Сымғ а тү сетін желдің қ ысымы жә не оның жылдамдығ ы тә жірбиеде ә сер етеді. Яғ ни орнық талғ ан орташа қ ысымғ а қ ысымның пульсациясы қ осылады [2].

 

[даН/м]

 

Мұ здақ пен қ апталғ ан арқ алаушы арқ ансымғ а ә сер ететін горизонталды жел жү ктемелер келесі формуламен анық талады:

 

, [даН/м] (2.9)

 

мұ ндағ ы – мұ здақ та нормативті жел жылдамдығ ы.

 

(2.10)

 

, [даН/м]

 

Қ оршағ ан ортаның температурасына байланысты. Қ азақ стан территориясы тү рлі климаттық аймақ тарына бө лінген: суық I, бірың ғ ай II, жылы ылғ алды III, ыстық IV. Аймақ тар аудандарғ а бө лінеді: Суық -ө те суық 1а, жә не суық 1б; Қ оң ыр-салқ ын-біркелкі суық, II a.біркелкі жылы II/б аудандар жә не т.б. Аудандар аймақ тарғ абө лінеді, олар ауданның ылғ алдылығ ымен сипатталады. Стандартта ауданың орташа жә не экстремалды температурасы. Соң ғ ы аудан аумағ ының ө те қ атал шарттарына сә йкес келеді. Ә р аудан ү шін ө зіндік географиялық пункт ө кілділігі анық талғ ан, олар аудан ү шін температураның орташа статикалық параметрін жә не экстремалды параметрін білдіріп, сипаттайды [2].

Қ арастырылып отырғ ан қ ұ рылғ ының міндетіне байланысты, ә сіресе адам ө мірі мен қ озғ алыс қ ауіпсіздігіне, экономикалық кө рсеткіш тө мендеуіне ететін температураның экстремалды мә нге ауысуы жұ мысына ә сері ү шін есептеме жә не проектілерде бастапқ ы шарттарлы қ абылдағ ан жө н.

Ә уелік жү ктемені жә не тү йіспелі тораптың жобалау кезінде мү мкін болатын есептемелік режимдер ү шін кө лденең жә не тік жү ктемелердің сә йкестігі болу керек. Сымның ауырлық кү ші мен желі; желмен мұ здақ қ абатымен, қ апталғ ан сымның тартылым кү ші.Сымның есептемесін кө лденең жә не тік қ ұ раушылырының геометриялық қ осындысына тең салдарлы жү ктемесімен анық талынады.

Жел мен мұ здақ пен қ апталғ ан арқ алаушы арқ ансымғ а ә сер ететін нә тижелі қ осынды жү ктеме

 

, [даН/м] (2.11)

 

, [даН/м]

 

Барлық есептік режимдерде тү йіспелі асылғ ы сымдарының нә тижелі жү ктемесін анық тау

Тү йіспелі асылғ ығ а сымнан тү сетін нә тижелі немесе тартылым жү ктемелер сымның аз салмағ ынан, мұ здақ салмағ ынан жә не желінің ә сер етуінен болады.

 

Максималды жел режимі:

 

, [даН/м] (2.12)

[даН/м]

 

Жел мен мұ здақ режимі:

 

, [даН/м] (2.13)

, [даН/м]

 

Барлық есептелініп алынғ ан мә ндерді 2.2- кестеге толтырамыз:

 

2.2–кесте. Жү ктемелердің нә тижелі кестесі

Жү ктеме аталуы Есептеу режимдері, дан/м   Мұ здақ пен Максимал жел Минималды жел температура
Сымның ө з салмағ ы, g 1.76 1.76 1.76
Асылғ ығ а тү сірілген мұ здақ салмағ ы, gг 0.354 - -
Арқ алаушы арқ ансымғ а желден тү сетін жү ктеме, Рtvmax - 0.22 -
Тү йіспелі асылғ ығ а тү сірілген жел қ имасының жү ктемесі, Ркvmax - 0.22 -
Жел мен мұ здақ жү ктемесі, Ркг 0.22 - -
Қ орытынды жү ктеме, Р 2.334 2.2 1.76

 

 

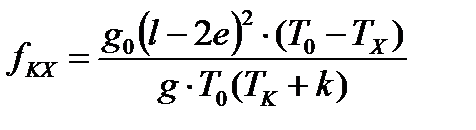
2.5 Аралық тың максималды рауалы ұ зындығ ын анық тау

 

 

Ө ткіннің ұ зындығ ы тіректер, ұ стап тұ рушы конструкцияларының санын анық тайды жә не тү йіспелі тораптың қ ұ рылыс қ ұ нына белгілі ә сер етеді. Осығ ан байланысты экономикалық жағ дайлар бойынша ө ткіннің ұ зындығ ын мү мкіндігінше ү лкен алу керек [4].

Ө ткіннің ұ зындығ ы ток қ абылдағ ыштың осінен тү йіспелі сымның ең ү лкен горизонталдық ауытқ уының шамасына тә уелді. Техникалық қ ызмет кө рсету ережелеріне сә йкес бұ л шама рауалы мә ндерден аспауы керек. Тү зу телімдерде вkmax = 0, 5 қ исық телімдерде вkmax = 0, 45 м ең ү лкен рауалы ұ зындығ ы жел ауытқ уы вkдоп = вkmax шарты орындалу кезде есептелуі керек. Бірақ ө ткіннің ұ зындығ ына климаттық факторлар жә не асылғ ыны типі ә сер етеді. Тү зу телімдерде ө ткіннің ең ү лкен рауалы ұ зындығ ы келесі формуламен анық талады:

 

, [м] (2.11)

 

мұ ндағ ы k – тү йіспелі сымның керілуі; а – тү йіспелі сымның ирегі; γ к – тірек пен сымғ а жел ә серінен тү йіспелі сымның дең гейінде иілуі; Рк – тү йіспелі сымғ а жел жү ктемесі; Рэ – жел ауытқ уында арқ алаушы арқ ансым мен тү йіспелі сымның ө зара ә рекетін есепке алатын меншікті эквивалентті жү ктеме.

 

, [м]

 

, (2.12)

 

мұ ндағ ы Т – арқ алаушы арқ ансымның номиналды керілуі; РT – арқ алаушы арқ ансымғ а жел жү ктемесі; gк – асылғ ының тү йіспелі сымдарынан жү ктеме;

gt–арқ алаушы арқ ансымның оқ шаулатқ ыштың іліну гирляндасының ұ зындығ ы; l – ө ткін ұ зындығ ы; Sср – ө ткіннің орташа бө лігінде шектің орташа ұ зындығ ы.

 

, [м]

[м] (2.13)

 

мұ ндағ ы h – тү йіспелі асылғ ының конструктивті биіктігі

 

, [м]

 

, [м]

 

 

2.6 Жартылай қ арымталғ ан асылғ ының анкерлік телімін механикалық есептеу

 

 

Эквиваленттік жә не сындық ө ткіндердің ұ зындығ ын анық тау

Эквиваленттік ө ткіннің ұ зындығ ы:

 

, [м] (2.14)

 

мұ ндағ ы l i – ө ткіннің ұ зындығ ы; n – анкерлік телімде ө ткіннің саны; l а – анкерлік телімнің ұ зындығ ы.

 

, [м]

 

Берілген анкерлік телім жә не берілген климат шарттары ү шін бастапқ ы есептік режимдерді анық тау ү шін ең рауалы жү ктеме бойынша сымдық ө ткіннің ұ зындығ ын анық тау керек [4].

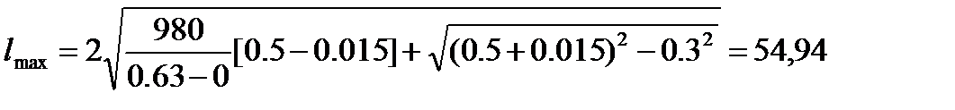
1. Жел мен мұ здақ режимі ү шін

 

, [м] (2.15)

 

 

Максималды жел режимі ү шін

 

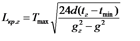
, [м] (2.16)

 

мұ ндағ ы 24d – коэффициент; Tmax – арқ алаушы арқ ан сымның максималды керілуі; tг– мұ здақ пайда болу температурасы

 

 

Бастапқ ы есептік режимін таң дайық.. Егер сындық ө ткіннің екі мә ні де эквиваленттіктен ү лкен болса, онда бастапқ ы режим минималды температура режимі. Егер сындық ө ткінің бір мә ні эквиваленттен кіші болса, онда осы бастапқ ы есептік режимі болады [4].

 

 

2.7 Барлық есептік режимдерде тү йіспелі сымдардың салбыраусыз жағ дайда арқ алаушы арқ ансымының керілуін анық тау

 

 

Жү ктелген арқ алушы арқ ан сымның температурадан тә уелділігін есептеу жә не монтажды қ исық тарды тұ рғ ызу:

 

, (2.17)

 

, (2.18)

 

Бұ л тең деуде 1 индексімен шамалар бастапқ ы есептік режимге жатады. Х индексімен арқ алаушы арқ ан сымның керілуінің оғ ан сә йкес температураның мә ндері [8]. Бұ л есепте қ осымша жү ктеменің ә рекеті болмаса gx=g тең деп аламыз

 

, (2.19)

 

 

, (2.20)

 

 

(2.21)

 

 

Кү й тең деуінде 200 – интервалымен Tx ә ртү рлі мә ндерін қ ойып tмах – тан tмin – ғ а дейінгі диапазонды tх мә ндерін табамыз, Тх = Tмах; Т1 = Tмах

 

 

 

Тү йіспелі сымның салбыраусыз жағ дайында арқ алаушы арқ ансымның керілуін анық тау. Тү йіспелі сым салбыраусыз жағ дайдағ ы t0 температурасын анық тау керек [8]. Жартылай қ арымталғ ан шынжырлы асылғ ы ү шін тү йіспелі сымның салбыраусыз жағ дайдағ ы температураны ә детте оны берілген ауданның орташа температурасынан кішкене тө мен алады.

 

, [0С] (2.22)

 

мұ ндағ ы t' – тү йіспелі сымның санынан жә не типіне тә уелді шама.

 

[0С]

 

Арқ алаушы арқ ансымның керілуінің монтажды кестесін 2.3-кестеде қ ұ рамыз. Берілген tХ мә ндеріне сә йкес монтажды қ исығ ы бойынша арқ алаушы арқ ансымның керілу мә ндерін табамыз:

 

2.3- кесте. Монтаждық кесте

tx -30 -10   +40
Tx        

 

Тү йіспелі сымның жә не арқ алаушы арқ ансымның салбырау жебесінің монтажды қ исық тарын есептеу жә не тұ рғ ызу 2.3- суретте кө рсетілген.

 

Жү ктелген арқ алаушы арқ ансымың салбырау жебесін анық тау.

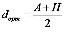
Анкерлік телімге кіретін берілген ө ткіндердің ә рқ айсысының тү йіспелі сыммен жү ктелген арқ алаушы арқ ансымның салбырау жебесі келесі формуламен анық талады [4]:

 

, [м] (2.23)

 

мұ ндағ ы l – ө ткіннің ұ зындығ ы; e – тіректің 1 – шекке дейінгі арақ ашық тығ ы;

k - тү йіспелі сымның номиналды керілуі, To – монтажды сұ лбадан алынатын мә н.

 

 

 

 

 

 

Тү йіспелі сымның салбырау жебесін анық тау.

 

Тү йіспелі сымның салбырау жебесіfкх келесі формула бойынша анық талады:

 

, [м] (2.24)

 

 

 

 

 

Нә тижелі монтаждық кестені қ ұ ру. Есептеу бойынша қ орытындылар.

Берілген tх мә ндері ү шін табылғ ан Тх керілу жә не Fх арқ алаушы арқ ансымның салбырау жебелерін, сонымен қ атар fкх тү йіспелі сымның салбырау жебелерін мә ндерін 2.4 - кесте ү лгісі бойынша нә тижелі монтаждық кестеге енгізу керек [4].

 

2.4- кесте. Нә тижелі монтаждық кесте

tx Tx l1=55м
Fx fкх
оС даН м м
tmin=-30   0.25 -0.0004
to= -10   0.30 0.0006
    0.34 0.066
tmax=+40   0.74 1.07

 

Дипломдық жұ мыстың екінші бө лімі бойынша қ орытынды: температура минималдық тан максималдық қ а дейін ө згеруінде Тх арқ алаушы арқ ансымның керілуі, арқ алаушы арқ ансымның Fx жә не тү йіспелі сымның fкх салбырау жебелері қ алай ө згеру туралы есептеме жургізілді.

нә тижелі монтаждық кесте бойынша сұ лба тұ рғ ызып, керек мә ндерді тауып есептеме жү ргізілді.

 

 

 

 

<== предыдущая лекция | следующая лекция ==>
Ахалазия или кардиоспазм. 1. Врожденные заболевания пищевода: | Розділ І. Теоретичні основи дослідження процесу постановки життєвих завдань в юнацькому віці
Поделиться с друзьями:

mylektsii.su - Мои Лекции - 2015-2026 год. (1.601 сек.)Все материалы представленные на сайте исключительно с целью ознакомления читателями и не преследуют коммерческих целей или нарушение авторских прав Пожаловаться на материал