Студопедия

Главная страница Случайная страница

КАТЕГОРИИ:

АвтомобилиАстрономияБиологияГеографияДом и садДругие языкиДругоеИнформатикаИсторияКультураЛитератураЛогикаМатематикаМедицинаМеталлургияМеханикаОбразованиеОхрана трудаПедагогикаПолитикаПравоПсихологияРелигияРиторикаСоциологияСпортСтроительствоТехнологияТуризмФизикаФилософияФинансыХимияЧерчениеЭкологияЭкономикаЭлектроника






Часть 1. Проверка местной устойчивости стенки составной балки






1.1. Исходные данные (из практического занятия №1)

Размеры сечения, см Момент инерции Пролёт Расчётная нагрузка Опорная реакция Расчётное сопротивление
hw tw bf tf J, см4 L, м q, кН/м Q max, кН Ry, МПа
  1, 0   2, 0 348 526        
                 

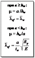
1.2. Необходимость установки поперечных рёбер жёсткости

· Условная гибкость стенки:

Вывод: ; рёбра жёсткости по расчёту не требуются.

1.3. Конструирование рёбер жёсткости

  Шаг рёбер жёсткости Ширина рёбер жёсткости Толщина рёбер жёсткости
Конструктивные требования a £ 2 hw при = 2× 100× 0, 034 = 6, 8 мм
a £ 2, 5 hw при a £ 2, 5× 900 = 2250 мм tr = 8…10 мм
Принятые характеристики a = 1000 мм br = 100 мм tr = 8 мм

1.4. Напряжения в расчётной точке

· Назначаем расстояние от левой опоры до опасного сечения: х = 4, 05 м (см. рис.)

· Изгибающий момент в опасном сечении:

кН× м = 168 400 кН× см

· Поперечная сила в опасном сечении: 75, 6 кН

· Максимальные нормальные напряжения в стенке: кН/см2

· Средние касательные напряжения по высоте стенки: 0, 84 кН/см2

1.5. Критические напряжения и проверка устойчивости

· Критическое значение нормальных напряжений: 84, 7 кН/см2

d ccr
£ 0, 8 30, 0
1, 0 31, 5
2, 0 33, 3
4, 0 34, 6
6, 0 34, 8
10, 0 35, 1
³ 30, 0 35, 5

где ccr – коэффициент, определяемый по таблице в зависимости от параметра d:

; тогда ccr = 33, 3 (в запас для d = 2, 0)

· Критическое значение касательных напряжений:

кН/см2

где m – отношение большей стороны отсека к меньшей: m = a / hw = 100/90 = 1, 11;

Rs = 0, 58 Ry = 0, 58× 24, 0 = 13, 9 кН/см2 – расчётное сопротивление стали срезу;

– условная расчётная гибкость стенки.

· Условие проверки местной устойчивости стенки:

(проверка выполняется)

 
 


Приложение (графическая часть): схема размещения рёбер жёсткости по длине балки

 


Поделиться с друзьями:

mylektsii.su - Мои Лекции - 2015-2026 год. (1.794 сек.)Все материалы представленные на сайте исключительно с целью ознакомления читателями и не преследуют коммерческих целей или нарушение авторских прав Пожаловаться на материал