Студопедия

Главная страница Случайная страница

КАТЕГОРИИ:

АвтомобилиАстрономияБиологияГеографияДом и садДругие языкиДругоеИнформатикаИсторияКультураЛитератураЛогикаМатематикаМедицинаМеталлургияМеханикаОбразованиеОхрана трудаПедагогикаПолитикаПравоПсихологияРелигияРиторикаСоциологияСпортСтроительствоТехнологияТуризмФизикаФилософияФинансыХимияЧерчениеЭкологияЭкономикаЭлектроника






Определение годовых текущих затрат, связанных с эксплуатацией программного продукта






 

Время решения задачи на ЭВМ определяется по формуле:

 

, (4.26)

 

где ТВВ — время ввода в ЭВМ исходных данных, необходимых для решения задачи, мин;

ТВЫЧ — время вычислений, мин;

ТВЫВ — время вывода результатов решения задачи (включая время распечатки на принтере), мин;

dПЗ — коэффициент, учитывающий подготовительно-заключительное время.

ч.

Время ввода в ЭВМ исходных данных может быть определено по формуле:

, (4.27)

 

где КZ — среднее количество знаков, набираемых с клавиатуры при вводе исходных данных;

HZ — норматив времени набора 100 знаков, мин.

 

мин.

 

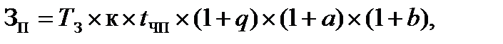
Затраты на заработную плату пользователя ПП определяются по формуле:

 

(4.28)

 

где ТЗ — время решения задачи на ЭВМ, час;

tЧП — среднечасовая тарифная ставка пользователя программы, руб. (определяется аналогично ставке работника, осуществляющего ручной расчет);

к — периодичность решения задачи в течение года, раз/год;

q — коэффициент, учитывающий процент премий;

а — коэффициент, учитывающий дополнительную заработную плату;

b — коэффициент, учитывающий начисления на заработную плату.

руб.

 

Затраты на оплату аренды ЭВМ для решения задачи определяются по следующей формуле:

 

, (4.29)

 

где SМЧ — стоимость одного машино-часа работы ЭВМ, которая будет использоваться для решения задачи, руб.

 

руб.

 

Годовые текущие затраты, связанные с эксплуатацией задачи, определяются по формуле:

 

, (4.30)

 

где ЗП — затраты на заработную плату пользователя программы;

ЗА — затраты на оплату аренды ЭВМ при решении задачи;

ЗД — дополнительные затраты, связанные с эксплуатацией ПП, в частности затраты на формирование базы данных, если она не поставляется вместе с программным продуктом.

 

руб.

 

 


Поделиться с друзьями:

mylektsii.su - Мои Лекции - 2015-2026 год. (0.883 сек.)Все материалы представленные на сайте исключительно с целью ознакомления читателями и не преследуют коммерческих целей или нарушение авторских прав Пожаловаться на материал