Студопедия

Главная страница Случайная страница

КАТЕГОРИИ:

АвтомобилиАстрономияБиологияГеографияДом и садДругие языкиДругоеИнформатикаИсторияКультураЛитератураЛогикаМатематикаМедицинаМеталлургияМеханикаОбразованиеОхрана трудаПедагогикаПолитикаПравоПсихологияРелигияРиторикаСоциологияСпортСтроительствоТехнологияТуризмФизикаФилософияФинансыХимияЧерчениеЭкологияЭкономикаЭлектроника






II курса , группы уБУ-13-1

З А Д А Н И Е

НА КУРСОВУЮ РАБОТУ

По дисциплине «Экономика организации (предприятия)»

студентки Мезенцева Е.Д____________________________________

II курса, группы уБУ-13-1

Тема работы: расчет технико-экономических показателей осушки латекса годовой производственной мощностью 36 000 тонн в год

Исходные данные

1. Смета спецификации на основное оборудование

Наименование оборудования Количество Стоимость единицы
Электролизер БГК 50/25   72212, 64
Гидрозатвор хлорный   174, 20
Предохранительный гидрозатвор   1055, 34
Насос центробежный   63603, 84
Вентилятор   75585, 26
Бак для гипохлорита   23659, 00
Санитарная колонна   549069, 26
Сборник электрощелоков   95486, 78
Эжектор   3839, 52
Огнепренрадитель   4253, 76
Бак   13009, 42
Теплообменник   136293, 51
Выпрямительный агрегат   526, 656
Насос   32510, 88
Напорный бак   19804, 29
Итого по схеме   1091084, 356

2. Производственная мощность цеха Мгод = 36 000 тонн в год

3. Баланс рабочего времени оборудования

Показатели Обозначения Дни Часы
Календарный фонд времени Т кал    
Простой      
а) капитальный ремонт Т к.р.    
б) текущий ремонт Т т.р.    
в) по техническим причинам Т тп. 1, 25  
Эффективный фонд рабочего времени Т эфф.    

4. Режим работы: 4 смены

5. Штатное расписание рабочих

Профессия Разряд Количество Тдн
Аппаратчик     201, 24
Аппаратчик     187, 77
Аппаратчик     166, 30
Итого рабочих     555, 32
Мастер смены     201, 24

6. Штатное расписание инженерно – технических работников и служащих

Наименование должность Должностной оклад
Начальник цеха 16809, 59
Технолог 15999, 75
Энергетик 14316, 39
Механик 12809, 40
итого ИТР 59935, 13

7. Калькуляция себестоимости

Наименование Усл. обозн проектная фактическая
Кол-во цена сумма Кол-во цена сумма
Полуфабрикаты            
Щелочь электролитическая тн 2, 2 311, 29 684, 84 2, 2 345, 88 760, 94
Итого полуфабрикаты:       684, 84     760, 94
Электрозатраты              
Электроэнергия гкВт 0, 1 218, 12 21, 81 0, 1 242, 36 24, 24
Тепло Гкал 2, 71 329, 71 893, 51 2, 71 366, 34 992, 78
Воздух технологический Т.м.3 0, 075 178, 79 13, 41 0, 075 198, 66 14, 9
Воздух КИП Т.м.3 0, 04 178, 79 7, 15 0, 04 198, 66 7, 95
Вода производственная т Т.м.3 0, 062 605, 17 37, 52 0, 062 672, 42 41, 69
Вода производственная 3715 Т.м.3 2, 01 587, 75 1181, 38 2, 01 653, 05 1312, 63
Итого:       2839, 62     3155, 13
Заработная плата            
Основная руб. Фосн.   40, 53     44, 59
Дополнительная руб. Фдоп.   8, 58     9, 44
Отчисления во внебюджетные фонды руб. Фотч.   14, 73     16, 21
Итого:         63, 84     70, 24
Содержание оборудования руб. С обо.   250, 98     276, 08
Цеховые расходы руб. Цр   43, 82     48, 20
Прямые затраты руб. Зпр   1021, 47     1131, 50
Цеховая себестоимость руб. Сцех   1065, 29     1179, 7
Общецеховые расходы руб. Зобщ.   76, 09     83, 75
Заводская себестоимость руб. Сзав   1141, 38     1263, 45
Внепроизводственные расходы руб. Звне.   22, 83     25, 27
Затраты на землю   Зем   35, 89     35, 89
Полная коммерческая себестоимость руб. Сполн   1200, 1     1324, 61
                   

Содержание:

Тема: Расчет технико-экономических показателей получения гидроксида натрия годовой производственной мощностью 180 000 тонн в год

Раздел 1 Введение. Развитие рыночных отношений на современном этапе

Раздел 2 Общая часть. Роль химического производства на современном этапе развития экономики в России. Характеристика проектируемого производства

Раздел 3 Расчетная часть

3.1. Расчет капитальных затрат

3.2 Расчет общей сметной стоимости оборудования

3.3 Расчет баланса рабочего времени оборудования

3.4 Расчет среднегодового баланса рабочего времени

3.5 Расчет численности основных рабочих и ИТР

3.6 Расчет фонда заработной платы рабочих

3.7 Расчет фонда заработной платы инженерно-технических работников

3.8 Расчет себестоимости продукции

3.9 Расчет технико-экономических показателей производства

3.10 Расчет себестоимости продукции и технико – экономических показателей

3.11 Расчет калькуляции себестоимости на единицу продукции

3.12 Экономическая эффективность

Раздел 4 Вывод

Раздел 5 Список использованной литературы:

1. Сафронов Н.А. Экономика организации (предприятия). Учебник.– М.: Магистр: Инфра - М, 2010

2. Миронов М.Г. Экономика отрасли (машиностроение). Учебник.– М.: Инфра – М, 2010

Календарный план

Разделы Месяцы и недели
апрель май июнь
Введение 07.04.2015    
Раздел 1 14.04.2015    
Раздел 2 21.04.2015    
Раздел 3   05.05.2015  
Раздел 4 Вывод   12.05.2015  
Раздел 5 писок используемых источников     09.2015
Оформление работы     16-23.06.2015

 

Дата выдачи задания «___» ___________ 2015 г.

Дата представления работы руководителю «___» _____________ 20____ г.

Руководитель курсовой работы Мисюрина Л.Е. ______________________

Задание получил _________________________________________________

Содержание:

стр.

Раздел 1 Введение  
Раздел 2 Общая часть  
Раздел 3 Расчетная часть  
3.1 Расчет капитальных затрат  
3.2 Расчет общей сметной стоимости оборудования  
3.3 Расчет баланса рабочего времени оборудования  
3.4 Расчет среднегодового баланса рабочего времени  
3.5 Расчет численности основных рабочих и ИТР  
3.6 Расчет фонда заработной платы рабочих  
3.7 Расчет фонда заработной платы инженерно-технических работников  
3.8 Расчет себестоимости продукции  
3.9 Расчет технико-экономических показателей производства  
3.10 Расчет себестоимости продукции и технико – экономических показателей  
3.11 Расчет калькуляции себестоимости на единицу продукции  
3.12 Экономическая эффективность  
Раздел 4 Заключение  
Раздел 5 Список использованной литературы  

 

 

Изм.
Лист
№ докум.
Подпись
Дата
Лист
 
1. 00. 00. 00 ПЗ  
Разраб.
Мезенцева Е.Д.
Провер.
Мисюрина Л.Е.
Н.котр.   Н.
Мисюрина Л.Е.
 
 
Утверд.
Мисюрина Л.Е.
«Расчет технико-экономических показателей осушки латекса годовой производственной мощностью 36 000 тонн в год»  
Лит.
Листов
 
гр. уБУ-13-1

 


Раздел 1 Введение.

Изм.
Лист
№ докум.
Подпись
Дата
Лист
 
1. 00. 00. 00 ПЗ  
Развитие рыночных отношений на современном этапе.

Рыночные отношения в современной экономике Рыночная экономика, основанная на принципах свободного предпринимательства, многообразия форм собственности на средства производства, рыночного ценообразования, конкуренции и ограниченного вмешательства государства в деятельность предприятий, порождает качественно новые отношения между хозяйствующими субъектами. Рынок формирует людей новой формации, способных принимать обоснованные решения, рисковать, менять методы ведения бизнеса; при этом создается плеяда предпринимателей, основа так называемого среднего класса общества. Применительно к данному вопросу нас интересуют в первую очередь экономические отношения, которые имеют место между отдельными людьми, организациями, предприятиями и даже между странами по поводу производства, распределения, обмена и потребления экономических благ. Содержание и характер экономических отношений, их согласованность и направленность определяются порядком получения и присвоения материальных, финансовых благ, удовлетворяющих многообразные потребности человека.

Экономические отношения базируются на взаимодействии субъекта и объекта собственности, в котором проявляются экономические интересы конкретных людей, социальных групп, общества в целом. Отдельные экономисты рассматривают экономические отношения как составную часть экономических процессов, свойственных конкретной экономической и общественно-политической системе. Рассмотрим экономические отношения, присущие рыночной экономике.

В рыночных условиях на первый план выходят не распределительная функция государства и централизованное планирование, свойственные командной экономике, а договорные отношения между хозяйствующими субъектами, ориентированные на поддержание соответствия между спросом и предложением. Как следует из принципов рыночной экономики, производитель и потребитель в значительной мере независимы от воздействия властей, их связывают между собой отношения свободного рынка товаров и услуг.

Хотя рыночная экономика в определенной мере регулируется государством и предприниматели обязаны соблюдать законы государства, касающиеся различных сторон предпринимательской деятельности, в такой экономике намного выше уровень заинтересованности и инициативы, чем в централизованной экономике, существовавшей в Советском Союзе в течение почти семи десятилетий. Такой регулятор централизованной экономики как устанавливаемые «сверху» цены в условиях рынка не действует.

Ценовой механизм рынка Адам Смит определил как его «невидимую руку», направляющую действия производителей и потребителей. Цены в рыночных условиях устанавливаются под воздействием нерегулируемых государством величин спроса и предложения. Рынок реагирует на увеличение предложения снижением цен, а повышенный спрос ведет, в свою очередь, к росту цены на товар. Рынок активно побуждает предпринимателя к снижению затрат на производство товаров и услуг, ибо нерациональное ведение бизнеса, высокие издержки приведут к убыткам и, возможно, к краху всего предприятия. Чем ниже затраты производителя, тем больший доход он может получить. Однако в ситуации, когда под влиянием устойчивого спроса на конкретные товары их станут производить многие предприятия и образуется избыток, тогда все решит качество: потребитель остановит свой выбор на самых качественных и относительно недорогих товарах.

Между производителями (как и между продавцами) в рыночных условиях постоянно идет конкурентная борьба, в ходе которой победителями выходят те, чьи товары или услуги окажутся наиболее привлекательными для потребителя. При этом те производители (продавцы), кто не смог достичь высокого качества товаров, пользующихся спросом, или высокого уровня обслуживания покупателей, уходят с рынка, разоряются. Опасность для современных рыночных отношений представляет монополизм, при котором происходит захват рынка определенного товара группой компаний с целью вытеснения других производителей или продавцов данного товара. Монополия — враг конкуренции, двигателя рыночных отношений, она нарушает соответствие спроса и предложения, поэтому в большинстве стран монополия ограничена, принято соответствующее антимонопольное законодательство. В современных условиях в экономике большинства стран действуют государственные рыночные регуляторы. Рыночные отношения регулируются государством, в частности через систему государственных заказов и социальное обеспечение, поддержку фундаментальных исследований и кредитно-денежную систему. Финансовое регулирование осуществляется в рамках налоговой системы, направления развития общества на перспективу определяются в процессе формирования и реализации долгосрочных государственных федеральных и региональных программ, исполняемых в том числе за счет средств бюджета страны, государства. Экспортно-импортные отношения регулируются государством через систему пошлин и тарифов на ввоз и вывоз товаров. При этом государство способствует развитию внешнеэкономических отношений и одновременно защищает интересы отечественных производителей. И все эти меры по поддержанию рыночных отношений регулируются законодательно, в рамках правовой системы государства. За компаниями, предприятиями, производителями товаров и услуг остаются фундаментальные экономические вопросы: что, как и для

Изм.
L t1UKDXHTtVBSKC5JzEtJzMnPS7VVqkwtVrK34+UCAAAA//8DAFBLAwQUAAYACAAAACEAPramVL8A AADcAAAADwAAAGRycy9kb3ducmV2LnhtbERPy4rCMBTdC/5DuII7TRUV7RhFFMWd9UHXd5o7bZnm pjRR69+bheDycN7LdWsq8aDGlZYVjIYRCOLM6pJzBbfrfjAH4TyyxsoyKXiRg/Wq21lirO2Tz/S4 +FyEEHYxKii8r2MpXVaQQTe0NXHg/mxj0AfY5FI3+AzhppLjKJpJgyWHhgJr2haU/V/uRsGU090u WdjrKSkPo2Rq0uT3nCrV77WbHxCeWv8Vf9xHrWAyDvPDmXAE5OoNAAD//wMAUEsBAi0AFAAGAAgA AAAhAPD3irv9AAAA4gEAABMAAAAAAAAAAAAAAAAAAAAAAFtDb250ZW50X1R5cGVzXS54bWxQSwEC LQAUAAYACAAAACEAMd1fYdIAAACPAQAACwAAAAAAAAAAAAAAAAAuAQAAX3JlbHMvLnJlbHNQSwEC LQAUAAYACAAAACEAMy8FnkEAAAA5AAAAEAAAAAAAAAAAAAAAAAApAgAAZHJzL3NoYXBleG1sLnht bFBLAQItABQABgAIAAAAIQA+tqZUvwAAANwAAAAPAAAAAAAAAAAAAAAAAJgCAABkcnMvZG93bnJl di54bWxQSwUGAAAAAAQABAD1AAAAhAMAAAAA " filled="f" stroked="f" strokeweight=".25pt">
Лист
L t1UKDXHTtVBSKC5JzEtJzMnPS7VVqkwtVrK34+UCAAAA//8DAFBLAwQUAAYACAAAACEAUfoDz8MA AADcAAAADwAAAGRycy9kb3ducmV2LnhtbESPQYvCMBSE78L+h/AWvGlaUXGrUURRvG3Vpedn87Yt 27yUJmr992ZB8DjMzDfMYtWZWtyodZVlBfEwAkGcW11xoeDnvBvMQDiPrLG2TAoe5GC1/OgtMNH2 zke6nXwhAoRdggpK75tESpeXZNANbUMcvF/bGvRBtoXULd4D3NRyFEVTabDisFBiQ5uS8r/T1SiY cLbdpl/2/J1W+zidmCy9HDOl+p/deg7CU+ff4Vf7oBWMRzH8nwlHQC6fAAAA//8DAFBLAQItABQA BgAIAAAAIQDw94q7/QAAAOIBAAATAAAAAAAAAAAAAAAAAAAAAABbQ29udGVudF9UeXBlc10ueG1s UEsBAi0AFAAGAAgAAAAhADHdX2HSAAAAjwEAAAsAAAAAAAAAAAAAAAAALgEAAF9yZWxzLy5yZWxz UEsBAi0AFAAGAAgAAAAhADMvBZ5BAAAAOQAAABAAAAAAAAAAAAAAAAAAKQIAAGRycy9zaGFwZXht bC54bWxQSwECLQAUAAYACAAAACEAUfoDz8MAAADcAAAADwAAAAAAAAAAAAAAAACYAgAAZHJzL2Rv d25yZXYueG1sUEsFBgAAAAAEAAQA9QAAAIgDAAAAAA== " filled="f" stroked="f" strokeweight=".25pt">
№ докум.
L t1UKDXHTtVBSKC5JzEtJzMnPS7VVqkwtVrK34+UCAAAA//8DAFBLAwQUAAYACAAAACEAoSiduMMA AADcAAAADwAAAGRycy9kb3ducmV2LnhtbESPT4vCMBTE74LfITzBm6YWXbQaRZRd9mb9Q8/P5tkW m5fSZLX77TfCgsdhZn7DrDadqcWDWldZVjAZRyCIc6srLhRczp+jOQjnkTXWlknBLznYrPu9FSba PvlIj5MvRICwS1BB6X2TSOnykgy6sW2Ig3ezrUEfZFtI3eIzwE0t4yj6kAYrDgslNrQrKb+ffoyC GWf7fbqw50NafU3SmcnS6zFTajjotksQnjr/Dv+3v7WCaRzD60w4AnL9BwAA//8DAFBLAQItABQA BgAIAAAAIQDw94q7/QAAAOIBAAATAAAAAAAAAAAAAAAAAAAAAABbQ29udGVudF9UeXBlc10ueG1s UEsBAi0AFAAGAAgAAAAhADHdX2HSAAAAjwEAAAsAAAAAAAAAAAAAAAAALgEAAF9yZWxzLy5yZWxz UEsBAi0AFAAGAAgAAAAhADMvBZ5BAAAAOQAAABAAAAAAAAAAAAAAAAAAKQIAAGRycy9zaGFwZXht bC54bWxQSwECLQAUAAYACAAAACEAoSiduMMAAADcAAAADwAAAAAAAAAAAAAAAACYAgAAZHJzL2Rv d25yZXYueG1sUEsFBgAAAAAEAAQA9QAAAIgDAAAAAA== " filled="f" stroked="f" strokeweight=".25pt">
Подпись
L t1UKDXHTtVBSKC5JzEtJzMnPS7VVqkwtVrK34+UCAAAA//8DAFBLAwQUAAYACAAAACEAzmQ4I8MA AADcAAAADwAAAGRycy9kb3ducmV2LnhtbESPT4vCMBTE78J+h/AWvGnqX9xqlGVF8WbVpedn87Yt 27yUJmr99kYQPA4z8xtmsWpNJa7UuNKygkE/AkGcWV1yruD3tOnNQDiPrLGyTAru5GC1/OgsMNb2 xge6Hn0uAoRdjAoK7+tYSpcVZND1bU0cvD/bGPRBNrnUDd4C3FRyGEVTabDksFBgTT8FZf/Hi1Ew 4XS9Tr7saZ+U20EyMWlyPqRKdT/b7zkIT61/h1/tnVYwHo7geSYcAbl8AAAA//8DAFBLAQItABQA BgAIAAAAIQDw94q7/QAAAOIBAAATAAAAAAAAAAAAAAAAAAAAAABbQ29udGVudF9UeXBlc10ueG1s UEsBAi0AFAAGAAgAAAAhADHdX2HSAAAAjwEAAAsAAAAAAAAAAAAAAAAALgEAAF9yZWxzLy5yZWxz UEsBAi0AFAAGAAgAAAAhADMvBZ5BAAAAOQAAABAAAAAAAAAAAAAAAAAAKQIAAGRycy9zaGFwZXht bC54bWxQSwECLQAUAAYACAAAACEAzmQ4I8MAAADcAAAADwAAAAAAAAAAAAAAAACYAgAAZHJzL2Rv d25yZXYueG1sUEsFBgAAAAAEAAQA9QAAAIgDAAAAAA== " filled="f" stroked="f" strokeweight=".25pt">
Дата
Лист
 
1.00.00.00 ПЗ  
кого производить.

При решении этих вопросов ключевую роль играют имущественные отношения: во-первых, отношения собственника к объектам собственности и, во-вторых, отношения между людьми, возникающие в связи с собственностью на предметы. Все лица, претендующие на часть вновь созданного продукта, вступают в экономические отношения по поводу собственности. И поскольку объект собственности может менять своего собственника, что имеет место при переходе собственности из государственной формы в не государственную, частную.

 

Раздел 2 Общая часть

Роль химического производства на современном этапе развития эконо­мики в России. Характеристика проектируемого производства.

Ла́ текс— общее название эмульсий дисперсных полимерных частиц в водном растворе. В природе встречается в виде молочка, которое выделяют различные растения, в частности бразильская гевея, одуванчик и др. Широкое применение ещё у ацтеков приобрели изделия из латекса (игровые мячи), в основном сделанного из молочка Castilla elastica. Лактукарий использовался как снотворное и обезболивающее средство (суррогат опия) ещё в Древнем Египте.

Латекс — микрогетерогенные природные (млечный сок каучуконосных растений) или искусственные системы, которые представляют собой водные дисперсии коллоидных каучуковых частиц (глобул), стабилизированных поверхностно-активными веществами эмульгаторами.

Форма и размеры частиц латексов тесно связаны с закономерностями процесса эмульсионной полимеризации исходных мономеров. Частицы синтетических латексов зачастую имеют сферическую или близкую к ней форму. Латексные глобулы стабилизированы ионогенным поверхностно-активным веществом чаще анионного типа. Спонтанно, с течением времени или вследствие специальной обработки (кислотно-щелочной, гидродинамическим, температурной и под др. воздействием) в латексной дисперсии образуются вторичные агрегаты, напоминающие гроздья. Первичные глобулы в таких «гроздьях» слиплись, но их коалесценция не состоялась. В большинстве случаев латексы не являются монодисперсными и характеризуются той или иной степенью полидисперсности, которая, в свою очередь, зависит от условий протекания полимеризационного процесса. Как правило, диаметр первичных латексных глобул составляет 10—200 нм. В различных отраслях промышленности широко применяются изопреновые, бутадиеновые, бутадиен-стирольные, бутадиен-метилстирольные, хлоропреновые, изобутилен-изопреновые, карбоксилатные, акриловые, уретановые и другие латексы.

Получение изделий из латекса на форму наносят раствор соли, напр. хлористого кальция. Затем опускают форму в латекс. Раствор соли содержит положительно заряженные частицы металла — катионы. При внесении формы в латекс с её поверхности в глубь латекса начинают диффундировать катионы. Встречая на своем пути отрицательно заряженные частицы латекса, положительно заряженные катионы разряжают их. И каучуковые частицы оседают в виде тонкого каучукового слоя на форме.

Изм.
Лист
№ докум.
Подпись
Дата
Лист
 
1.00.00.00 ПЗ  

 

 

Изм.
Лист
№ докум.
Подпись
Дата
Лист
 
1. 00. 00. 00 ПЗ
Раздел 3 Расчетная часть

3.1 Расчет капитальных затрат

3.1.1 Определяем производственный объём

(3.1)

где h -высота, м

n -длинна, м

z -ширина, м

3.1.2 Нормативная стоимость здания

(3.2)

где Ц- цена 1 м3 строительных работ за квадратный метр

V -объем, м3

3.1.3 Стоимость санитарно-технических работ принимаем 20% от стоимости здания

(3.3)

где S -нормативная стоимость здания, руб.

3.1.4 Полная стоимость здания

(3.4)

где S1 - cтоимость санитарно-технических работ, руб.;

S- нормативная стоимость здания, руб.

3.2 Расчет общей сметной стоимости оборудования

Таблица 3.1 -Смета спецификации на основное оборудование.

В штуках

Наименование оборудования Коли­чество обору­дова­ния Стоимость оборудования
За единицу всего
Электролизер БГК 50/25   72212, 64  
Гидрозатвор хлорный   174, 20 348, 4
Предохранительный гидрозатвор   1055, 34 1055, 34
Насос центробежный   63603, 84 190811, 52
Вентилятор   75585, 26 151170, 52
Бак для гипохлорита   23659, 00  
Санитарная колонна   549069, 26 549069, 26
Сборник электрощелоков   95486, 78 95486, 78
Эжектор   3839, 52 3839, 52
Огнепреградитель   4253, 76 8507, 52
Бак   13009, 42 13009, 42
Теплообменник   136293, 51 272587, 02
Выпрямительный агрегат   526, 656 3159, 94
Насос   32510, 88 65021, 76
Напорный бак   19804, 29 79217, 16
Итого: Х Х 19533762, 16

 

 

Изм.
Лист
№ докум.
Подпись
Дата
Лист
 
1. 00. 00. 00 ПЗ
3.2.1 Стоимость неучтенного оборудования принимаем за 40% стоимости оборудования

(3.5)

где A - первая стоимость оборудования по спецификации, руб.

3.2.2 Стоимость производственно-хозяйственного инвентаря принимаем 5% от стоимости нового технологического оборудования

(3.6)

где A - первая стоимость оборудования по спецификации, руб.

3.2.3 Определяем полную стоимость оборудования

(3.7)

где A - первая стоимость оборудования по спецификации, руб.;

Z - стоимость неучтенного оборудования, руб.;

Z1 - cтоимость производственно- хозяйственного инвентаря, руб.

Z2=7813504, 86+976688, 11+19533762, 16=28323955, 13

3.2.4 Транспортные расходы принимаем 15% от полной стоимости оборудо­вания

(3.8)

где Z2- полная стоимость оборудования, руб.

3.2.5 Затраты на монтаж оборудования принимаем 30% от полной стоимо­сти оборудования

(3.9)

где Z2- полная стоимость оборудования, руб.

3.2.6 Сметная стоимость оборудования

(3.10)

где Z2- полная стоимость оборудования, руб.;

Z3 - транспортные расходы, руб.;

Z4- pатраты на монтаж оборудования, руб.

3.3 Расчет капитальных затрат

3.3.1 Определяем капитальные затраты

(3.11)

где S2 - полная стоимость здания, руб.;

Z5 - cметная стоимость оборудования, руб.

Изм.
Лист
№ докум.
Подпись
Дата
Лист
 
1. 00. 00. 00 ПЗ  
Таблица 3.2- Расчет капитальных затрат

В рублях

Статьи затрат   Капитальные затраты
Σ %
Сметная стоимость здания S2 17100000, 00 29, 40
Сметная стоимость обору­дования. Z5 41069734, 94 70, 60
Итого K3 58169734, 94  

3.3.2 Расчёт производственной мощности цеха, участка

(3.12)

где П – часовая или суточная производительность, тн/час.;
Тэф. – эффективный фонд работы оборудования, дн.;
N – количество установленного основного оборудования, шт.

Таблица 3.4 - Расчет баланса рабочего времени оборудования

Показатели Условн. обознач. Дни Часы
Календарный фонд рабочего времени, дн. Ткал   8 760
Простои a) Капитальный ремонт, дн.   Ткр    
b) Текущий ремонт, дн. c) По техническим, дн.   Ткр    
d) Причинам, дн. Ттп 1, 25  
Эффективный фонд рабочего времени, дн. Тэфк – Ткр–Ттр –Ттп   Тэф   355, 75   8 538

 

3.4.1 Определяем эффективный фонд рабочего времени

(3.13)

где Тэф -эффективный фонд рабочего времени оборудования, дн.

Тэф=365-6-2-1, 25=355, 75

Тэф=355, 75∙ 25=8538

3.5 Расчет среднегодового баланса рабочего времени

3.5.1 Определяем номинальный фонд рабочего времени для сменных рабо­чих

(3.14)

где Тном – номинальный фонд рабочего времени, дн.;

Тк – календарный фонд рабочего времени, дн.;

Двп.в- количество праздничных и выходных дней в году, дн.

 

3.5.2 Определяем эффективный фонд рабочего времени

(3.15)

где ОО – основной отпуск, дн.;

Од – дополнительный отпуск, дн.;

О гос – отпуск, за выполнение общественных и государственных обя- занностей, дн.;

Б – невыходы на работу по больничным листам, дн.

3.5.3 Определяем номинальный фонд рабочего времени для дневных работающих

(3.16)

где Тном – номинальный фонд рабочего времени, дн.;

Тк – календарный фонд рабочего времени, дн.;

Дп, в - количество праздничных и выходных дней в году (определяется по календарю текущего года), дн.

Т ном = 365-118=247

3.5.4. Определяем эффективный фонд рабочего времени

(3.17)

где ОО – основной отпуск, дн.;

Од – дополнительный отпуск, дн.;

О гос – отпуск, за выполнение общественных и государственных обя- занностей, дн.;

Б – невыходы на работу по больничным листам, дн.

Т эф =247-28-19-1-2=197

Таблица 3.4- Расчет среднегодового баланса рабочего времени

Наименование Усл. Обозн. Для сменных рабочих Для дневных рабочих
Календарное время, дн. Праздничные и выходные дни, дн. Тк Дпв    
Итого: Т номинальное, дн. Тном    
Отпуск основной, дн. Отпуск дополнительный, дн. За выполнение госуд. и общественных обязанностей, дн. По болезни, дн. Оо Од   Огос Б 12+7   12+7  
Итого: Т эффективное, дн. Тэф    

 

Изм.
Лист
№ докум.
Подпись
Дата
Лист
 
1. 00. 00. 00 ПЗ  
Для сменных рабочих количество выходных и праздничных дней определяется как количество дней в год деленное на количество смен

 

 

3.6 Расчет численности основных рабочих и ИТР

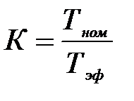
3.6.1 Определяем коэффициент пересчёта от явочного числа рабочих к списочному для сменных рабочих

(3.18)

где Тном – номинальный фонд рабочего времени, дн.;

Тэф -эффективный фонд рабочего времени оборудования, дн.

3.6.2 Определяем явочное количество основных рабочих
(3.19)

3.6.3 Определяем списочный состав основных рабочих
(3.20)

Составляем штатное расписание. Данные заносим в таблицу.

3.6.4 Штатное расписание рабочих

Таблица 3.5- Штатное расписание рабочих

Профессия разряд количество тарифная ставка Эффект. Ф. раб.вр.
Аппаратчик электролиза     201, 24  
Аппаратчик электролиза     187, 77  
Аппаратчик электролиза     166, 30  
Итого рабочих     555, 32  
Мастер смены     201, 24  

3.7 Расчет фонда заработной платы рабочих

Аппаратчик электролиза 6-го разряда.

3.7.1 Расчет годового трафика фонда заработной платы

Изм.
Лист
№ докум.
Подпись
Дата
Лист
 
1. 00. 00. 00 ПЗ  
(3.21)

где Фг - дневная тарифная ставка, руб.

Фг =201, 24 222∙ 6=268051, 68

Определяем премию, принимаем 25 % от годового тарифного фонда заработной платы

(3.22)

где Фг - трафика фонда заработной платы, руб.

Дпр =268051, 68∙ 0, 25=67012, 92

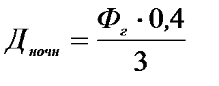
Определяем доплату за работу в ночное время. Принимаем 4, 76% от годового тарифного фонда

(3.23)

Изм.
Лист
№ докум.
Подпись
Дата
Лист
 
1. 00. 00. 00 ПЗ  
где Фг - трафика фонда заработной платы, руб.

Определяем доплату за работу в праздники, принимаем 2% от годового тарифного фонда заработной платы

(3.24)

где Фг - трафика фонда заработной платы, руб.

Д празд =268051, 68 ∙ 0, 02=5361, 03

Определяем основной фонд заработной платы с районным коэффициентом

(3.25)

где Фг - дневная тарифная ставка, руб.;

Дпр .-премия, руб.;

Дноч- доплата за работу в ночное время, руб.;

Д празд - доплата за работу в праздники, руб.

Ф осн=(268051, 68+67012, 92+35740, 22+5361, 03)∙ 1, 5=564248, 78

Определяем дополнительный фонд заработной платы (за отпуск)

(3.26)

где No.т.n – количество дней отпуска, дн.;

Тэф -эффективный фонд рабочего времени оборудования, дн.

Определяем общий фонд заработной платы

(3.27)

где Фосн - основной фонд заработной платы с районным коэффициентом, руб.;

Фдоп - дополнительный фонд заработной платы, за отпуск, руб.

Фобщ =564248, 78+119458, 08=683706, 86

Определяем сумму отчислений во внебюджетные фонды (30% от общего фонда заработной платы)

(3.28)

где Фобщ- общий фонд заработной платы, руб.

Ф отчетн.=683706, 86∙ 0, 30=205112, 06

Аппаратчик электролиза 5-го разряда

Расчет годового трафика фонда заработной платы

(3.29)

Изм.
Лист
№ докум.
Подпись
Дата
Лист
 
1. 00. 00. 00 ПЗ  
где Фг - дневная тарифная ставка, руб.

Фг =187, 77∙ 222∙ 4=166739, 76

Определяем премию, принимаем 25 % от годового тарифного фонда заработной платы

(3.30)

где Фг - дневная тарифная ставка, руб.

Дпр =166739, 76∙ 0, 25=41684, 94

Определяем доплату за работу в ночное время. Принимаем 4, 76% от годового тарифного фонда

(3.31)

где Фг - дневная тарифная ставка, руб.

Определяем доплату за работу в праздники, принимаем 2% от годового тарифного фонда заработной платы

(3.32)

где Фг - дневная тарифная ставка, руб.

Д празд =166739, 76∙ 0, 02=3334, 8

Определяем основной фонд заработной платы с районным коэффициентом

(3.33)

где Фг - дневная тарифная ставка, руб.;

Дпр .-премия, руб.;

Дноч- доплата за работу в ночное время, руб.;

Д празд - доплата за работу в праздники, руб.

Фосн =(166739, 76+41684, 94+22231, 97+3334, 8)∙ 1, 5=350987, 21

Определяем дополнительный фонд заработной платы (за отпуск)

(3.34)

где No.т.n – количество дней отпуска, дн.

Тэф -эффективный фонд рабочего времени оборудования, дн.

 

 

Определяем общий фонд заработной платы

(3.35)

где Фосн - основной фонд заработной платы с районным коэффициентом, руб.;

Фдоп - дополнительный фонд заработной платы, за отпуск, дн.

Фобщ =350987, 21+74308, 10=425295, 31

Определяем сумму отчислений во внебюджетные фонды (30% от общего фонда заработной платы)

(3.36)

где Фобщ- общий фонд заработной платы, руб.

Ф отчетн. =425295, 31∙ 0, 30=127588, 59

Аппаратчик электролиза 4 разряда

Изм.
Лист
№ докум.
Подпись
Дата
Лист
 
1. 00. 00. 00 ПЗ  
Расчет годового трафика фонда заработной платы

(3.37)

где Ф г - дневная тарифная ставка, руб.

Фг =166, 30∙ 222∙ 7=258430, 2

Определяем премию, принимаем 25 % от годового тарифного фонда заработной платы

(3.38)

где Ф г - дневная тарифная ставка, руб.

Дгод =258430, 2∙ 0, 25=64607, 55

Определяем доплату за работу в ночное время. Принимаем 4, 76% от годового тарифного фонда

(3.39)

где Ф г - дневная тарифная ставка, руб.

Определяем доплату за работу в праздники, принимаем 2% от годового тарифного фонда заработной платы

(3.40)

где Ф г - дневная тарифная ставка, руб.

Д празд =258430, 2∙ 0, 02=5168, 60

Определяем основной фонд заработной платы с районным коэффициентом

(3.41)

где Фг - дневная тарифная ставка, руб;

Дпр .-премия, руб.;

Дноч- доплата за работу в ночное время, руб.;

Д празд - доплата за работу в праздники, руб.

Ф осн=(258430, 2+64607, 55+34457, 36+5168, 60) ∙ 1, 5=543995, 57

Определяем дополнительный фонд заработной платы (за отпуск)

Изм.
Лист
№ докум.
Подпись
Дата
Лист
 
1. 00. 00. 00 ПЗ  
(3.42)

где No.т.n – количество дней отпуска, дн.;

Тэф -эффективный фонд рабочего времени оборудования, дн.

Определяем общий фонд заработной платы

(3.43)

где Фосн - основной фонд заработной платы с районным коэффициентом, руб.;

Фдоп - дополнительный фонд заработной платы, за отпуск, руб.

Фобщ =543995, 57+115170, 23=659165, 8

Определяем сумму отчислений во внебюджетные фонды (30% от общего фонда заработной платы)

(3.44)

где Фобщ- общий фонд заработной платы, руб.

Ф отчетн. =659165, 8∙ 0, 30=197749, 74

Мастер смены

Расчет годового трафика фонда заработной платы

(3.45)

где Фг - дневная тарифная ставка, руб.

Фг =212, 99∙ 222∙ 2=94567, 56

Определяем премию, принимаем 25 % от годового тарифного фонда заработной платы

(3.46)

где Фг - дневная тарифная ставка, руб.

Д пр=94567, 56∙ 0, 25=23641, 89

Определяем доплату за работу в ночное время. Принимаем 4, 76% от годового тарифного фонда

(3.47)

где Ф г - дневная тарифная ставка, руб.

Определяем доплату за работу в праздники, принимаем 2% от годового тарифного фонда заработной платы

(3.48)

где Ф г - дневная тарифная ставка, руб.

Д празд =94567, 56∙ 0, 02=1891, 35

Определяем основной фонд заработной платы с районным коэффициентом

(3.49)

Изм.
Лист
№ докум.
Подпись
Дата
Лист
 
1. 00. 00. 00 ПЗ  
где Фг - дневная тарифная ставка, руб.;

Дпр .- премия- руб.;

Дноч - доплата за работу в ночное время, руб.;

Д празд - доплата за работу в праздники, руб.

Ф осн=(94567, 56+23641, 8912609, 01+1891, 35)∙ 1, 5=199064, 72

Определяем дополнительный фонд заработной платы (за отпуск)

(3.50)

где No.т.n – количество дней отпуска, дн.;

Тэф -эффективный фонд рабочего времени оборудования, дн.

Определяем общий фонд заработной платы

(3.51)

где Фосн - основной фонд заработной платы с районным коэффициентом, руб.;

Фдоп - дополнительный фонд заработной платы, за отпуск, руб.

Фобщ =199064, 72+42144, 33=241209, 05

Определяем сумму отчислений во внебюджетные фонды (30% от общего фонда заработной платы)

(3.52)

где Фобщ- общий фонд заработной платы, руб.

Ф отчетн. =241209, 05∙ 0, 30=72362, 72

3.7.1.8 Определяем сумму отчислений во внебюджетные фонды (30, 0 % от общего фонда заработной платы)
(3.52)

где Фобщ- общий фонд заработной платы, руб.

Аппаратчик электролиза 6-го разряда

Ф отчетн.=683706, 86∙ 0, 30=205112, 06

Аппаратчик электролиза 5-го разряда

Ф отчетн. =425295, 31∙ 0, 30=127588, 59

Аппаратчик электролиза 4-го разряда

Ф отчетн. =659165, 8∙ 0, 30=197749, 74

Мастер смены

Ф отчетн. =241209, 05∙ 0, 30=72362, 72

3.7.1.9 Данные расчетов сводим в таблицу ”Фонд заработной платы рабочих”

3.7.2 Определяем основную заработную плату рабочих на одну тонну продукта

Изм.
Лист
№ докум.
Подпись
Дата
Лист
 
1. 00. 00. 00 ПЗ  

где Фосн - основной фонд заработной платы с районным коэффициентом, руб.;

Мгод - производственная мощность цеха, т.

 

3.7.3 Определяем дополнительную заработную плату на одну тонну продукта

где Фдоп - дополнительный фонд заработной платы, за отпуск, руб.

Мгод - производственная мощность цеха, т.

3.7.4 Определяем размер отчислений во внебюджетные фонды из общего фонда заработной платы рабочих на одну тонну продукции.

где Фотч. раб. - сумма отчислений во внебюджетные фонды, руб.;

Мгод - производственная мощность цеха, т.

Таблица 3.8 - Расчет фонда заработной платы инженерно-технических работников

Определяем общий фонд заработной платы основных рабочих, служащих и инженерно – технических работников

Профессии Аппаратчики Итого рабочих Мастер смены
Разряд          
Количество          
Дневная тарифная ставка 201, 24 187, 77 166, 30   212, 99
Эф. Фонд раб. Времени          
Дни отпуска          
Годовой тар. фонд 268051, 68 166739, 76 258430, 2 693221, 64 94567, 56
доплаты премия 67012, 92 41684, 94 64607, 55 173305, 41 23641, 89
ночные

<== предыдущая лекция | следующая лекция ==>
Додатки. Курсова робота , окрім пояснювальної записки , включає і багатий ілюстративний матеріал | 
Поделиться с друзьями:

mylektsii.su - Мои Лекции - 2015-2026 год. (3.531 сек.)Все материалы представленные на сайте исключительно с целью ознакомления читателями и не преследуют коммерческих целей или нарушение авторских прав Пожаловаться на материал