Студопедия

Главная страница Случайная страница

КАТЕГОРИИ:

АвтомобилиАстрономияБиологияГеографияДом и садДругие языкиДругоеИнформатикаИсторияКультураЛитератураЛогикаМатематикаМедицинаМеталлургияМеханикаОбразованиеОхрана трудаПедагогикаПолитикаПравоПсихологияРелигияРиторикаСоциологияСпортСтроительствоТехнологияТуризмФизикаФилософияФинансыХимияЧерчениеЭкологияЭкономикаЭлектроника






ПРИМЕР 1. Планирование баланса предприятия






 

ОБЩЕСТВО С ОГРАНИЧЕННОЙ ОТВЕТСТВЕННОСТЬЮ

«ДОМ РОЗНИЧНОЙ ТОРГОВЛИ»

ПЛАНИРУЕМЫЙ СЧЕТ ПРИБЫЛЕЙ И УБЫТКОВ

за год с 31 декабря 200... года по 31 декабря 200... года (4-й год деятельности предприятия), в у. д. ед.

 

Планирование баланса предприятия

Сложность планирования изменений в собственности, в отличие от планирования прибыли, в том, что тут нет такого начального опорного числа, как сумма продаж. Поэтому каждая статья текущего баланса предприятия рассчитывается самостоятельно и лишь после этого производится общая балансировка.

Вот примерная последовательность такой работы.

Первый шаг. Определяется основная балансовая стоимость плана баланса. Это могут быть наличные деньги, платежи по банковским кредитам и др.

Второй шаг. Заполняются статьи, которые, по всей вероятности, не претерпят изменений. Например, статья «Основной капитал», если не предполагаются реализация и приобретение основных фондов.

Третий шаг. Заполняются статьи, которые меняются и будут иметь уже известные расчетные значения. Например, размер предполагаемой прибыли из плана счета прибылей и убытков позволит рассчитать нераспределенную прибыль. Этой же цели будет способствовать и знание планов распределения прибыли, плана выплаты дивидендов и т. д.

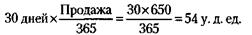
Четвертый шаг. Ряд статей планируемого баланса может быть рассчитан, исходя из знания финансовых коэффициентов за прошлые годы. Например, если по анализу финансовых коэффициентов на 4-й год деятельности предприятия срок выплат по счетам принять 30 дней, а продажу оценить в 650 у. д. ед., то выплаты по счетам на 4-й год составят:

 

 

Таким же способом можно планировать конечные запасы и счета кредиторов.

Пятый шаг. Расчет балансового числа, т. е.того показателя, который уравнивает активы с суммой пассивов и собственного капитала. Рассмотрим пример составления плана баланса на 4-й год деятельности предприятия.


Поделиться с друзьями:

mylektsii.su - Мои Лекции - 2015-2026 год. (1.127 сек.)Все материалы представленные на сайте исключительно с целью ознакомления читателями и не преследуют коммерческих целей или нарушение авторских прав Пожаловаться на материал