Студопедия

Главная страница Случайная страница

КАТЕГОРИИ:

АвтомобилиАстрономияБиологияГеографияДом и садДругие языкиДругоеИнформатикаИсторияКультураЛитератураЛогикаМатематикаМедицинаМеталлургияМеханикаОбразованиеОхрана трудаПедагогикаПолитикаПравоПсихологияРелигияРиторикаСоциологияСпортСтроительствоТехнологияТуризмФизикаФилософияФинансыХимияЧерчениеЭкологияЭкономикаЭлектроника






Задача 38

Bариант17. Даны координаты вершин пирамиды :

Найти:

1) длину ребра ;

2) угол между ребрами и ;

3) угол между ребром и гранью ;

4) площадь грани ;

5) объем пирамиды;

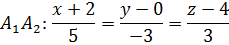
6) уравнение прямой ;

7) уравнение плоскости ;

8) уравнение высоты, опущенной из вершины ;

9) сделать чертеж.

Решение.

1) с

с

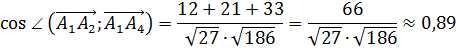
2)

, , ,

или

3) Угол φ между прямой и плоскостью вычисляется по формуле

.

Направляющий вектор прямой имеет координаты ,. Плоскость задается уравнением

(вывод уравнения см. в п.7). Тогда синус угла φ между прямой и плоскостью вычисляетсятак

sinφ =

Отсюда φ =arcsin() или φ = .

4) или

где .Поэтому

5)


6) Прямая проходит через точки поэтому применяя уравнение прямой , получаем:

,

 

7) Уравнение плоскости имеет вид:

поэтому

 

8) Необходимо найти уравнение прямой l, проходящей через точку и перпендикулярную плоскости . Так как прямая l перпендикулярна плоскости, то она параллельна вектору ее нормали . Поэтому направляющим вектором прямой l является вектор нормали заданной плоскости: .

Теперь запишем искомое уравнение прямой, проходящей через точку в направлении вектора

 

9)

 

<== предыдущая лекция | следующая лекция ==>
Материалы к расчету уровня пожарной безопасности маломобильных групп населения | Лекция.
Поделиться с друзьями:

mylektsii.su - Мои Лекции - 2015-2026 год. (1.968 сек.)Все материалы представленные на сайте исключительно с целью ознакомления читателями и не преследуют коммерческих целей или нарушение авторских прав Пожаловаться на материал