Главная страница
Случайная страница
КАТЕГОРИИ:
АвтомобилиАстрономияБиологияГеографияДом и садДругие языкиДругоеИнформатикаИсторияКультураЛитератураЛогикаМатематикаМедицинаМеталлургияМеханикаОбразованиеОхрана трудаПедагогикаПолитикаПравоПсихологияРелигияРиторикаСоциологияСпортСтроительствоТехнологияТуризмФизикаФилософияФинансыХимияЧерчениеЭкологияЭкономикаЭлектроника
|
Рассеяние носителей заряда
РАССЕЯНИЕ НОСИТЕЛЕЙ ЗАРЯДА в кристаллич. твёрдых телах - процесс взаимодействия электрона (дырки) с дефектами кристаллической решетки, сопровождающийся переходом электрона из состояния с импульсом p в состояние с импульсом Рассеяние наз. упругим, если энергии электрона в начальном и конечном состояниях равны, или неупругим, если . Источником упругого рассеяния являются статич. дефекты - примесные атомы, дислокации, границы кристаллич. зёрен и т. п. (см. Дефекты в кристаллах). Осн. источником неупругого рассеяния являются колебания кристаллической решётки. Рассеяние электрона на колебаниях решётки описывается в терминах испускания и поглощения фононов движущимся электроном. В нек-рых случаях существенно неупругое рассеяние на др. квазичастицах - магнонах, плазмонах. Особое положение занимает Р. н. з. друг на друге (см. Межэлектронное рассеяние).
Р. н. з. является причиной того, что любое неравновесное по энергии или импульсу распределение электронов, созданное внеш. возмущением (электрич. поле, свет), с течением времени релаксирует к равновесному фермиевскому распределению , соответствующему темп-ре кристалла Т. В процессе релаксации упругое рассеяние " размешивает" распределение равномерно в пределах каждой изоэнергетич. поверхности = const, а неупругое - устанавливает равновесное распределение между изоэнергетич. поверхностями с разными . Время, необходимое для достижения равномерного распределения на изоэнергетич. поверхности, наз. временем релаксации импульса или транспортным временем релаксации. Время, необходимое для установления равновесного распределения в области энергий порядка , наз. временем релаксации энергии . Если, рассеяние наз. квазиупругим. В этом случае установление равновесия идёт в 2 этапа: сначала быстро (за время ) неравновесное распределение выравнивается на каждой изоэнергетич. поверхности и превращается в неравновесное распределение по энергиям, к-рое затем медленно (за время ) релаксирует к равновесному распределению 
Возмущением, ответственным за Р. н. з., является разность между истинным потенциалом V(r, t), действующим на электрон в реальном кристалле, и периодич. потенциалом V 0(r, t), действующим в идеальном кристалле с неподвижными атомами (r - пространственная координата электрона). Возмущение d V = V - V 0 определяет вероятность рассеяния . В вырожденных полупроводниках и металлах следует учитывать принцип Паули, так что фактич. вероятность перехода равна . Кроме того, при большой плотности носителей рассеяние ослабляется экранированием возмущения из-за перераспределения носителей в пространстве.
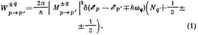
Рассеяние на фононах. Вероятность рассеяния электрона при испускании или поглощении фонона о импульсом q и энергией (без учёта принципа Паули) определяется выражением

Здесь верх. и ниж. знаки соответствуют испусканию и поглощению фонона; числа фононов с импульсом q определяются распределением Планка (см. Планка закон излучения:)

Матричный элемент М перехода p: p' содержит закон сохранения квазиимпульса: (b - произвольный вектор обратной решётки). Переходы, для к-рых b = 0, наз. нормальными; если b. 0, говорят о переходах с перебросом (см. Переброса процессы). Дельта-функция d отражает закон сохранения энергии. Вероятность рассеяния с испусканием фонона пропорц. Nq + 1. Два слагаемых, соответствующие Nq и 1, дают вероятности индуцированного и спонтанного рассеяний. Вероятность рассеяния с поглощением фонона пропорц. Nq, поэтому поглощение фонона всегда является индуцированным.
Рассеяние электрона на фононах в большой степени определяется законами сохранения энергии и импульса (кинематич. факторы), а также принципом Паули. Поэтому картина рассеяния различна для акустич. и оп-тич. фононов, имеющих разные законы дисперсии , и зависит от степени вырождения электронного газа. Кинематика позволяет установить, какие фононы дают осн. вклад в рассеяние, какова степень упругости рассеяния, а также является ли оно индуцированным или спонтанным.
Рассеяние на акустических фононах в полупроводниках. Т. к. скорость электрона v имеет порядок скорости звука s только при очень малой его энергии ( ! ms 2! 0, 1 К), то в реальных условиях Это означает, что возмущение, создаваемое акустич. фононом, почти статично, а рассеяние электронов всегда квазиупруго. Из кинематики следует, что осн. вклад в рассеяние вносят фононы с импульсом ; поэтому
направленный импульс электрона теряется всего за неск. столкновений. Энергия фонона с таким импульсом ! , так что для релаксации энергии требуется много столкновений, т. е. действительно 
Является ли рассеяние индуцированным или спонтанным, зависит от соотношения между энергией фонона hsp и тепловой энергией Т. Эти величины сравниваются, когда энергия электрона равна Если то характерны Nq 1; доминирует спонтанное испускание фононов (динамич. трение), и " движение" электрона по оси энергии есть систематич. дрейф вниз. При доминируют индуциров. переходы, т. к. При этом испускание происходит не намного чаще, чем поглощение, и " движение" электрона по оси энергий превращается в диффузию.
Рассеяние на акустических фононах в металлах и вырожденных полупроводниках. Вследствие закона сохранения импульса наиб. вероятно взаимодействие с фононами, импульс к-рых , где - импульс Ферми (см. Ферми-поверхность).Но испусканию таких фононов (с энергией ) может препятствовать принцип Паули, если превышение энергии электрона над энергией Ферми много меньше , а поглощение может ослабляться из-за малого числа таких фононов, если . Поэтому характер рассеяния сильно зависит от Г и превышения энергии электрона над энергией Ферми. При почти для всех электронов (указанные ограничения несущественны) и рассеяние (с испусканием и поглощением) идёт на фононах с и энергией . Для релаксации импульса требуется неск. столкновений, а для релаксации энергии - много (квазиупругое рассеяние). При поглощение фононов с энергией маловероятно, но если , то принцип Паули не запрещает испускание таких фононов (в осн. спонтанное). Рассеяние, как и при высоких темп-pax, квазиупруго. Если же , то принцип Паули разрешает только испускание фононов с . Такое рассеяние является малоугловым, и выравнивание распределения электронов на поверхности Ферми происходит диффузионно. Для полной релаксации импульса требуется много столкновений, релаксация же энергии происходит за неск. столкновений (неупругое рассеяние).
Рассеяние на оптических фононах. При рассеянии в металлах существенны оптич. фононы во всей зоне Бриллюэна, в осн. коротковолновые с , где b 0 - размер Бриллюэна зоны. В полупроводниках в рассеянии участвуют только оптич. ДВ-фононы с . Частоту этих фононов w0 можно считать не зависящей от q. Рассеяние на оптич. фононах квазиупруго только при ! 400 К, т. е. только при очень высоких энергиях электронов (см. Горячие электроны).В области энергий проявляются неупругий и пороговый характеры рассеяния. Это существенно при низких темп-pax , когда ниже порога ( ) рассеяние слабое и возможно только за счёт маловероятного поглощения фонона, пропорционального , а выше порога ( ) рассеяние сильное - оно происходит при спонтанном испускании фонона.
|