Главная страница
Случайная страница
КАТЕГОРИИ:
АвтомобилиАстрономияБиологияГеографияДом и садДругие языкиДругоеИнформатикаИсторияКультураЛитератураЛогикаМатематикаМедицинаМеталлургияМеханикаОбразованиеОхрана трудаПедагогикаПолитикаПравоПсихологияРелигияРиторикаСоциологияСпортСтроительствоТехнологияТуризмФизикаФилософияФинансыХимияЧерчениеЭкологияЭкономикаЭлектроника
|
Определение крена фундамента
9. Крен фундамента при действии внецентренной нагрузки определяется по формуле
, (10)
где и - соответственно модуль деформации и коэффициент Пуассона грунта основания (значение принимается по п.10); в случае неоднородного основания значения и принимаются средними в пределах сжимаемой толщи в соответствии с указаниями п.11;
- коэффициент, принимаемый по табл.5;
- вертикальная составляющая равнодействующей всех нагрузок на фундамент в уровне его подошвы;
- эксцентриситет;
- диаметр круглого или сторона прямоугольного фундамента, в направлении которой действует момент; для фундамента с подошвой в форме правильного многоугольника площадью принимается ;
- коэффициент, учитываемый при расчете крена фундаментов по схеме линейно деформируемого слоя (п.2.40б) при 10 м и 10 МПа (100 кгс/см ) и принимаемый по табл.3.
Таблица 5
Коэффициент 
|
|
|
|
|
|
|
|
|
|
| | Форма фундамента и направление действия момента
|
| Коэффициент при , равном
| |
|
| 0, 5
|
| 1, 5
|
|
|
|
|
| Прямоугольный с моментом вдоль большей стороны
|
1, 2
1, 5
| 0, 28
0, 29
0, 31
0, 32
0, 33
0, 34
0, 35
| 0, 41
0, 44
0, 48
0, 52
0, 55
0, 60
0, 63
| 0, 46
0, 51
0, 57
0, 64
0, 73
0, 80
0, 85
| 0, 48
0, 54
0, 62
0, 72
0, 83
0, 94
1, 04
| 0, 50
0, 57
0, 66
0, 78
0, 95
1, 12
1, 31
| 0, 50
0, 57
0, 68
0, 81
1, 01
1, 24
1, 45
| 0, 50
0, 57
0, 68
0, 82
1, 04
1, 31
1, 56
| 0, 50
0, 57
0, 68
0, 82
1, 17
1, 42
2, 00
| Прямоугольный с моментом вдоль меньшей стороны
|
1, 2
1, 5
| 0, 28
0, 24
0, 19
0, 15
0, 10
0, 06
0, 03
| 0, 41
0, 35
0, 28
0, 22
0, 15
0, 09
0, 05
| 0, 46
0, 39
0, 32
0, 25
0, 17
0, 10
0, 05
| 0, 48
0, 41
0, 34
0, 27
0, 18
0, 11
0, 06
| 0, 50
0, 42
0, 35
0, 28
0, 19
0, 12
0, 06
| 0, 50
0, 43
0, 36
0, 28
0, 20
0, 12
0, 06
| 0, 50
0, 43
0, 36
0, 28
0, 20
0, 12
0, 06
| 0, 50
0, 43
0, 36
0, 28
0, 20
0, 12
0, 07
| Круглый
| -
| 0, 43
| 0, 63
| 0, 71
| 0, 74
| 0, 75
| 0, 75
| 0, 75
| 0, 75
| Примечание. При использовании расчетной схемы основания в виде линейно деформируемого полупространства коэффициент принимается по графе, соответствующей .
|
10. Коэффициент Пуассона принимается равным для грунтов: крупнообломочных - 0, 27; песков и супесей - 0, 30; суглинков - 0, 35; глин - 0, 42.
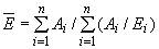
11. Средние (в пределах сжимаемой толщи или толщины слоев ) значения модуля деформации и коэффициента Пуассона грунтов основания ( и ) определяются по формулам:
; (11)
, (12)
где - площадь эпюры вертикальных напряжений от единичного давления под подошвой фундамента в пределах -го слоя грунта; для схемы полупространства допускается принимать (cм. п.1), для схемы слоя - (cм. п.7);
, , - соответственно модуль деформации, коэффициент Пуассона и толщина -го слоя грунта;
- расчетная толщина слоя, определяемая по п.8;
- число слоев, отличающихся значениями и в пределах сжимаемой толщи или толщины слоя .
|