Студопедия

Главная страница Случайная страница

КАТЕГОРИИ:

АвтомобилиАстрономияБиологияГеографияДом и садДругие языкиДругоеИнформатикаИсторияКультураЛитератураЛогикаМатематикаМедицинаМеталлургияМеханикаОбразованиеОхрана трудаПедагогикаПолитикаПравоПсихологияРелигияРиторикаСоциологияСпортСтроительствоТехнологияТуризмФизикаФилософияФинансыХимияЧерчениеЭкологияЭкономикаЭлектроника






Пропускная и провозная способность






5.2.1 Пропускную способность линии следует принимать не более 40 пар поездов в час.

Для расчетов устройств электроснабжения, автоматики и телемеханики управления движением поездов пропускную способность линии следует увеличивать на 10%÷ 20 % исходя из учета перспективной интенсивности движения.

5.2.2 Максимальное число вагонов в поезде необходимо определять для каждого периода эксплуатации.

5.2.3 Пропускную и провозную способность линии на периоды эксплуатации следует определять в зависимости от расчетного числа пассажиров в поезде на перегоне, наиболее загруженном в часы максимальных перевозок (часы пик).

При определении размеров движения на линии в часы пик (число пар поездов в час и число вагонов в поезде) вместимость вагонов надлежит принимать из расчета, что все места для сидения заняты пассажирами и на 1 м2 свободной площади пола пассажирского салона размещается не более 4, 5 стоящих пассажиров (при необходимости, данный показатель определяется заказчиком, в рамках указанного норматива).

5.2.4 Пропускную способность, поперечные размеры проходов на участках пути движения пассажиров, число входов, эскалаторов, контрольно-пропускных пунктов, касс и кассовых автоматов следует определять расчетом по величине 15-минутного пассажирского потока в часы пик.

Пропускную способность участков пути следует принимать по таблице 5.2.1.

 

Таблица 5.2.1

Участок пути Ширина пути, м Пропускная способность, чел/ч, не более
Горизонтальный путь:    
одностороннее движение 1, 0  
двустороннее движение 1, 0  
Дверной проем 0, 8  
Касса с автоматизированным рабочим местом кассира (АРМ КБ) - *
Контрольный пункт:    
автоматический на входе 0, 6 **
то же, на выходе 0, 6  
Эскалатор 1, 0  
Лестница:    
одностороннее движение вверх 1, 0  
то же, вниз 1, 0  
двустороннее движение вверх и вниз 1, 0  
Примечания * Пропускная способность зависит от пропускной способности технологического оборудования АСОП и от применяемых видов средств оплаты проезда; **Пропускную способность уточнять по техническим условиям производителя на применяемую конструкцию АКП.

 

Величину 15-минутного пассажирского потока следует рассчитывать по максимальному пассажирскому потоку, ожидаемому в час пик, с учетом коэффициентов неравномерности их распределения в течение одного часа:

а) для пересадочных и временно конечных станций, для станций, расположенных вблизи железнодорожных и автобусных вокзалов и стадионов, в местах пересечения значительного количества линий городского транспорта, транспортно-пересадочных узлов, сосредоточения предприятий и учреждений – до 1, 4;

б) для остальных станций – до 1, 2.

Допускается проведение расчетов пассажиропотоков по региональным расчетным методикам.

5.2.5 Пропускная способность смежных участков пути движения пассажирских потоков на станции или переходе между станциями должна быть равнозначна или больше пропускной способности участка с ее минимальным значением.

На участках пути, являющихся путями эвакуации наружу или на смежную станцию, сужение поперечных размеров проходов не рекомендуется.

 

План и продольный профиль

5.3.1 При сопряжении прямых участков линии радиусы круговых кривых в плане должны быть не менее, м:

а) на главных и станционных путях - 600;

б) на соединительных путях - 150.

В трудных условиях величины радиусов могут быть уменьшены соответственно до 300 и 100 м.

5.3.2 Минимальную глубину заложения подземных сооружений следует принимать с учетом защиты верха строительных конструкций от промерзания, а также возможности устройства дорожного покрытия.

5.3.3 Расстояние от поверхности земли до верха конструкций подземной станции должно быть не менее толщины дорожного покрытия и теплоизоляционного слоя.

Над перегонными тоннелями, на участках пересечения магистральных улиц и дорог это расстояние следует принимать, как правило, не менее 3 м. В остальных местах допускается уменьшать расстояние при условии защиты тоннелей от промерзания и возможности устройства над ними дорожного покрытия.

5.3.4 Стрелочные переводы надлежит размещать на прямых участках пути с уклоном не более 5 ‰; в трудных условиях - с уклоном не более 10 ‰. Расстояние от начальных точек кривых в плане, а также от вертикальных кривых в профиле до центра стрелочного перевода - не менее 20 м. Расстояние от центра стрелочного перевода до начала платформы станции - не менее 25 м. Стрелочные переводы и перекрёстные съезды не должны располагаться на стыках пролётных строений.

5.3.5 Прямые и кривые участки главного пути в плане радиусом 2000 м и менее, а также составные круговые кривые разных радиусов следует сопрягать посредством переходных кривых, длины которых принимать по таблице 5.3.1.

 

Таблица 5.3.1

Главные пути Соединительные пути
Радиус кривой, м Возвышение наружного рельса, мм Длина переходной кривой, м Скорость движения поездов, км/ч, при непогашенном ускорении, м/с2 Радиус кривой, м Возвышение наружного рельса, мм Длина переходной кривой, м Скорость движения поездов, км/ч, при непогашенном ускорении, м/с2
-0, 4   +0, 4   +0, 7
  - - - -     - 0 - 60 -  
    20 - 30 -       - 0 - 60 -  
    20 - 40 -       - 0 - 60 -  
    20 - 50 -       - 0 - 60 -  
    30 - 70 -       - 0 - 60 -  
    40 - 80         - 0 - 60 -  
    50 - 80           0 - 60    
    60 - 60           0 - 60    
    60 - 80           0 - 60    
    60 - 80           0 - 60    
    60 - 80           0 - 60    
Примечания 1 Переходные кривые разбиваются по радиоидальной спирали. 2 На главных путях при возможности следует принимать большие значения переходных кривых. 3 В трудных условиях на главных путях длины переходных кривых и величины возвышения наружного рельса следует определять расчетом.

 

5.3.6 На кривых участках пути, за исключением станционных путей в пределах постоянных служебных платформ, стрелочных переводов и съездов, путей в границах платформ станций, укладку наружного рельса следует предусматривать с возвышением над внутренним рельсом.

Возвышение наружного рельса в тоннелях и на закрытых наземных участках необходимо предусматривать путем поднятия наружного рельса на половину требуемой величины возвышения и опускания на ту же величину внутреннего рельса, на открытых наземных участках - путем поднятия наружного рельса на полную величину требуемого возвышения.

При расположении кривой частично в тоннеле и на открытом наземном участке возвышение наружного рельса устраивается так же, как на кривых, расположенных в тоннелях.

Отвод возвышения наружного рельса надлежит предусматривать на протяжении переходной кривой, а при отсутствии переходной кривой - на круговой кривой и на прямом участке, примыкающем к круговой кривой, по расчету.

Уклон отвода возвышения наружного рельса следует принимать не более 2 ‰ в сумме на обе рельсовые нити, для трудных условий - 3 ‰.

Величина возвышения наружного рельса приведена в таблице 5.3.1.

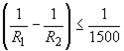
5.3.7 Смежные круговые кривые на главных путях допускается сопрягать без переходных кривых при условии

  (5.1)

 

где R1 и R2 - радиусы первой и второй кривых.

На соединительных путях прямые и кривые участки допускается сопрягать без переходных кривых.

Длина круговой кривой с постоянной величиной возвышения наружного рельса должна быть не менее 15 м.

Длину прямого участка, не имеющего возвышения наружного рельса, следует принимать не менее, м:

а) на главных путях - 20, в трудных условиях - 15;

б) на соединительных путях - 15.

5.3.8 Габариты приближения строений и расстояния между осями смежных путей следует принимать по ГОСТ 23961.

5.3.9 Продольный уклон подземных и закрытых наземных участков линий надлежит принимать не менее 3‰. В обоснованных случаях допускается располагать отдельные участки линий на горизонтальной площадке. При этом продольный уклон дна водоотводного лотка следует принимать не менее 3‰.

Продольный уклон подземных и закрытых наземных участков линий следует принимать не более 40‰.

В трудных условиях на одном или двух смежных подземных и закрытых наземных участках общей протяженностью не более 1500 м, которые разделены станцией или перегоном протяженностью до 500 м, допускается принимать продольный уклон не более 45‰ с учетом уклона отвода возвышения наружного рельса при его наличии. При необходимости на этих участках скорость движения поездов следует ограничивать с применением технических средств.

Станционные пути, предназначенные для оборота и отстоя поездов, необходимо располагать на уклоне 3‰ с подъемом к станции.

Сопряжение двух элементов продольного профиля, направленных в разные стороны с уклонами, превышающими 5‰, надлежит выполнять элементом профиля с уклоном не более 5‰.

Прямолинейные смежные элементы продольного профиля при алгебраической разности значений уклонов, равной или превышающей 2‰, следует сопрягать в вертикальной плоскости круговыми кривыми радиусами: 3000 м - на главных путях у станции; 5000 м - на главных путях перегонов; 1500 м - на соединительных путях. Для трудных условий допускается уменьшать радиусы вертикальных кривых на главных путях у станций до 2000 м, на перегонах - до 3000м.

Длину элемента продольного профиля необходимо принимать не менее расчетной длины поезда на перспективу, за исключением нескольких смежных элементов, направленных в одну сторону с алгебраической разностью значений уклонов менее 2‰, сумма длин которых составляет не менее расчетной длины поезда на перспективу.

Длину прямой вставки между смежными кривыми следует принимать не менее 50 м.

5.3.10 На мостах и эстакадах надлежит принимать такие же сочетания плана и продольного профиля, как на других участках линии.

5.3.11 На станциях с путевым развитием для оборота и отстоя поездов следует предусматривать один или два станционных пути.

Длину станционного пути необходимо определять как расстояние от центра стрелочного перевода до бруса упора.

Длина станционного пути для оборота поездов и отстоя одного состава в ночное время должна быть на 100 м - для подземных станций и 135 м - для открытых и приравненных к ним наземных и надземных больше длины поезда в перспективе.

Длину станционного пути для оборота поездов и отстоя в ночное время нескольких составов следует определять как сумму длин составов в перспективе и расстояний, м:

а) между составами - 5;

б) от состава до бруса упора - 7, при наличии ПТО – 15;

в) от центра стрелочного перевода до первого состава ночного отстоя – 35.

Длину станционного пути за временно конечной станцией, предназначенного для отстоя составов, следует определять как сумму длины состава в перспективе и расстояний, м:

а) между составами - 5;

б) от состава до бруса упора - 7;

в) дополнительно, при противошерстном движении поездов по стрелочному переводу на станционный путь - 47, при пошерстном движении - 22.

Длина станционного пути за временно конечной станцией на последующем продлении главного пути должна быть кратной 12, 5 м.

Длина предохранительного пути должна быть не менее 135 м, пути, не используемого для указанной цели, - не менее 47 м.

При применении других схем станционных путей для оборота и отстоя поездов необходимо соблюдать указанные выше расстояния.

5.3.12 На участке станционных путей, предназначенных для оборота поездов, следует располагать служебную платформу, длина которой должна на 11 м превышать максимальную расчетную длину поезда. Начало платформы следует принимать на расстоянии 25, 6 м от центра стрелочного перевода, ширину 1100 мм, высоту - 1100 мм от уровня головок рельсов на прямых участках (на кривых – по расчету).

Служебная платформа по всей длине должна иметь ограждение со стороны поезда высотой не менее 1100 мм с разрывами напротив дверей вагонов. Ограждение должно располагаться на расстоянии не менее 100 мм от края платформы и обеспечивать безопасный зазор при открытых дверях вагона. Для спуска с платформы в торцах следует предусматривать лестницы 2-го типа шириной не менее 500 мм из негорючих материалов с ограждением высотой 1100 мм.

При двух станционных путях платформу следует размещать между путями, при одном пути – с одной стороны пути.

При обороте поездов с использованием главного пути временно конечной станции в тоннеле следует предусматривать временную служебную платформу, демонтируемую при продлении линии.

В тупиках надлежит располагать мусоросборник.

5.3.13 В тупике пункта технического обслуживания (ПТО) по оси каждого станционного пути следует предусматривать смотровую канаву.

Размеры канавы надлежит принимать, м:

а) ширина - 1, 2;

б) длина между нижними ступенями схода - на 2 м больше максимальной расчетной длины поезда;

в) длина схода в плане - 1, 5;

г) глубина от уровня головки рельсов в однопутных тоннелях кругового очертания - 1, 2; в тоннелях прямоугольного очертания и двухпутных тоннелях кругового очертания - 1, 4.

Допускается смотровую канаву размещать за зоной оборота подвижного состава. Служебная платформа в этом случае может не предусматриваться, при этом предусматриваются служебные мостики.

В тупиках, временно используемых для оборота и отстоя подвижного состава, смотровую канаву не предусматривать.

5.3.14 В перегонных тоннелях внутренним диаметром 5, 2 м и менее, со стороны, противоположной контактному рельсу, следует располагать пешеходную дорожку для прохода обслуживающего персонала высотой 0, 2 м от уровня головок рельсов по ГОСТ 23961. Пешеходную дорожку допускается прерывать через 300 – 350 м на длину до 30 м для размещения покилометрового запаса рельсов.


Поделиться с друзьями:

mylektsii.su - Мои Лекции - 2015-2026 год. (0.728 сек.)Все материалы представленные на сайте исключительно с целью ознакомления читателями и не преследуют коммерческих целей или нарушение авторских прав Пожаловаться на материал