Студопедия

Главная страница Случайная страница

КАТЕГОРИИ:

АвтомобилиАстрономияБиологияГеографияДом и садДругие языкиДругоеИнформатикаИсторияКультураЛитератураЛогикаМатематикаМедицинаМеталлургияМеханикаОбразованиеОхрана трудаПедагогикаПолитикаПравоПсихологияРелигияРиторикаСоциологияСпортСтроительствоТехнологияТуризмФизикаФилософияФинансыХимияЧерчениеЭкологияЭкономикаЭлектроника






Общие свойства

Словосочетание «полимерные трубы» не сходит со страниц тематических журналов, звучит во время семинаров и круглых столов. Но речь, как правило, идет либо о конкретной торговой марке, либо в лучшем случае — о классе труб. А хочется знать всё и сразу.

 


Вот я и предлагаю поговорить сразу о всех полимерных трубах, применяемых в системах отопления и внутреннего водопровода. Сравнить их между собой, найти все плюсы и минусы, понять, какие трубы в каких случаях лучше. Давайте попробуем. Смотреть на все будем глазами не производителя, не продавца, а проектировщика. И опираться на нормативные документы. Полимерным трубам у нас в стране посвящен ГОСТ 52134–2003 «Трубы напорные из термопластов и соединительные детали к ним для систем водоснабжения и отопления», и все графики, которые вы увидите в статье — из этого ГОСТа.

 

Термины и определения

 

Разговор этот начнем с определения терминов. Это погружение в теорию нам нужно для лучшего понимания материала. Глубоко погружаться в науку мы не будем. Более того, всё, о чем пойдет речь, я очень упростил. Химики и технологи надо мной, возможно, посмеются, но для понимания нам будет в самый раз. Как явствует из названия, полимерные трубы изготовлены из полимеров.

 

Полимер — вещество, молекулы которого состоят из повторяющихся «мономерных звеньев». Молекулы полимеров еще называют макромолекулами. А «мономерные звенья» — мономерами. Пример — макромолекулы полиэтилена состоят из мономеров (молекулярных звеньев этилена). Даже из названия все понятно. Мономерные звенья, как правило, состоят из атомов углерода и водорода. Молекулы полимеров могут быть составлены из одинаковых мономеров.

 

Тогда этот полимер называется «гомополимер». А могут — из повторяющихся, но разных. В этом случае они называются «сополимерами». Пример — полипропиленовые трубы для отопления чаще всего изготавливаются не из полипропилена (полимер пропилена), а из сополимера пропилена с этиленом. Есть разные технологии полимеризации, и продукты полимеризации называются по-разному. Пример — полиэтилен высокого (ПВД) и низкого (ПНД) давления. Полимер может быть создан в одном виде, а потом изменен различными физическими и химическими методами. Пример — «сшитый» полиэтилен.

 

Общие свойства

 

Трубы из полимерных материалов имеют общие свойства, о которых мы все наслышаны. Как положительные (химическая стойкость, долговечность, гладкость, то есть низкий коэффициент шероховатости, малый вес), так и отрицательные (большой коэффициент теплового расширения, горючесть).

 

 

Рис. 1. Молекула этилена

 

Очевидно, что этими свойствами обладают все трубы, о которых пойдет речь. Да и вообще все полимерные трубы. Теперь давайте поговорим о самих материалах. Важно! Все, что касается процесса полимеризации полиэтилена, в полной мере относится ко всем полимерам.

 

 

Рис. 2. Превращение этилена в полиэтилен

 

Полиэтилен (ПЭ, PE)

 

Есть газ — этилен, молекула которого выглядит вот так (рис. 1). Два атома углерода и четыре водорода. Атомы углерода соединены между собой двойной связью. Если мы разорвем каким-либо образом одну из связей — молекулы этилена получат возможность соединиться в цепочку. Им, по большому счету, все равно, какие связи устанавливать. В итоге получим молекулу полиэтилена (рис. 2), состоящую из молекул этилена, соединенных между собой.

 

 

Рис. 3. Кристаллическая (А) и аморфная (Б) области молекулы полиэтилена

Как думаете, сколько в молекуле полиэтилена мономерных звеньев? 10? 100? А вот и нет, счет идет на десятки и сотни тысяч. Эти цепочки где-то переплетаются между собой, где-то выстраиваются в кристаллоподобные структуры, которые называются кристаллитами, где-то просто сворачиваются клубочком (рис. 3). В материале всегда есть и аморфные области, и кристаллические. Чем больше кристаллических — тем более плотным и прочным становится материал, но и менее пластичным.

 

Изменяя условия полимеризации, мы меняем соотношение кристаллитов и аморфных областей, тем самым получая полиэтилены разных марок: PE-63, PE-80, PE-100. Но связи связям — рознь. Связь «углерод– углерод» в цепочке самая прочная, «углерод–водород» — уже послабее. А связи между соседними молекулярными цепочками самые слабые. Они и обуславливают пластичность материала. При нагревании полиэтилена энергии этих связей становится недостаточно, цепочки начинают перемещаться друг относительно друга и материал «течет». «Течет» не в том смысле, что плавится.

 

 

Рис. 4. Эталонные кривые длительной прочности PE-63

 

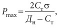
Просто он уже не может держать нагрузку, что прекрасно видно на рис. 4. Давайте рассмотрим его поподробнее. По оси абсцисс откладывается время до разрушения трубы, по оси ординат — напряжение в стенке трубы (его еще называют кольцевым напряжением и обозначают символом σ). Каждая кривая соответствует определенной температуре. Наглядно видно, что при температуре 50 °C и кольцевом напряжении в 5 МПа труба служит не более 200 ч. Давление Pmax [МПа] внутри трубы с кольцевым напряжением σ связано формулой:

 

 

где Дн — наружный диаметр трубы; Ст — толщина стенки трубы. Если мы рассматриваем трубу 20 × 2, то наши 5 МПа кольцевого напряжения станут 1, 1 МПа давления внутри трубы. При определении рабочего давления мы должны еще учесть коэффициент запаса и коэффициент снижения давления, но в данном повествовании мы не будем это рассматривать — нам сегодня важна суть, а не детали.

 

Давайте еще раз посмотрим на диаграмму. Я вижу, что 25 лет труба служит при температуре 40 °C или ниже. А вы видите? Напомню, что действующая нормативная документация определяет минимальный срок службы трубопроводов в 25 лет для горячей воды и в 50 лет — для холодной. Отличный материал полиэтилен: дешевый, прочный, химически нейтральный, долговечный, морозостойкий. Но ни для горячей воды, ни для отопления никак не годится.

 

Обратите внимание на слово «морозостойкий». Полиэтиленовые трубы — самые морозостойкие трубы из полимерных. До –40 °C, а некоторые и до –70 °C, чувствуют себя отлично. А значит, проблем с перевозкой, погрузкой/ разгрузкой и монтажом не будет даже в районах Крайнего Севера. Ну, с монтажом, скорее, теоретически. А вот практически сварить трубу на морозе невозможно — слишком быстро она остывает, проще поставить отапливаемую палатку и в ней варить.

 

Что еще можно сказать о полиэтиленовых трубах? Это самые распространенные из пластмассовых труб благодаря низкой стоимости сырья. Изготавливаются — из полиэтилена низкого давления (ПНД), его еще называют полиэтиленом высокой плотности (ПЭ-ВП, HD-PE). Используются — в системах холодного водоснабжения (класс ХВ, ГОСТ 52134–2003*). Также применяются в системах дренажа, канализации (безнапорной/напорной) и технологических трубопроводах (учитывать температурные ограничения!).

 

Есть еще трубы из полиэтилена высокого давления (ПВД), но чаще они используются электриками. Кроме того, из них делают обсадные трубы для скважин. Соединяются полиэтиленовые трубы сваркой (стыковой, раструбной и электромуфтовой) и механически — компрессионными фитингами. Цифра в наименовании полиэтилена (63, 80 и 100) — это показатель минимальной длительной прочности, или MRS, умноженный на 10. То есть у PE-63 MRS = 6, 3 МПа.

 

MRS показывает, при каком напряжении в стенке трубы (при 20 °C) она прослужит 50 лет. Больше цифра — выше прочность и, значит, можно делать более тонкую стенку трубы. Самый главный недостаток полиэтилена — низкая термостойкость. Что мы можем сделать с полиэтиленом, чтобы увеличить его термостойкость? Хочется усилить каким-то образом связи между соседними молекулярными цепочками.

 

Сшитый полиэтилен (ПЭ-С, PE-X)

 

Самый радикальный способ — связать их между собой химической связью. Для этого можно отсечь молекулы водорода, после чего атомы углерода свяжутся между собой (рис. 5). Получится «сшитый» полиэтилен (PE-X) и водород. Водород улетучится — PE-X останется. Это кристаллоподобный материал. Если будут «сшиты» все атомы углерода — степень сшивки 100 %. Если половина — 50 %.

 

 

Рис. 5. «Сшивка» полиэтилена

 

Чем больше степень сшивки — тем прочнее, но и жестче труба. При 100 % сшивке ее уже практически не согнуть. Что дает нам эта кристаллоподобность? Вы, наверное, слышали об «эффекте памяти» PE-X-трубы. Если не слышали — расскажу (сможете потом друзьям фокусы показывать). Суть в том, что происходит сшивка уже готовой трубы, и идеальная круглая форма теперь будет «зашита» в трубу навсегда.

 

Мы можем хорошенько поиздеваться над трубой: поломать ее, сплющить трактором и т.д. Если мы потом нагреем ее до прозрачности, то труба восстановит свою идеальную первоначальную форму. С другой стороны — кристаллоподобность делает невозможной сварку PE-X труб, да и клеятся они плохо. Так что соединять трубы мы можем только при помощи механических соединителей — фитингов.

 

Для малых диаметров у ряда производителей есть полимерные фитинги. Но в основном они латунные. Да не из простой латуни, а из стойкой к вымыванию цинка (если мы говорим о качественной продукции). Либо — покрытой слоем никеля. Дорогое удовольствие. На больших диаметрах фитинги становятся поистине золотыми. Именно это я и считаю главным недостатком PE-X-труб. Ну, а что там с характеристиками?

 

Смотрим график (рис. 6). Наглядно видно, насколько изменились свойства полиэтилена. Труба стала не только более термостойкой, но и более прочной при низких температурах. Труба уже спокойно служит 25 лет при 80 °C. А год может прослужить и при 110 °C. Безусловно, труба годится и для ГВС, и для отопления (все классы эксплуатации по ГОСТ 52134). Существуют разные технологии получения сшитого полиэтилена.

 

 

Рис. 6. Эталонные кривые длительной прочности PE-X

 

Его можно облучать ускорителем элементарных частиц — получим PE-Xc. Можно добавить некоторые химикаты, тогда получим PE-Xa или PE-Xb. Вы с легкостью найдете кучу статей, в которых авторы доказывают преимущества разных вариантов сшивки. Но я считаю, что точку в этом споре поставил ГОСТ 52134. Он ввел требование о минимальной степени сшивки для каждого из видов: PE-Xa (пероксидная) — 70 %; PE-Xb (силановая) — 65 %; PE-Xc (радиационная) — 60 %.

 

После чего все их характеристики уравнял. Как раз эти характеристики вы видели на диаграмме. А вот по морозостойкости достоверных данных мне найти не удалось. Разве что рекомендации не монтировать PE-X трубы при температурах ниже –15 °C. Сшитый полиэтилен — отличный материал. Но технология производства трубы дороговата. Тут или ускоритель нужен, или паровая баня, или высокая точность поддержания самого процесса. А это деньги, и немалые. Хочется упростить и удешевить.

 

Термостойкий полиэтилен (ПЭ-РТ, PE-RT)

 

Что еще можно сделать? Можно как следует спутать молекулярные цепочки. Попробуйте расчесать спутанные длинные волосы. Так и тут. Идея проста: на этапе полимеризации добавить какое-нибудь вещество, которое сделает молекулярную цепочку неровной (рис. 7). Эти неровности и будут удерживать макромолекулы от движения друг относительно друга, что и повысит термостойкость полимера.

 

 

Рис. 7. Прививка при полимеризации

 

Вещество это называется прививкой. В качестве добавки выступают октен или бутен. Сам полиэтилен становится термостойким, его еще называют PE-RT. Что в итоге получили? Дорогого оборудования уже не нужно. Теперь смотрим на графики (рис. 8). Обратите внимание, есть два типа PE-RT. PE-RT II более новый и совершенный материал. Судя по графикам, я бы назвал PE-X и PE-RT II близнецами. У PE-RTесть еще одно важное свойство — он может быть утилизирован и повторно использован.

 

 

Рис. 8. Эталонные кривые длительной прочности PE-RT тип I и тип II

 

Согласен, для России — не аргумент. А вот для стран Европы, которые изо всех сил борются со строительным мусором, этот фактор если не решающий, то очень важный. А еще PE-RT-трубы можно сваривать. На сегодняшний день достаточно мало представлено фитингов PE-RT под сварку, в основном предлагают механические фитинги. Почему — не знаю. Возможно, рынок затоварен фитингами, произведенными для PE-X, поэтому они дешевле.

 

Главное, что PE-RT-фитинги есть. И они точно дешевле металлических. С морозостойкостью PE-RT-труб ситуация не однозначная. У многих производителей проскакивают фразы типа «не трескается до –50 °C», но достоверных данных я не нашел. Термостойкий полиэтилен PE-RT II — отличный материал. Возможно, со временем он вовсе вытеснит PE-X. Ведь для того он и задуман.

 

Полипропилен (ПП, PP)

 

Кроме полиэтилена есть и другие замечательные материалы. Один из них — полипропилен, который получается полимеризацией пропилена. Структура его молекулы сложнее (рис. 9), чем у этилена, за счет этого и связи между молекулярными цепочками попрочнее. Показанный «кусочек» CH3 играет ту же роль, что и прививка у PE-RT. Если полимеризуем чистый пропилен, то получим гомополимер ПП-Г (PP-H).

 

 

Рис. 9. Макромолекула PP-Н

 

Это прочный и термостойкий материал, но он становится хрупким уже при температуре –5 °C. Соответственно, работать с трубами из PP-H зимой — сущее наказание. А в эксплуатации труба хоть куда: применима как в отоплении, так и в горячем и холодном водоснабжении. На практике из PP-H производят канализационные трубы. Для повышения морозостойкости при полимеризации добавляют этилен.

 

Реакцию полимеризации проводят по-разному, и на выходе получают либо полипропилен-блок-сополимер ПП-Б (PP-B), в котором молекулы пропилена и этилена чередуются в определенном порядке, либо рандом-сополимер ПП-Р (PP-R), в котором молекулы пропилена и этилена чередуются беспорядочно. PP-B менее прочен: из него, как и из PP-H, делают канализацию. А вот PP-R — «то, что нужно».

 

Смотрим характеристики (рис. 10). Это более прочный материал, чем PE-X, но он и быстрее стареет. Соответственно, стенка полипропиленовой трубы должна быть толще. Если брать длительный срок эксплуатации — характеристики материалов похожи. Полипропилен — отличный материал. Прекрасно сваривается. Главное его достоинство — оптимальное соотношение цена/качество. Относительный недостаток — прямота и жесткость (во многих случаях этот недостаток превращается в достоинство).

 

 

Рис. 10. Эталонные кривые длительной прочности PP-R

 

Поливинилхлорид (ПВХ, PVC)

 

Есть у нас еще такой газ, как винилхлорид. Его тоже можно полимеризовать — получим поливинилхлорид (рис. 11). Гомополимер поливинилхлорида называется «непластифицированным поливинилхлоридом» (нечеловеческая фраза, согласен). Обозначается НПВХ (PVC-U). Смотрим характеристики (рис. 12). Он немного более термостоек, чем PE (максимальная рабочая температура — до +60 °C), но не такой морозостойкий (при температурах ниже –15 °C его нельзя ни монтировать, ни эксплуатировать).

 

 

Рис. 11. Макромолекула PVC-U

 

Трубы — только для холодного водоснабжения. Вы можете задать вопрос: «почему холодного? 60 °C держит же»… Отвечу: согласно табл. 26 ГОСТ 52134 труба должна быть рассчитана на максимальную и аварийную температуры. Труба из PVC-U не способна выдержать эти температуры ни по одному классу, кроме ХВ. Можно ли что-то сделать с поливинилхлоридом, чтобы он стал термостойким?

 

 

Рис. 12. Эталонные кривые длительной прочности PVC-U

 

Можно. Вы не поверите, но можно его… хлорировать. То есть, уже готовый PVC-U насытить хлором. Получим «хлорированный поливинилхлорид» или ХПВХ (PVC-C). Делается это в реакторе при повышенной температуре. Полимер становится более термостойким, не теряя при этом морозостойкости. В зависимости от способа проведения реакции получают два типа PVC-C: тип I и тип II.

 

Трубы из PVC-C I применяются для горячего и холодного водоснабжения, а из PVC-C II — еще и для систем отопления. Убедитесь сами (рис. 13). Что отличает трубы из PVC-U и PVC-C от описанных ранее? Сильной их стороной является пожарная безопасность. Чтобы воспламениться, этим трубам нужна температура в 482 °C — это самая высокая температура воспламенения среди полимерных труб.

 

 

Рис. 13. Эталонные кривые длительной прочности PVC-C тип I и тип II

 

При горении труба не плавится — обугливается. И нет горящих капель. В отличие от полиэтилена и полипропилена труба на воздухе не горит — затухает. Благодаря всему этому трубы из PVC-C можно использовать в водонаполненных системах спринклерного пожаротушения. Еще один несомненный плюс — низкая кислородопроницаемость. Это единственные из полимерных труб, которые без какой-либо дополнительной защиты можно использовать в системах отопления со стальными элементами.

 

Напомню, СНиП 41-01–2003 требует, чтобы кислородопроницаемость труб, применяемых в системах отопления со стальными элементами, была не выше 0, 1 г/(м3⋅ сут.). Высокая химическая стойкость к агрессивным жидкостям — еще один козырь труб из такого материала как PVC-C. В системах отопления и водопровода этот фактор значения не имеет, но если вы проектируете технологические трубопроводы — это ваш материал.

 

 

Табл. 1. Характеристики и особенности полимерных материалов для применимости их в различных системах

 

И нельзя не отметить устойчивость PVC-C-труб к воздействию ультрафиолета. Это тоже их уникальное качество. Соединения труб — раструбные, клеевые (холодная сварка). Сами трубы — прямые и жесткие. Отличный материал PVC-C: тут тебе и ГВС, и отопление, и пожаротушение к тому же. Да и PVC-U не плох. Казалось бы, хватит уже, куда еще. Ан нет, есть еще один.

 

Полибутен (ПБ, PB)

 

Последний (из распространенных) полимер, пригодный для наших целей — полибутен, полимер бутена, гомополимер. У этой молекулы крайне непростая структура, а мы с вами знаем: чем больше у молекулы «торчащих» частей, и чем они длиннее, тем это более термостойкий материал. Полибутен — не исключение. У этого материала несколько «самостей»: самое высокое значение MRS, благодаря чему у труб самые тонкие стенки при прочих равных условиях; самый низкий коэффициент теплопроводности; самый низкий коэффициент линейного расширения; это самый эластичный материал, а значит, и самые гибкие трубы. И характеристики вполне приличные, убедитесь сами (рис. 14).

 

 

Рис. 14. Эталонные кривые длительной прочности PB

 

Трубы из полибутена соединяются сваркой, раструбной и электромуфтовой. Морозостойкость у них вполне приличная. Во всех источниках про морозостойкость пишут так: «Его морозостойкость на 20–25 °C выше, чем у полипропилена». Значит, –40…–30 °C. А вот что роднит PB с PE и PP, так это кислородопроницаемость и боязнь ультрафиолетовых лучей. Удивительный материал полибутен — всем хорош, но совершенно не распространен на нашем рынке.

 

Скажу больше — если покопаться в Интернете, можно найти множество «страшилок» на тему несовершенства полибутеновых труб. Но никаких серьезных статей, описывающих недостатки этих труб, я не встречал. ГОСТ 52134 не накладывает ограничений на их применение. Мне кажется, все это маркетинговые игры, и полибутеновые трубы ничуть не менее замечательные, чем все остальные. А для желающих разобраться в вопросе поглубже рекомендую хорошую статью [1]. Однако, пора переходить к выводам.

 

Выводы:

 

В качестве первого — предлагаю вам сводную таблицу, в которой собрано все, о чем мы сегодня говорили (табл. 1). А в качестве второго вывода позвольте привести слова А. Я. Добромыслова*, услышанные мной на его семинаре, посвященном полимерным трубам: «Полимерные трубы — замечательные трубы. Если позволяют температура и пожарные требования, то я не знаю ни одного довода в пользу металлических труб».

 

 

<== предыдущая лекция | следующая лекция ==>
Задания к теме №22. Влияние глобальных и региональных процессов на изменения в праве. | Уровни.
Поделиться с друзьями:

mylektsii.su - Мои Лекции - 2015-2026 год. (2.335 сек.)Все материалы представленные на сайте исключительно с целью ознакомления читателями и не преследуют коммерческих целей или нарушение авторских прав Пожаловаться на материал