Студопедия

Главная страница Случайная страница

КАТЕГОРИИ:

АвтомобилиАстрономияБиологияГеографияДом и садДругие языкиДругоеИнформатикаИсторияКультураЛитератураЛогикаМатематикаМедицинаМеталлургияМеханикаОбразованиеОхрана трудаПедагогикаПолитикаПравоПсихологияРелигияРиторикаСоциологияСпортСтроительствоТехнологияТуризмФизикаФилософияФинансыХимияЧерчениеЭкологияЭкономикаЭлектроника






Элементы теории.

Исходные данные.

1. Характеристики вольтметра

а) тип детектора

б) характер входа

в) вид градуировки шкалы

Предполагается, сто спектр измеряемого напряжения не выходит за пределы полосы пропускания вольтметра.

2. Форма измеряемого напряжения.

 

Содержание пояснительной записки.

 

Блок схема измерения. Рисунки, поясняющие происхождение измеряемого напряжения через измерительный тракт вольтметра. Расчеты постоянной составляющей входного напряжения и характеристики измеряемых напряжений.

Элементы теории.

Применение электронных детекторных вольтметров для измерений различных напряжений.

Электронные детекторные вольтметры типа ВЗ предназначены для измерения синусоидального напряжения. Они являются одним из наиболее распространенных в лабораторной и инженерной практике приборов. Знание свойств и особенностей построения конкретного прибора позволяет существенно расширить область его применения. В частности, эти вольтметры можно применять и для измерений многих видов несинусоидальных периодических напряжений, для чего необходимо знать как характеристики формы измеряемого напряжения и значение его постоянной составляющей, так и характеристики используемого прибора: вид входа, тип детектора, градуировку шкалы, полосу рабочих частот.

Чаще всего интересует действующее значение напряжения, поэтому шкалы ВЗ в подавляющем большинстве проградуированы в действующих значениях синусоидального напряжения и лишь иногда - в амплитудных значениях синусоиды.

 

ИЗМЕРЕНИЕ СИНУСОИДАЛЬНЫХ НАПРЯЖЕНИЙ

 

При измерении синусоидального напряжения U1 (t)(рис.1) отсчет α по шкале вольтметра ВЗ, проградуированного в действующих значениях синусоиды, непосредственно равен действующему значению этого напряжения

α 1 = U1.Тогда

Если шкала вольтметра проградуирована в амплитудных значениях, то отсчет по шкале α в этом случае непосредственно равен амплитудному (максимальному) значению UlM. Тогда

Таким образом, для перевода отсчета в показание при измерении синусоидальных напряжений нет необходимости в знании схемы прибора и типа его входа. Достаточно знать градуировку шкалы.

Иногда частота измеряемого напряжения находится за пределами полосы его пропускания. В этом случае для нейтрализации частотной погрешности необходимо знать амплитудно-частотную характеристику (АЧХ) прибора.

Пусть, например, имеем вольтметр, АЧХ которого изображена на рисунке 1, и шкала которого проградуирована в действующих значениях синусоиды. Измеряется синусоидальное напряжение на частоте fx. Отсчет по шкале α x = 25В.

 
 

 

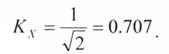
В нашем случае из АЧХ видно, что вольтметр «занижает» истинное значение, т.к. fx находится на падающем участке АЧХ за пределами полосы пропускания ∆ f вольтметра, определяемой по стандартному уровню

 

Из АЧХ определяем, что на этой частот α Х0 = 0.35

Таким образом, из-за частотной погрешности отсчет искажает соответствие между ним и истинным значением измеряемого напряжения. Это истинное значение легко определяется с учетом Кх

 

Для перевода отсчета в показание при измерениях несинусоидального напряжения необходимо знать особенности схемы вольтметра, а также особенности измеряемого напряжения.

На рис.2 показана структурная схема вольтметра с детектированием.

 
 

 


Рис.2 Структура вольтметра с детектированием.

 

Обозначения на схеме:

 

u(t) - измеряемое напряжение;

uдеm(t)- напряжение, проходящее на детектирование.

При открытом входе вольтметра

uдеm(t)= u(t)

 

При закрытом входе вольтметра

uдеm(t)= u(t)-u0= u'(t),

где u0 - постоянная составляющая u(t);

u'(t) - переменная составляющая u(t);

I = - выходной ток детектора, которому однозначно соответствует отсчет со шкалы вольтметра;

α - отсчет по шкале, проградуированной в действующих значениях синусоиды;

α А - в амплитудных значениях синусоиды.

1. ПЕРЕВОД ОТСЧЕТА В ПОКАЗАНИЕ ПРИ ИЗМЕРЕНИИ НЕСИНУСОИДАЛЬНЫХ НАПРЯЖЕНИЙ

1.1 Влияние характера входа вольтметра.

 

Если вход детектора открытый, то на детектирование (следовательно, и на измерение) проходит все входное напряжение uдеm(t)=u(t). Если же входдетектора закрытый, то на детектирование проходит только переменная составляющая входного напряжения

uдеm(t)= u(t)-u0= u'(t), (1.1)

и отсчет α (или α А) зависит только от переменной составляющей, которая определяет величину выходного тока детектора.

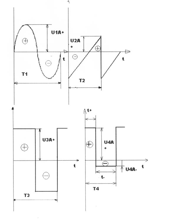
На рис.3 показаны формы широко используемых несинусоидальных напряжений.

 

Первое и третье напряжение не имеют постоянной составляющей. Постоянная составляющая второго напряжения

 
 

 

 


На рис.4 показана переменная составляющая u2(t), которая детектируется при закрытом входе вольтметра.

Рис.4 Напряжение u2(t) без постоянной составляющей.

 

Очевидно, что для получения формы переменной составляющей необходимо проделать простую операцию: перенести ось времен исходного напряжения на уровень постоянной составляющей. В нашем случае U'2A =U20. Как видно из рис.4 форма детектируемого напряжения при закрытом входе может существенно отличаться от входного напряжения вольтметра.

1.2 Влияние типа детектора.

В вольтметрах типа ВЗ в основном используется амплитудный, квадратичный и средневыпрямляющий детекторы.

Согласно с их названиями выходной ток I = каждого из детекторов однозначно определяется соответствующим значением синусоиды. Можно сказать, что вольтметр с амплитудным детектором «измеряет» положительную амплитуду, а с квадратичным и средневыпрямляющим эффективное и средневыпрямленное значение детектируемой синусоиды, так как отклонение указателя α (или α A) однозначно определяется током I = детектора.

Возможность измерений несинусоидальных напряжений с помощью вольтметров ВЗ определяется тем, что отличие формы детектируемого колебания от синусоидальной относительно мало сказывается на величине тока I =.

Поэтому с большой степенью приближения можно сказать, что независимо от формы детектируемого напряжения:

1. Вольтметр с амплитудным детектором измеряет положительную амплитуду детектируемого напряжения.

2. Вольтметр с квадратичным детектором измеряет эффективное значение детектируемого напряжения.

3. Вольтметр со средневыпрямленным детектором измеряет средневыпрямленное значение детектируемого напряжения.

2. ВЛИЯНИЕ ГРАДУИРОВКИ. ПЕРЕВОД ОТСЧЕТОВ В ПОКАЗАТЕЛИ

Обычно шкалы (указатели) ВЗ градуируются в действующих значениях синусоиды и реже в амплитудных (максимальных).

Имея отсчет с указателя вольтметра, можно сразу найти то значение детектируемого напряжения, которое «измеряет» детектор:

1. Для вольтметра с амплитудным детектором по отсчету α или α A имеем положительное амплитудное значение

2. Для вольтметра с квадратичным детектором имеем действующее значение

(2.2)

3. Для вольтметра со средневыпрямляющим детектором имеем средневыпрямленное значение

 

 

Определение иных значений продетектированного напряжения возможно, если известны коэффициенты амплитуды Кадет и формы Kфдеm этого напряжения по известным соотношениям

 

Эта часть задачи дополнительно усложняется, если вход вольтметра (детектора) закрытый, а измеряемое напряжение имеет постоянную составляющую U0, которая не проходит на детектирование из-за закрытого входа и uдeт(t) = u' (t).

Очевидно, что в этом случае:

При амплитудном детекторе

Ua+=U'a++U0 (2.5)

 
 

При квадратичном детекторе

(2.6)

где Ua+ и U - значения входного напряжения вольтметра.

При средневыпрямляющем детекторе общие выражения вида (2.5), (2.6) привести затруднительно, так как этот детектор дополнительно преобразует форму переменной составляющей, меняя полярность отрицательных частей периода, как показано на рис.4 пунктиром.

Значение U0 определяется различными вспомогательными методами, в том числе аналитическими.

Значения Kфдет и Кадет можно найти в справочной литературе по несинусоидальным токам. Если в распоряжении экспериментатора имеются вольтметры с детекторами всех перечисленных типов, то Кфдет и Кадет можно определить, поочередно измерив ими одно и то же значение напряжения u(t) и применив выражения (2.1 - 2.4).

Для облегчения перевода отсчета α или α A в показания можно воспользоваться таблицами на рис.5а и 56, в которых в сжатой форме представлено изложенное выше.

ПРИМЕР ИСПОЛЬЗОВАНИЯ ТАБЛИЦЫ

 

Пусть измеряется напряжение, содержащее постоянную составляющую. В распоряжении экспериментатора имеется вольтметр с амплитудным детектором и закрытым входом. Шкала вольтметра проградуирована в действующих значениях синусоиды и по шкале получен отсчет

α АДЗ = 10 В

Требуется определить действующее значение входного напряжения вольтметра. Как видно из условий задачи используется половина таблицы.

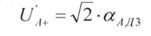
Непосредственно, по отсчету определяем положительный выброс UА + измеряемого напряжения над постоянной составляющей

 

Затем с учетом постоянной составляющей измеряемого напряжения находится амплитудное значение всего измеряемого напряжения

 

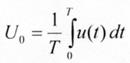
Uо - определяется либо расчетом по формуле

либо каким-то другим способом (например, вспомогательным измерением с помощью магнитоэлектрического вольтметра).

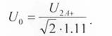
По найденному амплитудному значению UА из соотношения

находится интересующее нас действующее значение измеряемого напряжения.

Коэффициенты амплитуды и формы измеряемых напряжений можно получить разным путем.

Например, для наиболее распространенных напряжений эти коэффициенты можно найти в справочной литературе по несинусоидальным токам.

На рис.6 приведены характеристики некоторых из них.

Если в справочнике нет необходимой кривой, нужные коэффициенты рассчитываются исходя из их определений

 

Порядок перевода отсчета в показания.

Напряжение с постоянной составляющей.

 

 

Порядок перевода отсчета в показания.

Напряжение с постоянной составляющей.

 

 
 

 

 

 

 
 

 

 


Где U -действующее значение измеряемого напряжения u(t)

При этом:

 

И где U(t) - измеряемое напряжение (т.е. форма измеряемого напряжения).

Возможны и другие пути определения коэффициентов амплитуды и формы.

Наибольшие сложности возникают при использовании вольтметров со средневыпрямляющим детектором и закрытым входом для измерения несинусоидальных напряжений с постоянной составляющей.

 

 

 

<== предыдущая лекция | следующая лекция ==>
Определение размеров СЗЗ и ее корректировка с учетом розы ветров. | Задача 1. Примерный перечень задач к государственному экзамену
Поделиться с друзьями:

mylektsii.su - Мои Лекции - 2015-2026 год. (0.633 сек.)Все материалы представленные на сайте исключительно с целью ознакомления читателями и не преследуют коммерческих целей или нарушение авторских прав Пожаловаться на материал