Студопедия

Главная страница Случайная страница

КАТЕГОРИИ:

АвтомобилиАстрономияБиологияГеографияДом и садДругие языкиДругоеИнформатикаИсторияКультураЛитератураЛогикаМатематикаМедицинаМеталлургияМеханикаОбразованиеОхрана трудаПедагогикаПолитикаПравоПсихологияРелигияРиторикаСоциологияСпортСтроительствоТехнологияТуризмФизикаФилософияФинансыХимияЧерчениеЭкологияЭкономикаЭлектроника






Символьный и строковый типы данных

Оценка: ______________________

 

 

Борисоглебск, 2011


Символьный и строковый типы данных

Цели:

Образовательные: ввести понятие символьного и строкового типа данных, научить применять знания при решении задач, расширить кругозор в области программирования в среде Turbo Pascal 7.0.

Развивающие: продолжать развивать логическое и алгоритмическое мышление, умение работать по заданному алгоритму.

Воспитательные: прививать учащимся навык самостоятельности в работе, воспитывать интерес к информатике, как к учебному предмету.

Оборудование: презентация, мультимедийный проектор.

Распределение урока по времени:

Содержание урока Время
1. Организационный момент 2 минуты
2. Актуализация знаний 4 минуты
3. Объяснение нового материала 32 минуты
4. Домашнее задание 2 минуты

Ход урока.

I Актуализация знаний.

Учащимся задается вопрос, в какой форме представляется информация в компьютере? (в виде двоичных кодов)

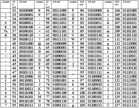
Наиболее распространено кодирование с использованием 8-ми битного кода (таблица ASCII), но сейчас уже можно встретить и кодирование с использованием 16-ти битного кода (таблица Unicode).

Слайд 1. ASCII (англ. American Standard Code for Information Interchange) — американский стандартный код для обмена информацией. Таблица ASCII состоит из двух частей. В первой части – латинского алфавита, знаков операций и т.д. Во второй части – национальный алфавит.

Кодовая таблица ASCII

 

Кодовая страница Windows-1251

 

I I Объяснение нового материала.

Слайд 2.

<== предыдущая лекция | следующая лекция ==>
Математические функции. | Системно-деятельностный подход — основа стандартов второго поколения
Поделиться с друзьями:

mylektsii.su - Мои Лекции - 2015-2026 год. (1.281 сек.)Все материалы представленные на сайте исключительно с целью ознакомления читателями и не преследуют коммерческих целей или нарушение авторских прав Пожаловаться на материал