Студопедия

Главная страница Случайная страница

КАТЕГОРИИ:

АвтомобилиАстрономияБиологияГеографияДом и садДругие языкиДругоеИнформатикаИсторияКультураЛитератураЛогикаМатематикаМедицинаМеталлургияМеханикаОбразованиеОхрана трудаПедагогикаПолитикаПравоПсихологияРелигияРиторикаСоциологияСпортСтроительствоТехнологияТуризмФизикаФилософияФинансыХимияЧерчениеЭкологияЭкономикаЭлектроника






Метод Эйлера

 

Этот метод является простейшим численным методом решения задачи Коши. Рассмотрим его на примере решения обыкновенного дифференциального уравнения первого порядка (1) с соответствующим начальным условием.

Расчетную формулу метода Эйлера можно получить, используя разложение функции и(х) в ряд Тейлора в окрестности некоторой точки xi:

Если приращение h мало (то есть h < < xi), то члены ряда, начиная со сла-гаемого, включающего h во второй степени, могут быть отброшены как малые величины. Тогда из (3) в первом приближении получим:

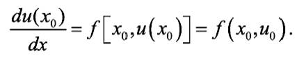
Воспользуемся формулой (4), применив ее к единственной известной из условия задачи точке x0. Найдем в x0 производную du(x0 )/dx, подставив (2) в (1):

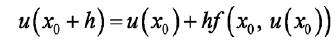
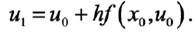
Подставив последнее выражение в (4) и полагая xi =x0, получим:

или, сокращая обозначения, в окончательном виде:

Таким образом, (4) при известном значении функции u0 = u(x0) в начальной точке x0 позволяет найти приближенное значение и1 = и(x1) при малом смещении h от x0. На рис. 1 графически показан начальный шаг решения методом Эйлера.

Решение можно продолжить, используя найденное значение функции и1 для вычисления следующего значения – и2. Распространяя эти рассуждения на последующие точки, запишем расчетную формулу метода Эйлера в виде

Из рис. 1 видно, что ошибка метода Эйлера на шаге связана с используемой линейной аппроксимацией и(х). Хотя тангенс угла наклона касательной к кривой точного решения в точке (x0, u0) известен и равен du(x0)/dx, он изменяется при смещении от x0 до x1. Следовательно, при сохранении начального наклона касательной на всем интервале h расчет и1 выполняется с погрешностью.

Ошибка метода Эйлера на каждом шаге имеет порядок h2, так как члены, содержащие h во второй и более высоких степенях, отбрасываются - см. (3) и (4). Уменьшая h можно снизить локальную ошибку на шаге.

<== предыдущая лекция | следующая лекция ==>
cтр. 214. | Разработка Кодекса Наполеона.
Поделиться с друзьями:

mylektsii.su - Мои Лекции - 2015-2026 год. (2.441 сек.)Все материалы представленные на сайте исключительно с целью ознакомления читателями и не преследуют коммерческих целей или нарушение авторских прав Пожаловаться на материал