Студопедия

Главная страница Случайная страница

КАТЕГОРИИ:

АвтомобилиАстрономияБиологияГеографияДом и садДругие языкиДругоеИнформатикаИсторияКультураЛитератураЛогикаМатематикаМедицинаМеталлургияМеханикаОбразованиеОхрана трудаПедагогикаПолитикаПравоПсихологияРелигияРиторикаСоциологияСпортСтроительствоТехнологияТуризмФизикаФилософияФинансыХимияЧерчениеЭкологияЭкономикаЭлектроника






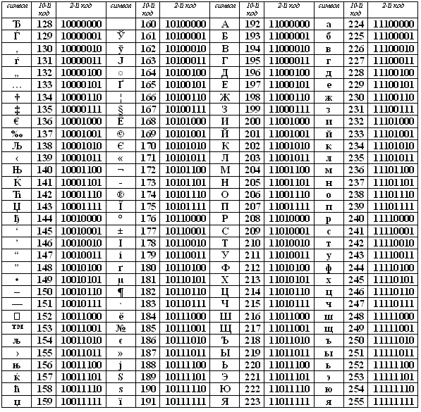
Вторая половина таблицы кодов ASCII






К сожалению, в настоящее время существуют пять различных кодировок кириллицы (КОИ8-Р, Windows. MS-DOS, Macintosh и ISO). Из-за этого часто возникают проблемы с переносом русского текста с одного компьютера на другой, из одной программной системы в другую.

Хронологически одним из первых стандартов кодирования русских букв на компьютерах был КОИ8 (" Код обмена информацией, 8-битный"). Эта кодировка применялась еще в 70-ые годы на компьютерах серии ЕС ЭВМ, а с середины 80-х стала использоваться в первых русифицированных версиях операционной системы UNIX.

От начала 90-х годов, времени господства операционной системы MS DOS, остается кодировка CP866 (" CP" означает " Code Page", " кодовая страница").

Компьютеры фирмы Apple, работающие под управлением операционной системы Mac OS, используют свою собственную кодировку Mac.

Кроме того, Международная организация по стандартизации (International Standards Organization, ISO) утвердила в качестве стандарта для русского языка еще одну кодировку под названием ISO 8859-5.

Наиболее распространенной в настоящее время является кодировка Microsoft Windows, обозначаемая сокращением CP1251.

С конца 90-х годов проблема стандартизации символьного кодирования решается введением нового международного стандарта, который называется Unicode. Это 16-разрядная кодировка, т.е. в ней на каждый символ отводится 2 байта памяти. Конечно, при этом объем занимаемой памяти увеличивается в 2 раза. Но зато такая кодовая таблица допускает включение до 65536 символов. Полная спецификация стандарта Unicode включает в себя все существующие, вымершие и искусственно созданные алфавиты мира, а также множество математических, музыкальных, химических и прочих символов.


Поделиться с друзьями:

mylektsii.su - Мои Лекции - 2015-2026 год. (1.699 сек.)Все материалы представленные на сайте исключительно с целью ознакомления читателями и не преследуют коммерческих целей или нарушение авторских прав Пожаловаться на материал