Студопедия

Главная страница Случайная страница

КАТЕГОРИИ:

АвтомобилиАстрономияБиологияГеографияДом и садДругие языкиДругоеИнформатикаИсторияКультураЛитератураЛогикаМатематикаМедицинаМеталлургияМеханикаОбразованиеОхрана трудаПедагогикаПолитикаПравоПсихологияРелигияРиторикаСоциологияСпортСтроительствоТехнологияТуризмФизикаФилософияФинансыХимияЧерчениеЭкологияЭкономикаЭлектроника






Двоичное кодирование текстовой информации






Начиная с конца 60-х годов, компьютеры все больше стали использоваться для обработки текстовой информации и в настоящее время большая часть персональных компьютеров в мире (и наибольшее время) занято обработкой именно текстовой информации.

Традиционно для кодирования одного символа используется количество информации, равное 1 байту, то есть I = 1 байт = 8 битов.

Для кодирования одного символа требуется 1 байт информации.

Если рассматривать символы как возможные события, то можно вычислить, какое количество различных символов можно закодировать:
N = 2 I = 2 8 = 256.

Такое количество символов вполне достаточно для представления текстовой информации, включая прописные и строчные буквы русского и латинского алфавита, цифры, знаки, графические символы и пр.

Кодирование заключается в том, что каждому символу ставится в соответствие уникальный десятичный код от 0 до 255 или соответствующий ему двоичный код от 00000000 до 11111111. Таким образом, человек различает символы по их начертаниям, а компьютер - по их кодам.

При вводе в компьютер текстовой информации происходит ее двоичное кодирование, изображение символа преобразуется в его двоичный код. Пользователь нажимает на клавиатуре клавишу с символом, и в компьютер поступает определенная последовательность из восьми электрических импульсов (двоичный код символа). Код символа хранится в оперативной памяти компьютера, где занимает один байт.

В процессе вывода символа на экран компьютера производится обратный процесс — декодирование, то есть преобразование кода символа в его изображение.

Важно, что присвоение символу конкретного кода — это вопрос соглашения, которое фиксируется в кодовой таблице. Первые 33 кода (с 0 по 32) соответствуют не символам, а операциям (перевод строки, ввод пробела и так далее).
Коды с 33 по 127 являются интернациональными и соответствуют символам латинского алфавита, цифрам, знакам арифметических операций и знакам препинания.
Коды с 128 по 255 являются национальными, то есть в национальных кодировках одному и тому же коду соответствуют различные символы.

К сожалению, в настоящее время существуют пять различных кодовых таблиц для русских букв (КОИ8, СР1251, СР866, Mac, ISO), поэтому тексты, созданные в одной кодировке, не будут правильно отображаться в другой.

В настоящее время широкое распространение получил новый международный стандарт Unicode, который отводит на каждый символ не один байт, а два, поэтому с его помощью можно закодировать не 256 символов, а N = 2 16 = 65536 различных символов.

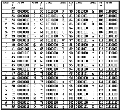
С развитием IBM PC международным стандартом стала таблица кодов ASCII:

Сегодня очень многие люди для подготовки писем, документов, статей, книг и пр. используют компьютерные текстовые редакторы. Компьютерные редакторы, в основном, работают с алфавитом размером 256 символов.

В этом случае легко подсчитать объем информации в тексте. Если 1 символ алфавита несет 1 байт информации, то надо просто сосчитать количество символов, полученное число даст информационный объем текста в байтах.

Пусть небольшая книжка, сделанная с помощью компьютера, содердит 150 страни; на каждой странице - 40 строк, в каждой строке - 60 символов. Значит страница содержит 40 х 60 = 2400 байт информации. Объем всей информации в книге: 2400 х 150 = 360 000 байт.

Обратите внимание! Цифры кодируются по стандарту ASCII в двух случаях - при вводе-выводе и когда они встречаются в тексте. Если цифры участвуют в высилениях, то осуществляется их преобразование в другой двоичный код.

Возьмем число 57.

При использовании в тексте каждая буква будет представлена своим кодом в соответсвии с таблицей ASCII. В двоичной системе - это 00110101 00110111.

При использовании в вычислениях, код этого числа будет получен по правилам перевода в двоичную систему и получим - 00111001.

 


Поделиться с друзьями:

mylektsii.su - Мои Лекции - 2015-2026 год. (5.792 сек.)Все материалы представленные на сайте исключительно с целью ознакомления читателями и не преследуют коммерческих целей или нарушение авторских прав Пожаловаться на материал