Студопедия

Главная страница Случайная страница

КАТЕГОРИИ:

АвтомобилиАстрономияБиологияГеографияДом и садДругие языкиДругоеИнформатикаИсторияКультураЛитератураЛогикаМатематикаМедицинаМеталлургияМеханикаОбразованиеОхрана трудаПедагогикаПолитикаПравоПсихологияРелигияРиторикаСоциологияСпортСтроительствоТехнологияТуризмФизикаФилософияФинансыХимияЧерчениеЭкологияЭкономикаЭлектроника






Обработка результатов. Полюса шкал на карточке размещены по определенному принципу:






Полюса шкал на карточке размещены по определенному принципу:

+ – + + – –

+ – + + – –

+ – + + – –

+ – + + – –

Здесь " –" соответствует негативно воспринимаемому полюсу качества, а " +" – позитивному. Пары качеств в каждой строке представлены в столбцах: 6–1; 2–4; 5–3 (например, " лицемерный – дипломатичный", " навязчивый – общительный", " высокомерный – гордый").

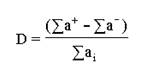
Направленность (выраженность), или диагностический коэффициент стереотипа (D) характеризует знак и величину общей эмоциональной ориентации субъекта по отношению к данному объекту.

Коэффициент определяется по формуле:

где ∑ а+ – сумма оценок всех положительных качеств; ∑ а-– сумма оценок всех отрицательных качеств; ∑ аi– общая сумма всех оценок.

Чем больше D с отрицательным знаком (когда преобладают высокие баллы по негативным качествам), тем выше интенсивность негативного стереотипа. Наоборот, чем больше D с положительным знаком (когда преобладают высокие баллы по позитивным качествам), тем выше интенсивность позитивного стереотипа. При D, близком к нулю, высока неопределенность (амбивалентность) отношения, когда респондент не отдает четкого предпочтения позитивному или негативному полюсу оценки.

Кроме абсолютных значений диагностических коэффициентов по каждому исследуемому параметру, полезно сравнить соотношение полученных коэффициентов. Например, для анализа самооценки можно использовать не абсолютный показатель диагностического коэффициента образа " Я", а сравнение его с коэффициентом для " идеала". Аналогичный подход возможен и при выделении иных вспомогательных показателей, в частности, показателя этнических предпочтений, который получается при сравнении образа типичного представителя какой-либо национальности с " идеалом". Для анализа этнической идентификации и межэтнической дифференциации сравниваются коэффициенты, полученные для образа " Я" и различных этнических групп (Павленко, Таглин, 1992).

 

3.6. Типы этнической идентичности

(Г.У.Солдатова, С.В.Рыжова)

Данная методическая разработка позволяет диагностировать этническое самосознание и его трансформации в условиях межэтнической напряженности. Один из показателей трансформации этнической идентичности – это рост этнической нетерпимости (интолерантности). Толерантность/интолерантность – главная проблема межэтнических отношений в условиях роста напряженности между народами – явилась ключевой психологической переменной при конструировании данного опросника. Степень этнической толерантности респондента оценивается на основе следующих критериев: уровня " негативизма" в отношении собственной и других этнических групп, порога эмоционального реагирования на иноэтническое окружение, выраженности агрессивных и враждебных реакций в отношении к других групп.

Типы идентичности с различным качеством и степенью выраженности этнической толерантности выделены на основе широкого диапазона шкалы этноцентризма, начиная от " отрицания" идентичности, когда фиксируется негативизм и нетерпимость по отношению к собственной этнической группе, и заканчивая национальным фанатизмом – апофеозом нетерпимости и высшей степенью негативизма по отношению к другим этническим группам.

Опросник содержит шесть шкал, которые соответствуют следующим типам этнической идентичности.

1. Этнонигилизм – одна из форм гипоидентичности, представляющая собой отход от собственной этнической группы и поиски устойчивых социально-психологических ниш не по этническому критерию.

2. Этническая индифферентность – размывание этнической идентичности, выраженное в неопределенности этнической принадлежности, неактуальности этничности.

3. Норма (позитивная этническая идентичность) – сочетание позитивного отношения к собственному народу с позитивным отношением к другим народам. В полиэтническом обществе позитивная этническая идентичность имеет характер нормы и свойственна подавляющему большинству. Она задает такой оптимальный баланс толерантности по отношению к собственной и другим этническим группам, который позволяет рассматривать ее, с одной стороны, как условие самостоятельности и стабильного существования этнической группы, с другой – как условие мирного межкультурного взаимодействия в полиэтническом мире.

Усиление деструктивности в межэтнических отношениях обусловлено трансформациями этнического самосознания по типу гиперидентичности, которая соответствует в опроснике трем шкалам:

4. Этноэгоизм – данный тип идентичностиможет выражаться в безобидной форме на вербальном уровне как результат восприятия через призму конструкта " мой народ", но может предполагать, например, напряженность и раздражение в общении с представителями других этнических групп или признание за своим народом права решать проблемы за " чужой" счет.

5. Этноизоляционизм – убежденность в превосходстве своего народа, признание необходимости " очищения" национальной культуры, негативное отношение к межэтническим брачным союзам, ксенофобия.

6. Этнофанатизм – готовность идти на любые действия во имя так или иначе понятых этнических интересов, вплоть до этнических " чисток", отказа другим народам в праве пользования ресурсами и социальными привилегиями, признание приоритета этнических прав народа над правами человека, оправдание любых жертв в борьбе за благополучие своего народа.

Этноэгоизм, этноизоляционизм и этнофанатизм представляют собой ступени гиперболизации этнической идентичности, означающей появление дискриминационных форм межэтнических отношений. В межэтническом взаимодействии гиперидентичность проявляется в различных формах этнической нетерпимости: от раздражения, возникающего как реакция на присутствие членов других групп, до отстаивания политики ограничения их прав и возможностей, агрессивных и насильственных действий против другой группы и даже геноцида (Солдатова, 1998).

В результате серии экспертных оценок и пилотажных исследований были отобраны 30 суждений – индикаторов, интерпретирующих конец фразы: " Я – человек, который…" Индикаторы отражают отношение к собственной и другим этническим группам в различных ситуациях межэтнического взаимодействия.


Поделиться с друзьями:

mylektsii.su - Мои Лекции - 2015-2026 год. (1.897 сек.)Все материалы представленные на сайте исключительно с целью ознакомления читателями и не преследуют коммерческих целей или нарушение авторских прав Пожаловаться на материал