Студопедия

Главная страница Случайная страница

КАТЕГОРИИ:

АвтомобилиАстрономияБиологияГеографияДом и садДругие языкиДругоеИнформатикаИсторияКультураЛитератураЛогикаМатематикаМедицинаМеталлургияМеханикаОбразованиеОхрана трудаПедагогикаПолитикаПравоПсихологияРелигияРиторикаСоциологияСпортСтроительствоТехнологияТуризмФизикаФилософияФинансыХимияЧерчениеЭкологияЭкономикаЭлектроника






Задача 6. для студентів спеціальності 5.05010101 – „Обслуговування програмних систем і комплексів”






ПАКЕТ ЗАВДАНЬ ДЛЯ КОНТРОЛЮ ЗНАНЬ З ДИСЦИПЛІНИ

„ЧИСЛОВІ МЕТОДИ”

для студентів спеціальності 5.05010101 – „Обслуговування програмних систем і комплексів”

Варіант №1

Час проведення контролю – 90-100 хвилин

Задача 1. Заокруглюючи число 0, 17153 до трьох значущих цифр, визначити його абсолютну та відносну похибки.

Задача 2. Оцінити абсолютну граничну похибку функції P(x, y, z)=4x2 – 2yz, якщо відомі абсолютні похибки даних x=0.2±0.01, y=2.42±0.004, z=7.21±0.05.

Задача 3. Знайти додатній наближений корінь рівняння x2-15=0, уточнюючи його методом простих ітерацій, з точністю ε =0.01.

Задача 4.

Х У Функцію, що задана таблицею, подати у аналітичному виді,
-3 -1 використовуючи інтерполяційну формулу Ньютона
-1 -3              
                 
                 

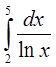
Задача 5.

Визначити наближене значення визначеного інтеграла:

а) - за формулою трапецій;

б) - за формулою Сімпсона.

 

Задача 6.

Застосовуючи числові методи розв’язування задачі Коші, розв’язати диференційне рівняння першого порядку методом Ейлера-Коші , y(0)=1, х є [0; 1].


Варіант №2

Час проведення контролю – 90-100 хвилин

Задача 1. Заокруглюючи число 2, 35482 до трьох значущих цифр, визначити його абсолютну та відносну похибки.

Задача 2. Оцінити абсолютну граничну похибку функції P(a, b, c)=7a + bc2, якщо відомі абсолютні похибки даних a=3.7±0.01, b=0.02±0.004, c=2.2±0.05.

Задача 3. Знайти додатній наближений корінь рівняння x5-3=0, уточнюючи його методом простих ітерацій, з точністю ε =0.01.


Поделиться с друзьями:

mylektsii.su - Мои Лекции - 2015-2026 год. (2.927 сек.)Все материалы представленные на сайте исключительно с целью ознакомления читателями и не преследуют коммерческих целей или нарушение авторских прав Пожаловаться на материал