Тема: Линейные отображения
ДЕ1.Абстрактная алгебра
1)Тема: Группы и подгруппы Группу по сложению образует множество …
| целых чисел
| | натуральных чисел
| | | натуральных чисел с нулем
| | | действительных чисел без нуля
| |
Тема: Дробно-рациональные функции
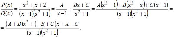
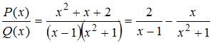
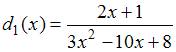
Разложение дробно-рациональной функции на простые дроби над полем вещественных чисел имеет вид … 
Решение: 
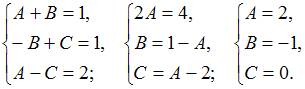
Получаем систему трех уравнений с тремя неизвестными: 
Тогда 
3)Тема: Основные алгебраические структуры В кольце квадратных матриц второго порядка единичный элемент … – это матрица

Тема: Линейные отображения
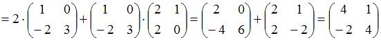
Пусть базис пространства Операторы и этого пространства заданы матрицами . Тогда матрица оператора равна 
Решение: 
Тема: Дробно-рациональные функции Разложение дробно-рациональной функции на простые дроби над полем вещественных чисел имеет вид … 
Тема: Линейные отображения Линейный оператор отображает базис в векторы: Тогда матрица оператора в этом базисе имеет вид … 
Решение:

Тема: Основные алгебраические структуры В кольце целых четных чисел единичный элемент …
| не существует
| Решение: В кольце целых четных чисел единичный элемент не существует.
Тема: Группы и подгруппы Группу по умножению образует множество …
| действительных чисел без нуля
| | действительных чисел
| | | целых чисел
| | | натуральных чисел с нулем
| | Решение: Группу образует множество действительных чисел без нуля с введенной операцией умножения чисел. Все остальные множества групп не образуют, так как, например, нуль не имеет обратного элемента.
Тема: Группы и подгруппы Операция «+» – сложения образует группу на множестве …
| целых четных чисел
| | натуральных чисел
| | | целых нечетных чисел
| | | действительных чисел без нуля
| | Решение: Множество целых четных чисел с введенной операцией сложения образует группу. Множество натуральных чисел не группа, так как, например, не имеет противоположного элемента. Множество целых нечетных не имеет нулевого элемента, как и множество действительных чисел без нуля.
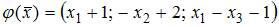
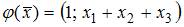
Тема: Линейные отображения Из заданных операторов пространства – пространства трехмерных векторов, линейным является оператор … 
Тема: Основные алгебраические структуры В кольце целых четных чисел единичный элемент …
| не существует
| равен
| | равен
| | равен
| | Решение: В кольце целых четных чисел единичный элемент не существует.
Тема: Основные алгебраические структуры Подалгеброй алгебры является совокупность …
Решение: Совокупности и не являются подалгебрами алгебры , так как, . Совокупность не является подалгеброй алгебры , так как множество не замкнуто относительно умножения. Совокупность является подалгеброй алгебры , так как и множество замкнуто относительно умножения.
Тема: Группы и подгруппы Подгруппой группы целых чисел с введенной операцией сложения является множество …
| четных целых чисел
| | нечетных целых чисел
| | | натуральных чисел
| | | натуральных чисел с нулем
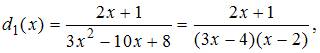
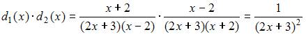
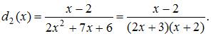
| | Тема: Дробно-рациональные функции Множество всех дробно-рациональных функций образует поле относительно обычных операций сложения и умножения таких функций. Пусть и , причем и Тогда числитель произведения равен …
Решение: Разложим на линейные множители знаменатели дробно-рациональных функций и : Тогда . То есть числитель произведения равен 1.
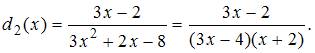
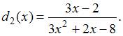
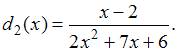
Тема: Дробно-рациональные функции Разложение дробно-рациональной функции на элементарные дроби имеет вид …
Решение: Выполним деление заданных полиномов «уголком»: Разложим знаменатель на простые множители: . Тогда

Тема: Группы и подгруппы Группу по умножению образует множество …
| действительных чисел без нуля
| | действительных чисел
| | | целых чисел
| | | натуральных чисел с нулем
| | Решение: Группу образует множество действительных чисел без нуля с введенной операцией умножения чисел. Все остальные множества групп не образуют, так как, например, нуль не имеет обратного элемента.
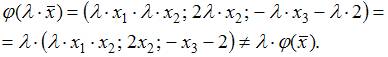
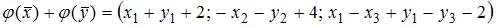
Тема: Линейные отображения Из заданных операторов пространства – пространства трехмерных векторов, линейным является оператор …
Решение: Линейным называется отображение удовлетворяющее условиям: , . Проверим на линейность оператор : , , Следовательно - первое условие не выполнено, а значит не является линейным оператором. Для оператора проверим выполнение второго условия: Условие не выполняется, значит не линейный оператор. Проверим выполнение второго условия для оператора : Следовательно, данный оператор не является линейным. Проверим выполнение условий линейности для оператора : , , Следовательно – первое условие выполнено. – второе условие выполнено. Поэтому является линейным оператором.
Тема: Основные алгебраические структуры Подалгеброй алгебры является совокупность …
Решение: Подалгеброй алгебры , называют совокупность , где , причем замкнуто относительно всех операций из не является подалгеброй алгебры , так как и не являются подалгебрами алгебры , так как, не совпадают множества заданных операций. является подалгеброй алгебры , так как и каждая главная операция является ограничением соответствующей операции на 
Тема: Основные алгебраические структуры является подалгеброй алгебры …
Решение: является подалгеброй алгебры , так как и каждая главная операция является ограничением соответствующей операции на .
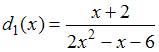
Тема: Дробно-рациональные функции Разложение дробно-рациональной функции на элементарные дроби имеет вид 
Тема: Линейные отображения Образом вектора при линейном преобразовании, заданном матрицей , является вектор …
Решение: Так как образ вектора определяется по формуле: , то .
Тема: Основные алгебраические структуры Подалгеброй алгебры является совокупность …
Решение: Подалгеброй алгебры , называют совокупность , где , причем замкнуто относительно всех операций из не является подалгеброй алгебры , так как и не являются подалгебрами алгебры , так как, не совпадают множества заданных операций. является подалгеброй алгебры , так как и каждая главная операция является ограничением соответствующей операции на 
Тема: Группы и подгруппы Мультипликативная группа рациональных чисел – это множество рациональных чисел …
| без нуля с операцией умножения
| | с операцией сложения
| | | с операцией умножения
| | | без нуля с отношением порядка
| | Решение: Мультипликативная группа определяется операцией умножения. Поэтому множество рациональных чисел с операцией сложения и множество рациональных чисел без нуля с отношением порядка не являются мультипликативными группами. Множество рациональных чисел с операцией умножения не является группой, так как для элемента 0 нет обратного относительно умножения. Тогда мультипликативная группа рациональных чисел – это множество рациональных чисел без нуля с операцией умножения.
Тема: Дробно-рациональные функции Множество всех дробно-рациональных функций образует поле относительно обычных операций сложения и умножения таких функций. Пусть и , причем и Тогда числитель суммы равен …
Решение: Разложим на линейные множители знаменатели дробно-рациональных функций и : Тогда То есть, числитель суммы равен .
Тема: Линейные отображения Линейное преобразование в базисе имеет матрицу . Тогда матрица этого оператора в базисе , где ; , имеет вид …
Решение: Матрица оператора в базисе вычисляется по формуле , где – матрица перехода от базиса к базису . Матрица перехода , тогда . Матрица линейного оператора . Тогда .
Тема: Группы и подгруппы Коммутативной группой является множество …
| квадратных матриц с введенной операцией сложения
| | невырожденных квадратных матриц с введенной операцией умножения
| | | натуральных чисел с 0, с введенной операцией сложения
| | | натуральных чисел с введенной операцией сложения
| | Решение: Множество квадратных матриц с введенной операцией сложения образует группу: ассоциативность выполняется, нейтральным элементом группы является нулевая матрица, для любой матрицы существует противоположная. Множество невырожденных квадратных матриц с введенной операцией умножения образует группу, но она не является коммутативной, т.к. не для любых матриц и выполняется равенство . Множество натуральных чисел (с 0, или без него) с введенной операцией сложения не является группой, т.к. нет противоположного элемента, например, у элемента .
Тема: Основные алгебраические структуры Для кольца множество , рассматриваемое с одной алгебраической операцией сложения, представляет собой …
| абелеву группу
| | поле
| | | целостное кольцо
| | | область целостности
| | Решение: Для кольца множество , рассматриваемое с одной алгебраической операцией сложения, представляет собой абелеву группу.
Тема: Линейные отображения Дано линейное преобразование векторов на плоскости , которое каждый вектор переводит в вектор той же длины, но противоположно направленный исходному. Тогда матрица этого преобразования имеет вид …
Решение: Так как и , то матрица такого линейного преобразования имеет вид .
Тема: Основные алгебраические структуры В кольце квадратных матриц второго порядка единичный элемент …
| – это матрица
| – это матрица
| | – это матрица
| | | не существует
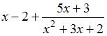
| | Тема: Дробно-рациональные функции Даны два полинома: и Тогда целая часть от деления полинома на полином равна …
Решение: Выполним деление заданных полиномов «уголком»: Тогда: То есть, целая часть от деления полинома на полином равна 
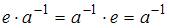
ема: Основные алгебраические структуры Элемент называется обратным к элементу в группе G с единичным элементом , если …
Тема: Группы и подгруппы Подгруппой группы целых чисел с введенной операцией сложения является множество …
| четных целых чисел
| | нечетных целых чисел
| | | натуральных чисел
| | | натуральных чисел с нулем
| | Решение: Данное подмножество должно быть замкнуто относительно операций сложения и взятия противоположного элемента. Этим условиям удовлетворяет, например, множество четных целых чисел.
Тема: Линейные отображения Линейным отображением пространства трехмерных векторов на пространство двумерных векторов является …
Решение: Линейным называется отображение удовлетворяющее условиям: , . Проверим на линейность отображение : , , Следовательно – первое условие не выполнено, а значит не является линейным отображением. Для отображения проверим выполнение второго условия: Условие не выполняется, значит не линейное отображение. Проверим выполнение второго условия для отображения : Следовательно, данное отображение не является линейным. Проверим выполнение условий линейности для отображения : , , Следовательно – первое условие выполнено. – второе условие выполнено. Поэтому является линейным отображением.
|