Студопедия

Главная страница Случайная страница

КАТЕГОРИИ:

АвтомобилиАстрономияБиологияГеографияДом и садДругие языкиДругоеИнформатикаИсторияКультураЛитератураЛогикаМатематикаМедицинаМеталлургияМеханикаОбразованиеОхрана трудаПедагогикаПолитикаПравоПсихологияРелигияРиторикаСоциологияСпортСтроительствоТехнологияТуризмФизикаФилософияФинансыХимияЧерчениеЭкологияЭкономикаЭлектроника






Почему сердечник трансформатора выполняют из электрически изолированных друг от друга пластин электротехнической стали?






a) для уменьшения массы сердечника;

b) для увеличения электрической прочности сердечника;

c) для уменьшения вихревых токов;

d) для упрощения конструкции трансформатора.

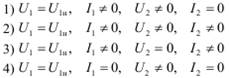
Выберите режим короткого замыкания трансформатора.


a) 1;

b) 2;

c) 3;

d) 4.


Что произошло с нагрузкой трансформатора, если ток первичной обмотки уменьшился?

a) осталась неизменной

b) увеличилась

c) уменьшилась

d) сопротивление нагрузки стало равным нулю.

Что нужно сделать, чтобы изменить направление вращения трехфазного асинхронного двигателя с фазным ротором?

a) изменить схему соединения статорной обмотки;

b) изменить схему соединения роторной обмотки;

c) поменять местами два линейных провода двигателя на клеммах трехфазной сети;

d) изменить схемы соединения статорной и роторной обмоток.

Фазы ротора трехфазного асинхронного двигателя включают:

a) параллельно;

b) последовательно;

c) параллельно и последовательно;

d) звездой.

В процессе работы электродвигателя в его обмотках выделяется:

a) энергия;

b) электроэнергия;

c) тепло;

d) другой ответ.

Что нужно сделать, чтобы нагрузить синхронный генератор реактивным индуктивным током?

a) увеличить ток возбуждения;

b) уменьшить ток возбуждения;

c) увеличить момент приводного двигателя;

d) уменьшить момент приводного двигателя.

Синхронные двигатели, работающие при постоянной частоте применяются…

a) в регулируемых приводах;

b) в нерегулируемых приводах;

c) в автоматизированных приводах;

d) другой ответ.


Поделиться с друзьями:

mylektsii.su - Мои Лекции - 2015-2026 год. (2.058 сек.)Все материалы представленные на сайте исключительно с целью ознакомления читателями и не преследуют коммерческих целей или нарушение авторских прав Пожаловаться на материал