Студопедия

Главная страница Случайная страница

КАТЕГОРИИ:

АвтомобилиАстрономияБиологияГеографияДом и садДругие языкиДругоеИнформатикаИсторияКультураЛитератураЛогикаМатематикаМедицинаМеталлургияМеханикаОбразованиеОхрана трудаПедагогикаПолитикаПравоПсихологияРелигияРиторикаСоциологияСпортСтроительствоТехнологияТуризмФизикаФилософияФинансыХимияЧерчениеЭкологияЭкономикаЭлектроника






Управление дебиторской задолженностью






Под текущей дебиторской задолженностью понимается задолженность юридических и физических лиц определенных сумм денежных средств и их эквивалентов предприятию, которое возникает в ходе нормального операционного цикла или предусмотрена к погашению в период до одного года.

В современной хозяйственной практике текущая задолженность классифицируется по следующим видам:

Наибольший объем текущей дебиторской задолженности предприятий приходится на задолженность покупателей за товары, работы, услуги. На эту задолженность покупателей приходится время 80–90%. Эффективное управление текущей дебиторской задолженностью связано в первую очередь с оптимизацией размера и обеспечением инкассации задолженности покупателей за товары, работы и услуги.

Формирование алгоритмов управления текущей дебиторской задолженностью, осуществляется по следующим основным этапам:

1. Анализ текущей дебиторской задолженности предприятия в предшествующем периоде. Основной задачей этого анализа является оценка уровня и состава текущей дебиторской задолженности предприятия в разрезе товарного (коммерческого) и потребительского кредита.

На первой стадии анализа с целью отражения реального состояния текущей дебиторской задолженности с позиций возможной ее инкассации в общей ее сумме выделяется чистая реализационная ее стоимость, которая представляет собой сумму текущей дебиторской задолженности за товары, работы и услуги, уменьшенную на сумму резерва сомнительных долгов.

Величина резерва сомнительных долгов определяется исходя из уровня фактической платежеспособности отдельных покупателей-дебиторов (прямой метод) или на основе соответствующей классификации дебиторской задолженности этого вида по срокам ее непогашения с установлением коэффициента сомнительности ее погашения по каждой группе (косвенный метод). Величина резерва сомнительных долгов при косвенном методе ее расчета определяется как сумма произведений текущей дебиторской задолженности соответствующей группы и коэффициента сомнительности ее погашения по данной группе.

На второй стадии анализа оценивается уровень дебиторской задолженности покупателей продукции и его динамика в предшествующем периоде. Оценку рекомендуется осуществлять на основе:

а) Коэффициента отвлечения оборотных активов в текущую дебиторскую задолженность за товары, работы и услуги. Он рассчитывается по следующей формуле:

где КОАдз —коэффициент отвлечения оборотных активов в текущую дебиторскую задолженность за товары, работы и услуги; ДЗВ — сумма текущей дебиторской задолженности

покупателей, оформленной векселями; ЧРСд3 — сумма чистой реализационной стоимости дебиторской задолженности;

РСД — сумма резерва сомнительных долгов; ОА — общая сумма оборотных активов предприятия.

б) Коэффициента возможной инкассации текущей дебиторской задолженности за товары, работы и услуги. Он определяется по следующей формуле:

где КВИдЗ —коэффициент возможной инкассации текущей дебиторской задолженности за товары, работы и услуги;

ДЗВ — сумма текущей дебиторской задолженности покупателей, оформленной векселем;

ЧРСдз — сумма чистой реализационной стоимости дебиторской задолженности; РСД — сумма резерва сомнительных долгов.

На третьей стадии анализа определяется средний период инкассации текущей дебиторской задолженности за товары, работы и услуги. Он характеризует роль этого вида дебиторской задолженности в фактической продолжительности финансового и общего операционного цикла предприятия. Расчет этого показателя производится по следующей формуле:

где ПИдз — средний период инкассации текущей дебиторской задолженности за товары, работы услуги (в днях); В — средняя сумма текущей дебиторской задолженности покупателей, оформленной векселем, в рассматриваемом периоде (расчитанная как средняя хронологическая);

дз — средняя сумма чистой реализационной стоимости дебиторской задолженности в рассматриваемом периоде (рассчитанная как средняя хронологическая);

О0 — сумма дневного оборота по реализации продукции в рассматриваемом периоде.

На четвертой стадии анализа оценивается состав дебиторской задолженности предприятия по отдельным ее «возрастным группам», т.е. по предусмотренным срокам ее инкассации.

На пятой стадии анализа определяют сумму эффекта, полученного от инвестирования средств в дебиторскую задолженность. В этих целях сумму дополнительной прибыли, полученной от увеличения объема реализации продукции за счет предоставления кредита, сопоставляют с суммой

дополнительных затрат по оформлению кредита и инкассации долга, а также прямых финансовых потерь от не возврата долга покупателями. Расчет этого эффекта осуществляется по следующей формуле:

ЭДЗДЗ — ТЗДЗ — ФПДЗ, где Эдз — сумма эффекта полученного от инвестирования средств в дебиторскую задолженность по расчетам с покупателями;

Пдз —дополнительная прибыль предприятия, полученная от увеличения объема реализации продукции за счет предоставления кредита;

ТЗдз —текущие затраты предприятия, связанные с организацией кредитования покупателей и инкассацией долга;

ФПд3 — сумма прямых финансовых потерь от не возврата долга покупателями.

Наряду с абсолютной суммой эффекта в процессе этого этапа анализа может быть определен и относительный показатель — коэффициент эффективности инвестирования средств в текущую дебиторскую задолженность. Он рассчитывается по следующей формуле:

где КЭдз — коэффициент эффективности инвестирования средств в дебиторскую задолженность по расчетам с покупателями;

Эдз — сумма эффекта, полученного от инвестирования средств в текущую дебиторскую задолженность по расчетам с покупателями в определенном периоде;

рп — средний остаток текущей дебиторской задолженности по расчетам с покупателями в рассматриваемом периоде.

Результаты анализа используются в процессе последующей разработки отдельных параметров кредитной политики предприятия.

2. Выбор типа кредитной политики предприятия по отношению к покупателям продукции. В процессе формирования принципов кредитной политики по отношению к покупателям продукции решаются два основных вопроса: а) в каких формах осуществлять реализацию продукции в кредит; б) какой тип кредитной политики следует избрать предприятию по каждой из форм реализации продукции в кредит.

Формы реализации продукции в кредит имеют две разновидности — товарный (коммерческий) кредит и потребительский кредит.

Различают три принципиальных типа кредитной политики предприятия по отношению к покупателям продукции — консервативный, умеренный и агрессивный.

Консервативный (или жесткий) тип кредитной политики предприятия направлен на минимизацию кредитного риска. Осуществляя этот тип кредитной политики предприятие не стремится к получению высокой дополнительной прибыли за счет расширения объема реализации продукции.

Умеренный тип кредитной политики предприятия ориентируется на средний уровень кредитного риска при продаже продукции с отсрочкой платежа.

Агрессивный (или мягкий) тип кредитной политики эторасширение объема реализации продукции в кредит, не считаясь с высоким уровнем кредитного риска. В процессе выбора типа кредитной политики должны учитываться следующие основные факторы:

общее состояние экономики, определяющее финансовые возможности покупателей, уровень их платежеспособности;

сложившаяся конъюнктура товарного рынка, состояние спроса на продукцию предприятия;

потенциальная способность предприятия наращивать объем производства продукции при расширении возможностей ее реализации за счет предоставления кредита;

правовые условия обеспечения взыскания дебиторской задолженности;

финансовые возможности предприятия в части отвлечения средств в текущую дебиторскую задолженность;

финансовый менталитет собственников и менеджеров предприятия, их отношение к уровню допустимого риска в процессе осуществления хозяйственной деятельности.

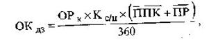
3. Определение возможной суммы оборотного капитала, направляемого в дебиторскую задолженность по товарному и потребительскому кредиту. Расчет необходимой суммы оборотного капитала, направляемого в дебиторскую задолженность, осуществляется по следующей формуле:

где ОКдз — необходимая сумма оборотного капитала, направляемого в дебиторскую задолженность;

ОРК — планируемый объем реализации Продукции в кредит;

КС/Ц— коэффициент соотношения себестоимости и цены продукции, выраженный десятичной дробью;

— средний период предоставления кредита покупателям, в днях;

— средний период просрочки платежей по предоставленному кредиту, в днях.

4. Формирование системы кредитных условий. В состав этих условий входят следующие элементы:

срок предоставления кредита (кредитный период);

размер предоставляемого кредита (кредитный лимит);

стоимость предоставления кредита (система ценовых скидок при осуществлении немедленных расчетов за приобретенную продукцию);

система штрафных санкций за просрочку исполнения обязательств покупателями.

Стоимость предоставления кредита характеризуется системой ценовых скидок при осуществлении немедленных расчетов за приобретенную продукцию. В сочетании со сроком предоставления кредита такая ценовая скидка характеризует норму процентной ставки за предоставляемый кредит, рассчитываемой для сопоставления в годовом исчислении. Алгоритм этого расчета характеризуется следующей формулой:

где ПСК — годовая норма процентной ставки за предоставляемый кредит;

ЦСН — ценовая скидка, предоставляемая покупателю при осуществлении немедленного расчета за приобретенную продукцию, в%;

СПК — срок предоставления кредита (кредитный период), в днях.

5. Формирование стандартов оценки покупателей и дифференциация условий предоставления кредита. В основе установления таких стандартов оценки покупателей лежит их кредитоспособность.

6. Формирование процедуры инкассации текущей дебиторской задолженности. В составе этой процедуры должны быть предусмотрены: сроки и формы предварительного и последующего напоминаний покупателям о дате платежей; возможности и условия пролонгирования долга по предоставленному кредиту; условия возбуждения дела о банкротстве несостоятельных дебиторов.

7. Обеспечение использования на предприятии современных форм рефинансирования текущей дебиторской задолженности. Развитие рыночных отношений и инфраструктуры финансового рынка позволяют использовать в практике финансового менеджмента ряд новых форм управления дебиторской задолженностью — ее рефинансирование, т.е. ускоренный перевод в другие формы оборотных активов предприятия: денежные средства и высоколиквидные краткосрочные ценные бумаги.

Основными формами рефинансирования дебиторской задолженности, используемыми в настоящее время, являются:

  • факторинг;
  • учет векселей, выданных покупателями продукции;
  • форфейтинг.

Факторинг представляет собой финансовую операцию, заключающуюся в уступке предприятием-продавцом права получения денежных средств по платежным документам за поставленную продукцию в пользу банка или специализированной компании — «фактор компании», которые принимают на себя все кредитные риски по инкассации долга. За осуществление такой операции банк (фактор-компания) взимают с предприятия-продавца определенную комиссионную плату в процентах к сумме платежа. Ставки комиссионной платы дифференцируются с учетом уровня платежеспособности покупателя продукции и предусмотренных сроков ее оплаты.

Учет векселей, выданных покупателями продукции, представляет собой финансовую операцию по их продаже банку (или другому финансовому институту, другому хозяйствующему субъекту) по определенной (дисконтной) цене, устанавливаемой в зависимости от их номинала, срока погашения и учетной вексельной ставки. Учетная вексельная ставка состоит из средней депозитной ставки, ставки комиссионного вознаграждения, а также уровня премии за риск при сомнительной платежеспособности векселедателя. Указанная операция может быть осуществлена только с переводным векселем.

Учетная (дисконтная) цена векселя определяется по следующей формуле:

где УЦВ — учетная (дисконтная) цена векселя на момент его продажи (учета банком);

НС — номинальная сумма векселя, подлежащая погашению векселедателем в предусмотренный в нем срок;

Д — количество дней от момента продажи (учета) векселя до момента его погашения векселедателем;

УСВ — годовая учетная вексельная ставка, по которой осуществляется дисконтирование суммы векселя, %.

Форфейтинг представляет собой финансовую операцию по рефинансированию дебиторской задолженности по экспортному товарному (коммерческому) кредиту путем передачи (индоссамента) переводного векселя в пользу банка (факторинговой компании) с уплатой последнему комиссионного вознаграждения. Банк (факторинговая компания) берет на себя обязательство по финансированию экспортной операции путем выплаты по учтенному векселю, который гарантируется предоставлением аваля банка страны импортера. В результате форфетирования задолженность покупателя по товарному (коммерческому) кредиту трансформируется в задолженность финансовую (в пользу банка)

По своей сути форфейтинг соединяет в себе элементы факторинга (к которому предприятия-экспортеры прибегают в случае высокого кредитного риска) и учета векселей (с их индоссаментом только в пользу банка). Форфейтинг используется при осуществлении долгосрочных (многолетних) экспортных поставок и позволяет экспортеру немедленно получать денежные средства путем учета векселей. Однако его недостатком является высокая стоимость, поэтому предприятию-экспортеру следует проконсультироваться с банком (факторинговой компанией) еще до начала переговоров с иностранным импортером продукции, чтобы иметь возможность включить расходы по форфейтинговой операции в стоимость контракта.

8. Построение эффективных систем контроля за движением и своевременной инкассацией текущей дебиторской задолженности. Такой контроль организуется в рамках построения общей системы финансового контроля на предприятии как самостоятельный его блок. Одним из видов таких систем является «Система ABC» применительно к портфелю дебиторской задолженности предприятия. В категорию «А» включаются при этом наиболее крупные и сомнительные виды текущей дебиторской задолженности (так называемые «проблемные кредиты»); в категорию «В»— кредиты средних размеров; в категорию «С» — остальные виды дебиторской задолженности, не оказывающие серьезного влияния на результаты финансовой деятельности предприятия.

Критерием оптимальности разработанной и осуществляемой кредитной политики любого типа и по любым формам предоставляемого кредита, а соответственно и среднего размера текущей дебиторской задолженности по расчетам с покупателями за реализуемую им продукцию, выступает следующее условие:

где Д30—оптимальный размер текущей дебиторской задолженности предприятия при нормальном его финансовом состоянии;

ОПдр —дополнительная операционная прибыль, получаемая предприятием от увеличения продажи продукции в кредит;

ОЗдз—дополнительные операционные затраты предприятия по обслуживанию текущей дебиторской задолженности;

ПКдз — размер потерь капитала, инвестированного в текущую дебиторскую задолженность, из-за недобросовестности (неплатежеспособности) покупателей.


Поделиться с друзьями:

mylektsii.su - Мои Лекции - 2015-2026 год. (3.142 сек.)Все материалы представленные на сайте исключительно с целью ознакомления читателями и не преследуют коммерческих целей или нарушение авторских прав Пожаловаться на материал