Студопедия

Главная страница Случайная страница

КАТЕГОРИИ:

АвтомобилиАстрономияБиологияГеографияДом и садДругие языкиДругоеИнформатикаИсторияКультураЛитератураЛогикаМатематикаМедицинаМеталлургияМеханикаОбразованиеОхрана трудаПедагогикаПолитикаПравоПсихологияРелигияРиторикаСоциологияСпортСтроительствоТехнологияТуризмФизикаФилософияФинансыХимияЧерчениеЭкологияЭкономикаЭлектроника






Методы оценки капитала






Парамонов А.В.

Сущность капитала как экономической категории учеными различных стран начала исследоваться давно. Эти исследования велись на протяжении нескольких веков практически постоянно. В результате, к настоящему времени вопросы теории формирования, оборота и воспроизводства капитала изучены весьма обстоятельно. В то же время, проблемы оценки капитала, анализа изменения его стоимости во времени и ряд других, остаются изученными явно недостаточно.

Сегодня для России, в силу того, что она находится в состоянии перехода к рыночной экономике, исследование и решение указанных проблем является чрезвычайно актуальным. Поскольку, несмотря на постоянное обсуждение и активное изучение вопросов формирования и движения капитала, в исследованиях современных специалистов не уделяется достаточного внимания капиталу - как субстанции, формирующей бизнес в процессе приложения к капиталу труда и предпринимательской инициативы. Зачастую капитал рассматривается лишь как нечто производное, имеющее второстепенную роль, а на первое место выносится процесс деятельности предприятия. В этом случае принижается роль капитала, а ведь именно капитал является основой возникновения и деятельности предприятия. Естественно, в процессе накопления и использования предпринимательского капитала постоянно возникает вопрос его достоверной оценки.

Таким образом, решение теоретических проблем оценки капитала и имущества предприятия является актуальным не только для сугубо научных целей, но и для практики, поскольку от степени обоснованности суждений по этим вопросам во многом зависит полнота и объективность реализации материальных интересов отдельных субъектов имущественных отношений, а именно: собственников, покупателей, продавцов, инвесторов и др., а также самих предприятий. При этом важно отметить, что роль и значение оценки, методы ее проведения на различных этапах существования предприятия имеют свои специфические особенности. К числу важнейших этапов жизни предприятия, на которых оценка находит свое применение, можно отнести:

  • стадию создания предприятия;
  • момент смены собственников;
  • период проведения реструктуризации;
  • процесс принятия решений по вопросам расширения или сокращения объемов бизнеса;
  • стадии реорганизации или ликвидации предприятия.

В мировой практике используется множество различных подходов к оценке стоимости предприятий, их активов, бизнеса в целом. Вместе с тем, вопросам оценки, основополагающего показателя состояния предприятия - его капитала, пока еще уделяется явно недостаточное внимание. Здесь особо следует сказать о том, что при проведении оценочных работ на российских предприятиях многие из существующих подходов либо вообще не используются, либо используются крайне редко, в результате этого, на практике не всегда обеспечивается всесторонняя, полная и объективная оценка величины капитала.

На российских предприятиях накоплен некоторый положительный опыт в осуществлении рыночной оценки недвижимости, определении затрат на инвестиции и т.д. Вместе с тем, отношение к вопросам оценки капитала продолжает оставаться не адекватным новым требованиям жизни, что, видимо, является следствием остающихся в сознании специалистов последствий существовавшего при социализме антагонистического противостояния социалистического способа производства реалиям свободной рыночной экономики и капиталистическому обществу в целом.

Лишь совсем недавно, в начале 90-х годов, в отечественной практике в связи с переходом к рыночным методам ведения хозяйства, необходимостью проведения оценки стоимости приватизируемых объектов государственной собственности, реализации мер по ликвидации убыточных предприятий, стали находить применение современные методы оценки стоимости имущества для решения указанных задач.

Существующие за рубежом теории оценки стоимости предприятий и их активов имеют многовековую историю. В частности, правила экспертной оценки предприятий по продажной рыночной стоимости были разработаны известным немецким ученым - математиком Г. Лейбницем еще в XVIII веке. Первые упоминания об оценке как методе бухгалтерского учета и рекомендации по его использованию при учете в продажных ценах и по себестоимости появились еще раньше - в XVI веке в трудах основоположников бухгалтерского учета Л.Пачоли и А. ди Пиетро. Сложившиеся за рубежом традиции и основные подходы, не только суммирование затрат по конкретному имущественному объекту в денежном выражении, но и множество других весьма интересных методов, вполне могут быть применимы для проведения оценки капитала предприятия в современных российских условиях.

Иногда среди специалистов возникает мнение о том, что профессиональная оценка не является самостоятельной областью научных знаний, поскольку для ее осуществления используются различные методы, сформированные в рамках других наук: учетные оценки - заимствованы из бухгалтерского учета, финансовые - из теории финансов, рыночные - из макроэкономики и т.д. Возможно, с этим и следовало бы согласиться, но дело в том, что именно благодаря данному направлению научных знаний были обобщены различные методы оценки, применяемые в математике, естественных, экономических науках, и выработаны практические рекомендации по их применению.

В современной отечественной литературе по вопросам оценки имущества, да и в определениях методов ее проведения имеет место некоторый дуализм. Например, В.Григорьев и И. Островкин считают: “Оценка - это... процесс определения стоимости объекта” [1, стр. 9]. Русское же слово “оценка”, подразумевает определение цены объекта, а не стоимости, поскольку “цена” и “стоимость” - понятия, не являющиеся адекватными друг другу. “Цена” - показывает, что может получить собственник в момент реализации объекта, а “стоимость” - проявляет затраты, связанные с объектом и понесенные собственником на определенный момент времени.

Некоторой неопределенности в понятии “оценка” безусловно способствует и богатство русского языка, в котором слова " цена" и " стоимость" имеют различное значение. Известно, например, что в английском языке слово “appraisal” (оценка) предусматривает установление: цены, стоимости, количественных и качественных параметров объекта. То есть, здесь наблюдается диалектическое единство в вопросе стоимости и цены. Поэтому под термином “оценка" необходимо подразумевать определение не только цены, но и стоимости объекта.

Практическое применение оценки весьма широко, и она может использоваться для различных объектов и целей. Применительно к каждому виду объектов нередко применяются свои специальные методы оценки. Необходимость в возникновении различных методов обусловлена стремлением заинтересованных в проведении оценки лиц получить наиболее точные данные о стоимости вложенного в предприятие капитала, постоянно имеющего тенденцию к убыванию, в связи с изменением его величины за счет физического износа и морального старения (в связи с совершенствованием форм общественного разделения труда и развитием технологий и т.д.), а также влиянием других факторов на изменение стоимости имущества в пространстве и во времени.

Применительно к каждому объекту оценки может возникать потребность в определении следующих видов его текущей стоимости: полной восстановительной стоимости; полной стоимости замещения; обоснованной рыночной стоимости; стоимости при ликвидации; стоимости утилизации.

На определение стоимости объекта влияет множество обстоятельств, в частности: интересы пользователей информации оценки, изменение стоимости денег во времени и многие другие. Например, изучение объекта по принципу эффективности использования (по отношению к процессу функционирования капитала) может происходить с различных сторон. В этом случае покупатель оценивает полезность объекта, относительную реальность стоимости по аналогам, возможность получения выгод от объекта в будущем. Предприятие оценивает влияние приобретения на рост капитала и пропорциональность изменения факторов производства при приобретении объекта, а также возможность реализации объекта на рынке.

Определенного внимания заслуживают вопросы использования методов оценки имущества предприятий. Существующие ныне за рубежом и в нашей стране методы оценки имущества предприятий можно вместить в рамки более или менее объемных классификаций. В основе этих классификаций, как правило, находятся: методологические, экономические, рыночные, временные, имущественные и другие признаки. Ниже рассмотрим наиболее часто встречающиеся подходы к вопросам применения методов оценки у зарубежных и отечественных специалистов.

Как правило, в литературе по вопросам финансового анализа и оценки используется весьма узкий подход к классификации методов оценки имущества, например С.Хадсон-Уилсон касается лишь трех групп методов: методы возмещения затрат; методы рыночной и сравнительной стоимости; методы оценки будущего дохода [2, стр. 127].

В специальной литературе можно встретить и более развернутые и полные классификации. Например, в своей работе В.Григорьев и И.Островкин предлагают осуществлять оценку с использованием трех групп методов: имущественного, доходного и сравнительного [1, стр. 31-36]. В свою очередь, имущественный подход включает в себя: метод накопления активов; метод скорректированной балансовой стоимости (чистых активов, остаточной стоимости); метод стоимости замещения; метод ликвидационной стоимости. Доходный принцип включает: метод капитализации доходов; метод дисконтирования денежных потоков. Наконец, сравнительный подход использует: метод рынка капитала; метод сделок (сравнительный анализ продаж); метод отраслевых коэффициентов. Вместе с тем, данная классификация не охватывает всего многообразия форм и методов проведения оценки.

Теоретические исследования и обобщение практики работ по проведению оценки имущества дает основание классифицировать методы оценки с более широких позиций, а именно (см. рис. 1):

  • по отношению ко времени ее проведения;
  • по отношению к потребителям оценочной информации;
  • по отношению к процессу функционирования капитала.

Вместе с тем, исходя из вышеприведенной схемы и принимая во внимание все многообразие других встречающихся в научной литературе видов и методов оценки, есть достаточные основания считать, что все они зародились и получили свое развитие на базе трех основных видов оценки: учетных (бухгалтерских); финансовых (бюджетных) и рыночных (маркетинговых) методов.

Ниже рассмотрим более подробно, что представляют собой методы, включенные в каждую из указанных выше групп.

В учетных методах, как правило, используется историческая и текущая оценка стоимости капитала предприятия посредством исчисления: себестоимости; остаточной стоимости; восстановительной стоимости; текущей рыночной стоимости; ликвидационной стоимости.

Маркетинговые (рыночные) методы оценки стоимости чаще всего используют понятия текущей и будущей стоимости объекта. Они основываются на использовании: метода рынка капитала; метода анализа продаж (сделок); метода отраслевых коэффициентов.

Рис. 1. Классификация методов оценки

Финансовые методы оценки в основном ориентируются на определение будущей стоимости имущества и включают в себя: методы капитализации доходов; методы дисконтирования денежных потоков.

В зависимости от используемой информационной базы различные направления в определении стоимости предприятия можно классифицировать как это показано на рис. 2.

Рис. 2. Классификация различных направлений в определении стоимости предприятия

Далее рассмотрим сущность, преимущества и недостатки отдельных методов оценки более подробно.

Говоря о возможности применения тех или иных методов оценки, необходимо иметь в виду, что при выборе отдельных методов следует прежде всего исходить из целей оценки, поскольку различные цели проведения оценки определяют и использование соответствующих видов стоимости: рыночную, инвестиционную, страховую, ликвидационную, налогооблагаемую, залоговую, стоимость воспроизводства, эффективную стоимость и др.

Поскольку в бухгалтерском учете фиксируется реально вложенный в предприятие капитал, то зоны применения учетных методов оценки находятся там, где необходимо иметь высокую вероятность точности определения стоимости имущества предприятия.

Так, по результатам факта хозяйственной деятельности применима оценка только по себестоимости, в других случаях этот метод может искажать реальность оценки сделок. Оценка по себестоимости объективна, при использовании ее объекты учета отражаются по цене приобретения, следовательно, объективен и финансовый результат. К сожалению, данный метод имеет и определенные недостатки, в частности, он не отражает реальной, текущей стоимости объекта.

Говоря о методах оценки с позиции бухгалтерского учета и экономического анализа, необходимо хотя бы кратко остановиться на их основных характеристиках, тем более если учесть, что толкование их сути у отдельных авторов существенно различается.

При оценке активов в бухгалтерском учете, как правило, используется метод балансовой (книжной) стоимости. Понятие книжной стоимости, применяемое в международной учетной практике, аналогично понятию остаточной стоимости в отечественном бухгалтерском учете. Согласно рекомендаций GAAP и IAS чистая балансовая стоимость (ЧБС) предприятия определяется как:

ЧБС = активы - все виды износа - обязательства.

Книжная стоимость (КС) или остаточная стоимость (ОС) определяется как разность первоначальной стоимости основных средств и накопленной амортизации:

КС = стоимость основных средств - амортизация.

При определении чистой балансовой и книжной стоимости используются цены приобретения, которые не учитывают роста инфляции, вместе с тем они позволяют довольно точно определить затраты, понесенные предприятием.

Скорректированная балансовая стоимость (СБС) показывает нижнюю границу стоимости предприятия. При исчислении скорректированной балансовой стоимости активов учитывается сумма переоценки активов предприятия:

СБС = активы - износ - переоценка - обязательства.

При этом учетные методы в процессе проведения оценки предприятия не принимают во внимание прибыль, возможную к получению в будущем.

Восстановительная стоимость (ВС) определяется суммой затрат на приобретение аналогичных активов в текущий момент или закупку продукции, произведенной с использованием конкретного вида оборудования. В этом случае фиксируются только затраты, но не учитывается полезность объекта и возможные к получению доходы.

Необходимо отметить, что учетные методы оценки активов предприятия оторваны от результатов работы предприятия и могут применяться лишь для определения себестоимости и текущей стоимости активов.

Метод оценки по ликвидационной стоимости использует данные о текущей стоимости активов, определяя остаток капитала предприятия после реализации активов и полного расчета по долгам. При этом ликвидационная стоимость отличается от скорректированной балансовой стоимости на величину затрат по ликвидации. Ликвидационная оценка служит для определения минимальной стоимости предприятия в случае ликвидации.

Опираясь на оценку текущей стоимости активов, метод стоимости замещения определяет объем средств, необходимых для получения данного положения бизнеса. При этом должен учитываться физический, функциональный и экономический износ.

ЧСЗА = Ца- Иэ- Иф,

где

ЧСЗА - чистая стоимость замещения активов;

Ца - цена аналогичных активов на рынке;

Иэ - износ функциональный;

Иф - износ физический.

Данный метод дает возможность оценить и величину нематериальных активов, учитывать организационные и управленческие расходы, но не отражает способности активов приносить доход.

Для определения возможностей активов приносить доход используются финансовые методы оценки, применяемые в планировании деятельности предприятия, принятии управленческих решений, а также для оценки будущей стоимости капитала и доходности инвестиций.

При проведении оценки инвестиционных проектов за основу принимаются критерии временной стоимости денег и цены капитала. При этом ценой капитала считается стоимость денежного (финансового) капитала на финансовых рынках, а за цену капитала конкретного предприятия принимаются годовые расходы по обслуживанию привлеченных ресурсов. Таким образом, абсолютный показатель стоимости капитала конкретного предприятия не учитывается. В основе инвестирования капитала лежит сопоставление объема инвестиций и потока будущих денежных поступлений, то есть возмещение стоимости вложенного капитала и возможность получения доходов от данного вложения. При этом временная стоимость денег изменяется в связи со следующими причинами:

  • обесценением денег с течением времени;
  • отвлечением временно свободных денежных средств предприятия.

Доходные или финансовые подходы опираются на методы оценки бизнеса и представляют собой: дисконтирование денежных потоков; капитализацию доходов; использование равного по эффективности аналога.

Метод периода окупаемости базируетсяна прогнозе чистого денежного потока. Причем период окупаемости для предприятия и акционеров различен, т.к. денежный поток для акционера - это дивиденды, а для предприятия - выручка от реализации продукции.

Метод капитализации доходов оценивает только будущие доходы, а не стоимость активов, и доход определяется с применением расчетов: средней арифметической, средневзвешенной или тренда.

= ;

Для расчета интереса собственника, как правило, используется принцип капитализации дивидендов.

Метод дисконтирования денежных потоков опирается на оценку будущих чистых доходов. Основными этапами дисконтирования являются:

  • прогноз будущих денежных потоков;
  • определение дисконтирующей ставки;
  • дисконтирование будущих денежных потоков;
  • определение суммы дисконтированных денежных потоков и чистой текущей стоимости.

При этом чистый денежный поток рассчитывается как сумма прибыли, амортизации, неденежных поступлений и непроизводственных доходов за вычетом налогов, авансирования основного и оборотного капитала и внереализационных расходов. Необходимо отметить, что ставка дисконта должна рассчитываться отдельно для собственного и привлеченного капитала. Наиболее часто метод дисконтирования денежных потоков применяется при оценке и обосновании инвестиций. Для этого определяется дисконтированная стоимость чистых будущих денежных поступлений - по активам и стоимость чистых будущих денежных отчислений - по обязательствам.

Методы оценки, опирающиеся на чистую дисконтированную стоимость, также учитывают поступление прибыли во времени и ее объемы.

Чистый дисконтированный доход (Net Present Value - NPV). Этот метод некоторые специалисты нередко называют методом чистого приведенного эффекта; чистой текущей стоимости; чистой дисконтированной стоимости; чистой приведенной стоимости. В западной финансовой литературе иногда вместо термина “дисконтирование” используется термин “актуализация” [3, стр. 178]. Суть этого метода можно выразить с помощью следующей формулы:

,

где tr - продолжительность расчетного периода;

te - период начала эксплуатации объекта;

Zi - капитальные затраты;

Di - доходы от эксплуатации объекта;

Е - норма прибыли;

i - шаг расчетного периода.

Метод чистого приведенного эффекта основывается на подходе к повышению стоимости(ценности) предприятия.

При этом производится сравнение объема инвестиций с объемом дисконтированных чистых денежных поступлений за период инвестирования. Коэффициент дисконтирования устанавливается исходя из ежегодного процента возврата на инвестируемый капитал.

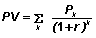
Дисконтные доходы (Prezent Value) определяются по формуле:

.

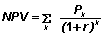
Чистый приведенный эффект (Net Prezent Value) можно рассчитать следующим образом:

- IC,

где P1, P2,.... Pk - размер годовых доходов;

n - количество лет инвестиции;

r - коэфф. дисконта.

Сущность этого метода заключается в сопоставлении, приведении стоимости будущих поступлений от инвестированных средств к текущей их стоимости. Данный показатель имеет более высокую точность определения эффекта и нацелен на увеличение капитала предприятия, рост благосостояния акционеров.

Метод расчета внутренней нормы доходности - определяет ставку дисконта, при которой чистая текущая стоимость активов приравнивается к нулю. Внутренняя норма доходности (Internal Rate of Return - IRR) имеет и иные названия в специальной литературе, например: внутренняя норма прибыли; внутренняя норма рентабельности; проверочный дисконт; доходность дисконтированных денежных поступлений; внутренний коэффициент рентабельности; внутренняя норма окупаемости инвестиций; внутренняя ставка отдачи.

Определением внутренней нормы доходности является расчетная процентная ставка доходности, при которой капитализируемый доход покрывает инвестированный капитал.

,

где IRR = r (коэф. рентаб.), при котором NPV = 0.

То есть инвестиции должны иметь уровень рентабельности не ниже средневзвешенной себестоимости капитала.

Срок окупаемости инвестиций (Paybac Period - PB). Встречаются и иные названия данного показателя: окупаемость; период окупаемости инвестиций; период окупаемости проекта; время окупаемости и др. Этот период определяется временем с начала эксплуатации объекта, необходимым для того, чтобы доходы от эксплуатации покрыли произведенные ранее капитальные затраты.

Срок окупаемости определяется в тот момент, когда показатель PI (индекс доходности) принимает значение, равное 1, т.е. PI = 1, а показатель NPV (чистого дисконтированного дохода) приобретает положительное значение, NPV = 0.

Индекс доходности (Prefitability Index - PI). Имеет и другие названия в современной литературе: рентабельность; рентабельность инвестиций; простая норма прибыли; индекс прибыльности; индекс выгодности инвестиций.

Данный метод позволяет определить отношение доходов от инвестиций к произведенным затратам.

,

В зарубежных источниках встречается и такое понятие, как конечная стоимость (“Terminal Value”), которое определяется по формуле:

TV = x0 (1 + r)n ,

где x0 - сумма начальная;

r - ссудный процент;

n - число лет использования.

Текущая стоимость или дисконтированная стоимость будущего денежного потока (“Present Value”) является обратным показателем по отношению к конечной стоимости:

PV = xn [ 1/(1+k)n],

где xn - сумма к получению по прошествии n лет;

k - ставка дисконтирования.

Как правило, методы определения рыночной стоимости основаны на принципе сравнения с аналогами. Например, метод рынка капитала основывается на принципе замещения по рыночным ценам акций, сходных с данным предприятием.

Сравнительный метод основывается на сравнении с аналогичными предприятиями (рейтинговый метод). Расчет по цене однородного аналога можно производить следующим образом:

,

где - цена однородного объекта с НДС;

и - ставки налогов (на доб. стоимость и прибыль);

- коэффициент рентабельности продукции (доля чистой прибыли и торговой наценки в цене).

Таблица 1


Поделиться с друзьями:

mylektsii.su - Мои Лекции - 2015-2026 год. (2.067 сек.)Все материалы представленные на сайте исключительно с целью ознакомления читателями и не преследуют коммерческих целей или нарушение авторских прав Пожаловаться на материал