Студопедия

Главная страница Случайная страница

КАТЕГОРИИ:

АвтомобилиАстрономияБиологияГеографияДом и садДругие языкиДругоеИнформатикаИсторияКультураЛитератураЛогикаМатематикаМедицинаМеталлургияМеханикаОбразованиеОхрана трудаПедагогикаПолитикаПравоПсихологияРелигияРиторикаСоциологияСпортСтроительствоТехнологияТуризмФизикаФилософияФинансыХимияЧерчениеЭкологияЭкономикаЭлектроника






Системы атомных ядер со спином не равным 0 обладают ядерным магнетизмом.

Ядерный магнитный резонанс.

1.Ядерный магнетизм.

Атомные ядра со спином не равным нулю могут иметь магнитный дипольный момент.

, (1.1)

Где ядерный магнетон, - масса протона, спин, полное гиромагнитное отношение, состоящее из – орбитального гиромагнитного отношения и – спинового гиромагнитного отношения, где , .

Для основных состояний четно-четных ядер спин равен нулю. Для нечетных ядер спин равен спину последнего неспаренного нуклона. Для нечетно-нечетных ядер спин равен сумме нечетных p и нечетных n.

Ядро водорода – протон, он обладает большими значениями . В атомных ядрах гиромагнитное отношение достигает десятков.

Системы атомных ядер со спином не равным 0 обладают ядерным магнетизмом.

Существуют следующие виды магнетиков: диамагнетики, парамагнетики, ферромагнетики, сверхпроводники, антиферромагнетики. У систем атомных ядер магнетизм парамагнитного типа. В системах атомных ядер при понижении температуры может возникнуть ферромагнетизм.

Пусть внешнее магнитное поле действует на систему ядер. Во внешнем магнитном поле с ядром происходят следующие эффекты: 1) появляется дополнительная потенциальная энергия (потенциальная функция).

, (1.2)

А также рассмотрим силы, действующие на ядро. 2) Обычная сила.

(1.3)

Уравнение Ньютона для обычной силы (уравнение движения под действием силы): в гамильтониановой форме: . Где -обобщенные координаты, - обобщенный импульс.( для поля, неоднородного по α).

3)Ядро может вращаться, т. е. обобщенными координатами будут являться углы.

– угол поворота. По отношению к обобщенной силой является пара сил .

, (1.4)

Где µ - магнитный дипольный момент (1.1).

Обобщенный импульс для угла момент количества движения. Уравнение Ньютона для вращения: полный момент количества движения ядра – спин: (1.5).

Изменение спина ядра во внешнем магнитном поле (из (1.1) и (1.5)): (1.6), получили ларморовскую прецессию спина (вращение спина).

2.Ларморовская прецессия спина.

1. Решаем уравнение классически.

, .

Векторное произведение: где

Получаем систему: Z-овая проекция - константа.

, (2.2)

(2.1.2)*i + (2.1.1) и учтем (2.2) (2.3) – ларморовская частота, где - ядерный магнетон.

Напишем действительную и мнимую часть величины А:

Вращение происходит в плоскости перпендикулярной плоскости z. X и y меняются по законам вращения. Вращение с ларморовской частотой. Вектор спина вращается вокруг поля .

2. Решаем уравнение квантово - механически.

(2.4), спин принимает дискретные значения.

Собственные значения

значит ч исло различных проекций спина на z:

Если до включения магнитного поля все состояния ядра со спином I были вырождены (энергия не зависела от ), то при включении происходит вырождение по

Спектр ядра в этом случае (для ):

∆ E
E(Iz)
-I = Iz
I=Iz
I-1=Iz

Без магнитного поля уровни имели одинаковую энергию, затем произошло расщепление по уровням, при этом расстояние между уровнями:

(2.5)

Где - ларморовская частота (2.3).

Если Т=0 (абсолютный ноль), то при этой температуре все ядра в основном состоянии (Iz=I). (Когда направление спина ядра направлено по полю В0). При этом происходит полная поляризация (сильнейший уровень поляризации).

При Т≠ 0 наблюдается ядерный парамагнетизм.

3.Ядерный парамагнетизм.

Равновесное распределение ядер – распределение Гиббса, функция распределения которого:

(3.1)

Где С - const, – добавка о магнитного поля в энергию, - проекция спина на z,

Обозначим .

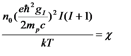
Рассмотрим случай , значит есть параметр малости. Этим повторяем работу Пьера Кюри.

Найдем константу С в уравнении (10). Воспользуемся условием нормировки:

- нормированная на единицу величина. Разложим экспоненту в ряд и ограничимся первыми членами разложения:

изменяется от до

Рассчитаем магнитный дипольный момент единицы объема нашей ядерной системы. Магнитный дипольный момент единицы объема – вектор намагничивания.

(3.2)

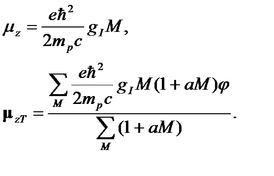
где М - магнитный дипольный момент единицы объема, n0 - число ядер в единице объема диэлектрика, - магнитный дипольный момент оного ядра при данной температуре Т.

(3.3)

проекция µ на x и y равны 0 если поле направлено по z. Учтем, что и воспользуемся (1.1).

(3.4)

Рассчитаем среднее значение для одного ядра. Сумма по М от до равно числу положительных и отрицательных значений. Сумма дает 0. M принимает положительные и отрицательные значения, значит в знаменателе 1+ aM, а в числителе 1+ aM. Получаем:

Нужно рассчитать , это уже таблично рассчитано, но рассчитаем сами с помощью квантовой механики. где - среднее значение квадрата проекции спина на ось 0z.

Если на ядро не действуют внешние силы то и окончательно получим, что:

Вывели нужную формулу, теперь подставим ее в выражение для , получим выражение для среднего магнитного момента ядра: (3.5).

Тогда вектор намагничивания: (3.6) где (3.7)- коэффициент намагничивания.

Зависимость между B 0 и М линейная.

(3.8)

впервые получен Пьером Кюри.

4.Ядерный ферромагнетизм.

2 ядра могут взаимодействовать между собой спин-спиновым образом. (Если имеют I и µI). Это реализует ферромагнетизм (взаимодействие приводит к ориентировке спинов). В ферромагнетиках при намагничивании возникают домены. Возникает вопрос, каков масштаб ферромагнетизма в ядерных системах?

Критическая температура для железа .

(4.1)

Так как атомные магнито-дипольные моменты больше ядерных магнито-дипольных моментов примерно в 2000 раз из-за различия в атомных и ядерных магнетонах Бора, а спины соизмеримы, получим:

Итак, мы получили ответ на наш вопрос, ядерный ферромагнетизм возникает при температуре .

5.История развития методов ЯМР в медицине.

Первые эксперименты провел в 1939 году венгерский ученый Раби, он рассматривал движение молекулярных пучков во внешнем магнитном поле. В 1946 году Блох и Парсел независимо друг от друга построили теорию ЯМР, впоследствии получив нобелевскую премию за нее. В 1971 году появилась первая работа медицинского направления. Дамайдиан обнаружил разницу в магнитных свойствах нормальных и опухолевых тканей. В 1974 году продемонстрирован первый опыт ЯМР на органах живой мыши. В 1977 году получены первые ЯМР томограммы при использовании ядра водорода для человеческих органов. 1981год – к томографическим исследованиям подключают компьютеры. Этому времени в мире существуют 3 томографические установки, но к 1987 году в мире уже боле 1000 установок, сейчас только в США насчитывается более 5000 установок.

Основные экспериментальные характеристики высокочастотных магнитных полей, используемых в томографии.

ЯМР-томография основана на явлении магнитного резонанса. При частоте внешнего высокочастотного магнитного поля w = w0 (где w0 – ларморовские частоты для ядер) возникает явление резонанса, которое приводит к заметным изменениям свойств ядерной системы.

1. Важен ядерный магнитный резонанс.

Атомы так же имеют магнитный дипольный момент из-за движения атомных электронов, значит можно рассматривать атомный магнитный резонанс, но .

Атомные частоты лежат в области ультракоротких волн (на границе с ИК-спектром). В стандартных радиотехнических устройствах такие частоты практически недостижимы. (В любых радиоприемниках легко достижимы мегагерцы, но здесь значения в 2000 раз больше). Существуют и атомные томографы, но так как достижимы то чаще встречаются ядерные томографы.

Все эти факты показывают, что мы будем рассматривать именно ядерный магнитный резонанс.

2. Как правило, при нормальной мощности радиотехнические установки излучают достаточно много квантов. Энергия одного кванта .

Для мощности источника около 1 Ватта, установка испускает 1017 фотонов в секунду, значит на атомное ядро падает 1017 фотонов в секунду. Атомное ядро поглощает, начинаются переходы на более высокие уровни.

Переходы бывают спонтанные и индуцированные. В данном случае переходы индуцированные.

В квантовой электродинамике соотношение неопределенностей между фазой электромагнитной волны и числом квантов, которые переносятся этой электромагнитной волной: где – фаза волной функции гамма-квантов (неопределенность волновой функции), - неопределенность в числе гамма-квантов.

(флуктуируют примерно 1 % - 1015), фазы всех фотонов одинаковы, то есть все фотоны когерентны можно пользоваться классической электродинамикой.

У Блоха и Парселла уравнения Максвелла решаются классически.

6.ЯМР первого рода.

Рассмотрим следующую установку:

А
 
 
 
 
 
 
 
ε

1 – постоянные магниты (создают однородное магнитное поле B0).

2 – дуанты (создают низкочастотное магнитное поле B1).

(6.1) Гц, сонаправлен с .

3 – атомные ядра (вещество, в которые они входят).

4 – катушка.

5 – амперметр.

6 – источник высокочастотных напряжений В’: (6.2)

При включенном напряжении в катушке возникает высокочастотный ток, а значит и высокочастотное магнитное поле В’. Частота меняется: где - ларморовская частота прецессии атомных ядер во внешнем магнитом поле В0.

Когда возникает резонанс. Кванты высокочастотного магнитного поля начинают поглощаться ядром, а значит, в ядре происходят переходы на более высокие положения:

 

 

M = I-1
M = I
Возбужд. уровень

Наблюдаем следующие явления: увеличение эффективного сопротивления, уменьшение тока и добротности.По уменьшению тока мы судим о наличии резонанса.

Если бы отсутствовали дуанты, то , (частота должна быть подобрана очень точно).

B10
Ларморовская частота
w0
w0+Г/2 +Г
w0-Г/2  
w
t

Г (ширина уровня) мала, поэтому тяжело попасть в резонанс. Дуанты же создают переменное магнитное поле.

(6.3)

амплитуда достаточно большая и за период можем 2 раза попасть в резонанс.

Такой ядерный резонанс позволят очень точно мерить поля в тканях и органах.

1-ый тип ЯМР – энергетический тип (осуществляется через энергетические потери).

Магнитный резонанс приводит к повороту спина ядра, а через управление спином ядра и проводится ядерная магнитная томография.

7.ЯМР второго рода.

Для описания прецессий магнито-дипольного момента ядер выгодно перейти во вращающуюся систему координат. Уравнение изменения любого вектора во вращающейся системе координат:

(7.1)

где w – вектор угловой скорости, с которой вращается система координат, A’ - вектор во вращающейся системе координат, A - вектор в лабораторной системе координат.

В качестве вектора A возьмем вектор магнито-дипольного момента .

(7.2)

где - гиромагнитное отношение, - изменение магнито-дипольного момента во внешнем однородном поле B0.

(7.3)

где (7.4) – эффективное магнитное поле.

Частота ларморовской прецессии , значит (7.5)

Если выберем w=w0 то (на магнито-дипольный момент не действует никаких пар сил, он не изменяется = const). Переход во вращательную систему координат позволяет скомпенсировать внешнее магнитное поле .

(7.6)

Где В0 - постоянное однородное магнитное поле, В’ - высокочастотное поле.

(7.7)

где и соответственно амплитуда и частота изменения поля.

содержит 2 компоненты (вращение с частотой и ):

(7.8)

Если система координат вращается с угловой скоростью , то в этой системе вращение, связанное с членом пропадает (происходит остановка вращения для этого члена). Второй член будет вращаться с удвоенной частотой.

Явление резонансного поглощения кванта магнитного поля происходит в том случае, если , тогда первый член осуществляет переход под влиянием возмущения, зависящего от времени.

Резонансный член Вторая экспонента в резонанс не попадает.

w0

Резонанс происходит, если переход осуществляется вверх. У второго члена этого перехода нет, поэтому пренебрегаем им, сохраняя член .

Наложим на ядерную систему два поля и и перейдем во вращательную систему координат с частотой , тогда в этой системе высокочастотное поле останавливается и внешнее магнитное поле становится постоянным полем .

Если сделаем частоту (условие резонанса), то вращение полностью компенсирует поле .

На магнито-дипольный момент будет действовать постоянное магнитное поле .

(7.9)

начнется прецессия вокруг поля .

Направим поле по оси х, тогда магнито-дипольный момент будет прецессировать вокруг поля .

При этом прецессия будет иметь постоянное направление вдоль х.

Если в мы имели намагниченность ядер вдоль B0 (по оси z), то, включив высокочастотное магнитное поле и перейдя во вращательную систему координат получили отличную от нуля компоненту µ, направленную вдоль х. ( разворачивается на 90°).

Если перейти обратно в лабораторную систему координат, то будет вращаться с угловой скоростью вокруг поля (оси z). испытывает двойное вращение, иксовая компонента сохраняется.

Решим задачу в общем случае:

направлено вдоль х (перпендикулярно ), тогда (7.10) где – вектор во вращательной системе координат.

z
 

(7.11)

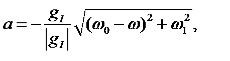
где a – эффективная частота, (7.12)где (7.13)

Пусть в момент времени t=0 магнито-дипольный момент был ориентирован по оси z.

x
α (t)
B
z
С
θ
µ(t)
at

Нужно найти угол – угол между В и осью z.

(7.14).

Рассмотрим скалярное произведение, у выделим две компоненты, первая из которых направлена вдоль ОС, а вторая компонента – на АС, тогда:

,

,

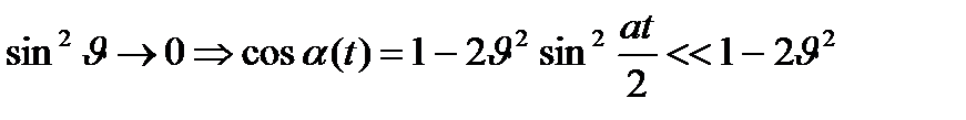
Рассмотрим несколько предельных случаев: в общем случае будем рассматривать (то есть амплитуда высокочастотного поля гораздо меньше амплитуды постоянного магнитного поля), а значит, для ларморовских частот имеем: . Первый случай, случай далекий от резонанса, то есть , тогда , мы пренебрегли их начального условия, значит , тогда , , то есть угол мал, поэтому , мы учли что , значит максимальное значение .

Окончательно получили, что , а при малых

.

, значит при прецессии будет слабо уходить от оси z.

Второй случай,

Когда можем набирать любые углы и значит принимает любые значения, и можем повернуть под любым углом к z. А, если , то направление на ось x, если же угол - инверсия.

И третий случай, случай чистого резонанса:

прецессия относительно 0x, вращение с ларморовской частотой.

В случае резонанса, если намагничиваем ядерную систему в направлении поля , когда направлено параллельно оси 0z, при включении высокочастотного поля, направленного вдоль 0x, можем повернуть вектор на любой угол.

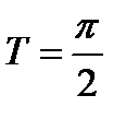
Рассмотрим какие времена нужны, чтобы получать разные направления . Направленный вдоль 0x с направлением прецессии вдоль y выберем таким, когда где - время за которое угол α станет равным π /2. Это случай .

- инверсия. При переходе в лабораторную систему координат, которая вращается со скоростью относительно вращательной системы координат, направленно вдоль x. Выключим поле и перейдем в лабораторную систему координат со скоростью , параллельно 0z, а, значит, прецессия идет в плоскости xy. Направление поляризации было вдоль 0z, . При переходе получили абсолютный поворот ( вращается в плоскости xy). Если направлен вдоль 0z во вращательной системе координат, значит, при переходе в лабораторную систему координат ничего не меняется и вектор остался инверсионным – абсолютная инверсия.

Неэнергетический принцип – принцип резонанса по вращению.

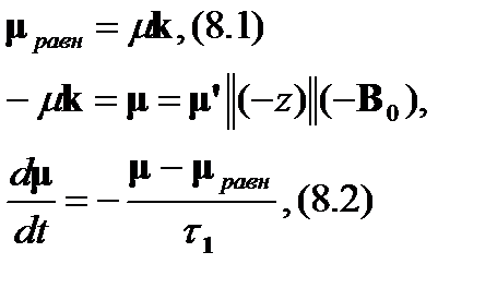
8.Уравнение Блоха для установления статистического равновесия.

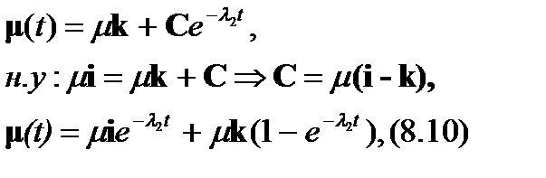
Случай 1: пусть высокочастотное магнитное поле перевело магнито-дипольный момент ядра в инверсное состояние (в сторону, против z). Выключим высокочастотное поле и посмотрим, как будет меняться момент . Магнитный момент во вращательной системе координат при переходе в лабораторную систему координат, которая вращается вокруг z, вектор не изменяется . определяется процессом установления статистического равновесия, для статистическое равновесие возникает, когда ориентировано по оси z.

где - характерное время продольной релаксации в этом случае, (меняется продольная компонента вектора). Итак, первый механизмпродольный.

где - ширина продольной релаксации, - вероятность изменения в единицу времени (константа перехода). Получаем закон релаксации, полученный Блохом:

(8.5)

Интегрируя это уравнение, получаем его решение:

перепишем (8.5):

(8.6) – релаксационное уравнение, при (по z).

Перевели магнито-дипольный момент в сторону –z. У этого момента появляется энергия возникает положительная энергия магнито-дипольного момента. В состоянии равновесия то есть гораздо меньше. Тем самым из-за обычной термодинамики неравновесное состояние переходит в равновесное. Ядро с моментом в неравновесном состоянии взаимодействует с термостатом, то есть с окружающей ядро средой, имеющей температуру. Распределение Гиббса: Термостат – нагретая система ядер. При столкновениях ядер меняется проекция спина ядра на ось z, значит формируется равновесное распределение – распределение Гиббса.

Напоминаем, что это случай при !

В этой ситуации происходит обычная термодинамическая релаксация, которую Блохх назвал «спин-решеточная» релаксация, потому что меняется направление спинов, из-за которого переходим к равновесному распределению. Термостат в этом случае он и подразумевал как «решетку». У твердого образца имеется кристаллическая структура в узлах кристаллической решетки которой ядра взаимодействуют друг с другом.

Случай 2: поворачиваем в направлении оси yв высокочастотном магнитном поле.

(8.7)

При переходе в лабораторную систему координат вектор переходящий в вращается в плоскости xy, проекция на z при этом равна нулю, (то есть вектор перпендикулярен к оси z). , энергия этого магнито-дипольного момента в поле равна нулю.

(8.8)

Через энергию обычных столкновений перейти в равновесное состояние нельзя.
Механизм, связанный с в этом случае не работает, но переход в равновесное состояние у этого вектора должен быть. 2 механизмпоперечный механизм релаксации.

(8.9)

(8.9) – уравнение Блоха для поперечной релаксации, где - время поперечной релаксации.

Энергия, которая дает релаксацию для поперечного направления - , эта энергия зависит от взаимодействия магнито-дипольных моментов ядер. Полная энергия дается энергией парных взаимодействий (спин-спиновое взаимодействие ядер): .

- поворот магнито-дипольного момента вдоль x, поле включается по y.

, решая это уравнение, получим:


(8.10) – закон поперечной релаксации, где определяется энергией взаимодействия ядер между собой, поэтому эту релаксацию называют «спин-спиновой».

Вся томография связана с тем, что разные органы и ткани имеют разные и , диагностика идет по параметрам и . Метод называется двумерной томографией (анализ тканей по двум параметрам).

Времена релаксации и для биологических тканей.

Характерное от 0, 05 до 1 секунды, в жирах от 0, 15 до 0, 5 секунд, в церебральных жидкостях 2-3 секунды, чуть ниже она в растворах, а в твердых телах, таких как, к примеру, костный мозг, достигает минут. Как правило зависит от ларморовской частоты , а соответственно и от поля .

9.Импульсные последовательности в ЯМР-томографах.

Существуют 3 базовые последовательности подачи высокочастотного магнитного поля в ямр-томографии: 1) «насыщение»-«восстановление»(SR-последовательность); 2)»инверсия»-«восстановление»(IR-последовательность); 3) спиновое эхо(SE), являющимся самым распространенным методом.

Рассмотрим все три процесса подробнее:

1) «насыщение»-«восстановление»

В этой последовательности сначала подается импульс , время подачи которого и возникает следующая картина:

 
t

Где - длина паузы (повторения, от англ. repetition). После выключения импульса происходит релаксация со временем , закон этой релаксации:

, (9.1)

Таким образом, в этом эксперименте можно измерять два вида времени.

2) »инверсия»-«восстановление»

 
t
 

Видна ярко выраженная релаксация продольной компоненты, и снова можем рассматривать два вида времени.

3) спиновое эхо

 
t

разворачивает направление магнито-дипольного момента на направление оси x. включает инверсную заселенность, то есть инверсным образом разворачивает магнито-дипольный момент. За время спинового эха происходит инверсия со временем , заселенность убывает по экспоненте, причем < .

Во вращательной системе координат происходит ларморовская прецессия вокруг поля в лабораторной системе координат происходит прецессия вокруг направления . Так как магнито-дипольный момент направлен в сторону, противоположную , то в прецессии участвуют компоненты, связанные только с иксовой составляющей, (оставшейся после времени ), эта компонента начинает разворачиваться в противоположном направлении по отношению к вращению прецессии равновесного магнито-дипольного момента, и тогда начинается прецессия, которая приводит к восстановлению магнито-дипольного момента вдоль оси x. Через восстанавливается значение магнито-дипольного момента по оси x, которое было после выключения импульса . Разные ядра из-за локальных неоднородностей магнитного поля в веществе имеют разные ларморовские частоты прецессий, там, где локальное поле больше, там и прецессия быстрее. Тогда происходит расфазировка магнито-дипольного момента (из-за прецессии). После подачи импульса происходит вращение в обратном направлении магнито-дипольного момента и все магнито-дипольные моменты тех ядер, которые имели меньшие , начинают прецессировать в обратном направлении медленнее, чем те, которые имели большие . Снова сфазировка происходит в точке 0. Спиновое эхо приводит к полной сфазировке. Идеология спинового эха направлена на измерение времени восстановления - .

Целью применения всех трех этих импульсных последовательностей является измерение времен релаксации и для последующего, наиболее полного обследования пациентов.

10.Устройство томографа.

Система энергоснабжения
ЯМР-зонд
Градиентный усилитель
ВЧ-усилитель
ЯМР-сигнал
ВЧ-катушка
компьютер
дисплей
Система охлаждения
Постоянный магнит
x, y, z-градиентные катушки

1. Постоянные магниты.

Создают постоянное магнитное поле вдоль оси z. Основной проблемой при их использовании является интенсивное нагревание, которое требует затрат больших мощностей на охлаждение. Потеря энергии из-за выделения джоулева тепла пропорциональна (в стандартном томографе , тогда требуется трансформатор с мощностью порядка 40кВт, для мощность порядка 400кВт). Таким образом, для томографов, рассчитанных на поле и более, работа на постоянных магнитах невозможна, и тогда используют сверхпроводящие магниты, имеющие магнитные поля, не выделяющие джоулева тепла, температура должна быть ниже критической, а требуется криогеника с жидким гелием. Часто используются сверхпроводящие сплавы (к примеру, ниобий-титановый сплав). Выгодно поднимать (в хороших томографах до ), так как чем больше тем меньшее гиромагнитное отношение можно измерять. Обычные томографы работают на водороде, а сверхпроводящие на углероде, фосфоре, азоте и ядрах других элементов живых тканей.

2. ВЧ-катушка.

Для водорода ларморовские частоты для обычных томографов 4 15 МГц, для сверхпроводящих эти значения выше в десять раз. В ВЧ-катушках для приема сигнала используются «антенные» катушки, развязанные от катушек, создающих высокочастотное поле (поле, радиочастотного типа с частотами, примерно равными ларморовской частоте).

3. X, y, z – градиентные катушки.

Они предназначены для создания градиентного магнитного поля. Z-катушка создает поле (аналогично для x и y), в направлении z поле разное и, значит ларморовские частоты вдоль оси z внутри образца разные. Создаются разные значения поля . Полное поле: . Имеем возможность построить разные магнитные поля ( разные), а значит и в разных точках образца разные ларморовские частоты, и можем отдельно измерять характеристики разных точек образца. Таким образом, если в объеме выделим тысячу точек, то мы должны сделать около тысячи измерений.

Чисто точек, которые создает компьютер в единице объема образца – число вокселей. После компьютерной обработки воксели (от англ. volume – объем) переходят в пиксели (от англ. picture – картина).

Сама томография состоит в обработке сигнала от всех вокселей, которые есть в изучаемом образце. Число ядер водорода в кубическом миллиметре (что близко к вокселю) примерно .

Длина волны излучателя характеризует какой минимальный объем можно разрешить, поэтому частоту стремятся сделать как можно больше.

4. Компьютер и дисплей.

Так как обрабатывается достаточно много информации, то для уменьшения пребывания пациента в магнитном поле требуются достаточно быстродействующие компьютеры.

 

 

 

 

 

<== предыдущая лекция | следующая лекция ==>
 | Электромагнитное Воздействие
Поделиться с друзьями:

mylektsii.su - Мои Лекции - 2015-2026 год. (3.289 сек.)Все материалы представленные на сайте исключительно с целью ознакомления читателями и не преследуют коммерческих целей или нарушение авторских прав Пожаловаться на материал