Студопедия

Главная страница Случайная страница

КАТЕГОРИИ:

АвтомобилиАстрономияБиологияГеографияДом и садДругие языкиДругоеИнформатикаИсторияКультураЛитератураЛогикаМатематикаМедицинаМеталлургияМеханикаОбразованиеОхрана трудаПедагогикаПолитикаПравоПсихологияРелигияРиторикаСоциологияСпортСтроительствоТехнологияТуризмФизикаФилософияФинансыХимияЧерчениеЭкологияЭкономикаЭлектроника






Пути совершенствования подготовки и переподготовки кадров на предприятии






 

Анализ системы подготовки кадров на предприятии позволяет нам сделать некоторые выводы и внести предложения по улучшению этой системы.

Мы полагаем, что в первую очередь, необходимо пересмотреть содержание учебных программ с точки зрения соответствия их современным требованиям производства.

Во всех цехах следует создать учебные аудитории, оборудованные схемами, плакатами, техническими средствами обучения.

Целесообразно подготовить сценарии для съемки учебных видеофильмов:

- производство ремонтных работ в условиях повышенной опасности;

- производство работ на объектах газового хозяйства;

- производство работ на котельных установках.

Рассмотрим мероприятия по совершенствованию управлению подготовки персонала и их эффективность на примере конкретных цехов.

1. Повышение коэффициента квалификации в цехе сетей и подстанций.

Проведем анализ состояния подготовки рабочих на примере электромонтажной выездной лаборатории цеха сетей и подстанций. Данный анализ может быть проведен с помощью коэффициента квалификации :

где,

На 01.01.2014 г. в выездной лаборатории ЦСП работало 2 бригады электромонтеров по 6 человек в 2 смены, т.е. всего 24 человека. Распределение рабочих по уровню квалификации приведено в таблице 3.1.

 

Таблица 3.1. Распределение рабочих по разрядам

  Разряд рабочих
  ІІІ IV V
Численность рабочих      

 

Средний разряд рабочих на 01.01.2014 года составит:

По данным экономиста цеха средний разряд работ выполненных выездной лабораторией при работе на аварийных участках комбината, на цеховых подстанциях и высоковольтных линиях передач равен 4, 75. Таким образом, коэффициент квалификации на 01.01.2014 года составляет:

Т.е. средний разряд рабочих не соответствует среднему разряду выполняемых работ и их уровень квалификации недостаточен; это оказывает негативное влияние на качество выполнения работ. Работы в случае аварии могут занимать гораздо больше времени и в основном нагрузка и ответственность ложится на рабочих высокого разряда.

До 01.06.2014 года были направлены на курсы повышения квалификации 10 человек, после которых троим из них был присвоен IV разряд, а семерым - V разряд и распределение рабочих по уровню квалификации изменилось (табл. 3.2)

 

Таблица 3.2. Распределение рабочих по разрядам на 01.06. 2014 года.

 

  Разряд рабочих
  ІІІ IV V
Численность рабочих      

 

Средний разряд рабочих на 01.06.2014 года составил:

А коэффициент квалификации на 01.06.2014 года равен:

 

Т.е. отклонение между средним разрядом рабочих и производимых работ значительно уменьшилось, но еще есть возможности для дальнейшего проведения работ по подготовке и повышению квалификации кадров.

2. В прошлом году проведение мероприятий по повышению разряда рабочих позволило сократить количество аварий на линиях электропередачи для кислородно-конверторного цеха путем частого и более качественного текущего осмотра и ремонта ЛЭП. Это привело к тому, что потери электроэнергии в ККЦ на 25 кВт/ч на 1 тыс. тонн стали. Запланированный годовой объем производства в ККЦ на текущий год равен 2411827 т. Стоимость 1 кВт/ч электроэнергии равна 1, 2 руб.

Рассчитаем экономию за счет уменьшения потерь электроэнергии в результате данного мероприятия

Подробный расчет экономии можем произвести и по другим цехам комбината и в целом по предприятию. Это делается в конце каждого года по результатам фактической работы предприятия за год.

Полагаем, что целесообразно также присвоить пятый и более высокий разряд при наличии второй специальности.

3. Рассмотрим эффективность организации производственно-технических курсов для газовщиков доменного цеха.

Повышение производственной квалификации оказывает положительное влияние на производственно-хозяйственную деятельность предприятия по многим направлениям. Однако все многообразие последствий обучения рабочих на курсах повышения квалификации практически сводится к следующим технико-экономическим показателям:

а) увеличению выпуска продукции;

б) уменьшению удельного веса сырья, полуфабрикатов, топлива и т.д., на производство продукции;

в) улучшение качества продукции;

г) уменьшению потребности в рабочей силе на выпуск определенного объема продукции или выполнения определенного объема работ;

д) ликвидации или уменьшению дефицита рабочих высокой квалификации.

Непосредственная задача обучения рабочих на тех или иных курсах повышения квалификации может заключаться в улучшении одного из перечисленных показателей. Вместе с тем изменение одного показателя обычно влечет за собой изменение других.

Выпуск продукции может увеличиться, если повышение квалификации рабочих приводит к росту их индивидуальной выработки (производительности труда), повышению производительности оборудования, в управлении или обслуживании которого они участвуют, к уменьшению брака продукции или снижению расхода основных материалов на производство единицы продукции.

Во всех случаях увеличение выпуска продукции приводит к снижению ее себестоимости за счет уменьшения постоянных расходов на единицу продукции:

а) условно-годовая экономия от снижения себестоимости продукции может быть определена по формуле

(3.1)

где Э – условно-годовая экономия, руб.

- увеличение годового выпуска продукции в натуральных единицах измерения;

d – плановая ставка постоянных расходов на единицу продукции, руб.

Рост выпуска продукции определяется на основании данных об увеличении индивидуальной выработки рабочих, повысивших квалификацию, или по увеличению производительности агрегатов, которые они обслуживают. При этом рост годового выпуска продукции условно принимается пропорциональным росту производства за анализируемый период после обучения.

Плановая ставка постоянных расходов представляет собой сумму экономии, которое получает предприятие при увеличении годового выпуска данной продукции на каждую единицу сверх плана.

Затраты на обучение рабочих при определении фактической эффективности принимаются по отчетным данным отдела производственно-технического обучения, а при расчете ожидаемой эффективности – посредним нормам расходов на обучение одного человека;

б) Условное высвобождение численности рабочих рассчитывается по формуле:

(3.2)

где - условное высвобождение численности, чел;

W – среднегодовая выработка на одного рабочего до обучения.

Если в результате повышения квалификации увеличилась индивидуальная выработка рабочих, то в формулу (3.2) подставляется средняя выработка этих рабочих до обучения.

Повышение производительности труда в целом по предприятию определяется по формуле:

(3.3)

где А – увеличение производительности труда в целом по предприятию, %;

В – плановая среднесписочная численность трудящихся предприятия, чел.

Часто в основных металлургических цехах повышение квалификации группы рабочих приводит к увеличению производительности всего цеха, а следовательно, к увеличению выработки и у рабочих, не прошедших обучение.

В данном цехе проведены производственно-технические курсы газовщиков. В результате повышения квалификации газовщиков увеличилась ровность хода доменных печей, увеличилась температура дутья и интенсивность сжигания топлива.

За счет этих факторов производительность цеха в номинальные сутки увеличилась на 200 т. при уменьшении суточного расхода кокса на 30 т. Затраты на проведение производственно-технических курсов составили 100 000руб.

Экономическая эффективность улучшения перечисленных показателей работы доменных печей выражается:

- в экономии получаемой за счет сокращения удельного расхода кокса;

- в экономии на постоянных расходах за счет увеличения годового объема производства чугуна;

- в повышении производительности труда за счет увеличения объема производства.

 

Для расчета экономической эффективности используем следующие

дополнительные данные:

Количество номинальных суток работы цеха в году - 350,

Ставка постоянных расходов - 11 тыс.руб/т,

Оптовая цена 1 т., кокса - 3, 05тыс.руб.,

Плановая выработка на одного среднесписочного рабочего цеха - 319 т/чел-год.,

Среднесписочная численность трудящихся завода по плану - 39326 чел.,

Поправочный коэффициент к затратам на обучение - 0, 4.

Увеличение годового объема производства чугуна составляет 70000 т. . Тогда при ставке постоянных расходов 11 тыс.руб./т условно-годовая экономия на постоянных расходах составит 770000 000руб (70000× 11000=770000000).

Годовая экономия кокса будет равна 10500 т. (30× 350=10500), что в денежном выражении составит 3202500 руб. (10500× 350=3202500).

Общая условно-годовая экономия от снижения себестоимости будет равна 3972500 руб. (770000+3202500=3972500), а с учетом затрат на проведение курсов 3972100 руб. (3972500-0, 4× 1000=3972100).

Условное высвобождение численности рабочих при плановой выработке на одного рабочего в год 7000 т составит

Рост производительности труда в целом по заводу будет равен:

Рассмотрим влияние повышения квалификации на улучшение качества продукции.

Увеличение качества продукции в результате повышения квалификации рабочих чаще всего выражается в сокращении брака и повышении сортности продукции, обеспечении выполнения особых условий поставки и др.

Экономическая эффективность сокращения брака рассчитывается следующим образом:

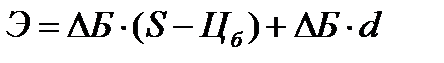
а) условно-годовая экономия от уменьшения брака и соответствующего увеличения выпуска годной продукции определяется по формуле:

(3.4)

где Э – условно-годовая экономия, руб.;

D Б – уменьшение брака продукции в результате обучения рабочих, единиц;

S – себестоимость единицы продукции до обучения рабочих, руб.;

Цб – цена единицы бракованной продукции, по которой она реализуется цехам своего предприятия или на сторону, руб.

б) Условное высвобождение численности рабочих и рост производительности труда рассчитывается по формулам (3.2) и (3.3).

Экономическая эффективность от повышения сортности выпускаемой продукции рассчитывается по формуле:

(3.5)

где П – рост прибыли предприятия за счет увеличения выхода продукции 1 сорта;

D Р1 – увеличение выпуска продукции 1 сорта, единиц;

Ц1 – оптовая цена единицы продукции 1 сорта, руб;

Ц2 – цена единицы продукции ІІ сорта, руб; [12].

В цехе ЛП «1700» после перевода производства на выпуск нового вида листа брак составил 10% от общего производства товарной продукции, выход І сорта – 60%, ІІ сорта – 30%. Для повышения качества продукции были организованы курсы целевого назначения. За три месяца после проведения курсов брак продукции сократится в среднем до 4;, выход листопрокатаІ сорта увеличилось до 80%. Затраты на организацию курсов составили 600 тыс.руб.

Экономическая эффективность улучшения качества листа в данном случае выражается в:

- условно-годовой экономии за счет сокращения брака и соответствующего увеличению выпуска годных листов.

- увеличение прибыли предприятия за счет сокращения брака и увеличении выхода продукции І сорта;

- повышении производительности труда за счет увеличения выпуска годной продукции.

При расчете показателей из следующих цеховых данных:

- плановый выпуск листопрокатов данного вида - 175, 468 т/год;

- плановая себестоимость листа - 581 руб/т;

- цена брака - 23 руб/т;

- ставка постоянных расходов - 13, 19 руб/т;

- оптовая цена листопрокатаІ сорта - 819 руб/т;

- оптовая цена листопрокатаІІ сорта - 796 руб/т;

- плановая выработка листопроката на одного среднесписочного

рабочего - 16 т/чел. год;

- среднесписочное количество трудящихся предприятия - 39326 чел.;

- поправочный коэффициент на обучение - 0, 4.

Решение.

Уменьшение брака с 10% до 4% составит 33 т. , что

равносильно такому же повышению годового выпуска продукции.

По формуле (3.6) определим условно-годовую экономию на себестоимости:

а с учетом затрат на организацию курсов 18240 руб. (18480-0, 4× 600=18241 руб)

Выход продукции І сорта увеличился на 20% (80-60=20), что в натуральном выражении составит

При разнице в цене продукции І и ІІ сорта в 5 раз рост прибыли предприятия за счет увеличения выхода І сорта будет равен:

42× 23=966 руб.

Условное высвобождение численности рабочих при плановой выработке

в 16 т в год будет равно , что приведет к росту производительности труда в целом по заводу на:

Выводы:

1. Экономический эффект за счет повышения коэффициента квалификации с 0, 84 до 0, 93 в цехе сетей и подстанций составил 723, 5 тыс. руб.

2. Условно-годовая экономия от подготовки газовщиков доменного цеха составит 3976 тыс.руб., высвобождается 219 человек и повышается производительность труда в цехе на 0, 56%.

3. За счет организации кадров целевого назначения в цехе ЛП 1700 брак снизился с 10 до 4%, годовой эффект составил 18, 2 тыс. руб.

 

На основании поведенного анализа мы можем предложить следующие мероприятия по совершенствованию профессионально-технического обучения трудящихся.

1. Пересмотреть содержание учебных программ на соответствие их содержания потребностям рабочего места:

- для технологического персонала основного производства;

- ремонтного персонала;

- для технологического персонала вспомогательных цехов.

2. Подготовить сценарий для съемки учебных видеофильмов:

- производство ремонтных работ в условиях повышенной опасности;

- производство работ на объектах газового хозяйства;

- производство работ на котельных установках.

3. Отснять видеофильмы по указанным сценариям.

4. Увеличить количество семинаров среди руководящих работников и специалистов по курсу «Психология взаимоотношений и этика поведения руководителя».

5. Ввести в систему, что присвоение от 5 и выше квалификационного разряда возможно при наличии 2-ой профессии.

6. Организовать на договорных началах с УКК изготовление собственными силами тренажеров, электрифицированных схем, макетов, видеофильмов и прочих наглядных пособий.

7. Ввести учебные аудитории в цехах.

8. Не допускать роста индивидуальной формы подготовки кадров в цехах при этом активно использовать формирование групп из родственных профессий, а также за счет удлинения срока комплектования учебных групп до 2-х месяцев.

9.Улучшеить качественный состав преподавателей теоретического обучения.

Наличие на предприятиях и в организациях подготовленных в соответствии с современными требованиями нештатных преподавателей теоретического обучения является одним из обязательных условий эффективной работы по подготовке и повышению квалификации рабочих кадров. Осознание этого требует плановой и целенаправленной работы по улучшению качественного состава этой категории специалистов. Для повышения качественного состава нештатных преподавателей необходимо проводить методические семинары, открытые уроки и т.д.

Качество подготовки квалифицированных рабочих во многом зависит от уровня методической работы, организуемой отделом подготовки кадров. Поэтому следующим предполагаемым мероприятием является проведение в различных организационных формах методической работы. К ним относятся:

1. Методические семинары проводят по 40-часовой учебной программе с целью овладения знаниями по педагогике, психологии, обменом опытом, улучшении методики организации учебного процесса и др.

Необходимо увеличить количество семинаров среди руководителей и специалистов по курсу «Психология взаимоотношений и этика поведения руководителей».

К проведению семинаров привлекаются ведущие специалисты комбинатов, также работники вузов, отраслевых учебно-методических центров.

2. Методические совещания организуются и проводятся работниками ОПК, как правило, для цеховых организаторов нештатных преподавателей, теоретического и инструкторов производственного обучения.

Наиболее типичными вопросами, выносимыми на совещание, являются: ход выполнения планов по планово-экономическому обучению, качество проводимых занятий, состояние контроля за учебным процессом.

3. Открытые уроки проводятся с целью повышения качества учебного процесса, изучения и внедрение в широкую практику трудового опыта.

Участие в такой форме повышения педагогического мастерства довольно значительного контингента специалистов, привлекаемых к обучению рабочих, последующее обсуждение открытых уроков и контроль со стороны ОПК за внедрением передового опыта, делает их весьма эффективными в деле как повышения педагогического мастерства отдельных преподавателей, так и повышение уровня учебного процесса в целом.

Планирование обучения персонала охватывает мероприятия по обучению внутри и вне организации и самоподготовке.

Планирование обучения персонала позволяет использовать собственные производственные ресурсы работающих без поиска высококвалифицированных кадров на внешнем рынке труда. Кроме того, такое планирование создает условия для мобильности, мотивации и само регуляции работника. Оно ускоряет процесс адаптации работника к изменяющимся условиям производства на том же самом рабочем месте.

 

 


 

Заключение

 

Подготовка и повышение квалификации работников в настоящее время должны носить непрерывный характер и проводиться в течение всей трудовой деятельности. Предприятия должны рассматривать затраты на подготовку персонала как инвестиции в основной капитал, которые позволяют наиболее эффективно использовать новейшие технологии.

Подготовка кадров заключается в обучении трудовым навыкам, нужным для качественного выполнения работы. Для эффективности непрерывного обучения нужно, чтобы работники были в нем заинтересованы. Администрации нужно создать климат, благоприятствующий обучению.

Нами рассматривалась система подготовки кадров на примере ОАО «Новолипецкий металлургический комбинат», где проходима преддипломная практика. Численность работников предприятия за последние 5 лет увеличилась и достигла 13045 человек. Это связано с тем, что построены и открыты такие цеха как «СУ Энергоремонт», ЦРЭМО № 4-6; известково-обжиговый цех, а также приобретенная в селе Донском Химико-металлургическая фабрика. За этот период подготовка и переподготовка персонала была максимальной и составила в 2014 году 12000 человек.

Нами показано, что на предприятии создана стройная система подготовки кадров. Однако в последние годы отмечалось снижение численности подготовленного на предприятии персонала.

Не во всех цехах имеются учебные классы. Фактические затраты на подготовку кадров меньше плановых и являются явно недостаточными. В целом учебно-материальная база комбината слабая из-за недостатка выделяемых средств.

На основании поведенного анализа мы можем предложить следующие мероприятия по совершенствованию профессионально-технического обучения трудящихся.

1. Пересмотреть содержание учебных программ на соответствие их содержания потребностям рабочего места:

- для технологического персонала основного производства;

- ремонтного персонала;

- для технологического персонала вспомогательных цехов.

2. Подготовить сценарий для съемки учебных видеофильмов:

- производство ремонтных работ в условиях повышенной опасности;

- производство работ на объектах газового хозяйства;

- производство работ на котельных установках.

3. Отснять видеофильмы по указанным сценариям.

4. Увеличить количество семинаров среди руководящих работников и специалистов по курсу «Психология взаимоотношений и этика поведения руководителя».

6. Ввести в систему, что присвоение от 5 и выше квалификационного разряда возможно при наличии 2-ой профессии.

7. Организовать на договорных началах с УКК изготовление собственными силами тренажеров, электрифицированных схем, макетов, видеофильмов и прочих наглядных пособий.

8. Ввести учебные аудитории в цехах.

9. Не допускать роста индивидуальной формы подготовки кадров в цехах при этом активно использовать формирование групп из родственных профессий, а также за счет удлинения срока комплектования учебных групп до 2-х месяцев.

10.Улучшеить качественный состав преподавателей теоретического обучения.

Качество подготовки квалифицированных рабочих во многом зависит от уровня методической работы, организуемой отделом подготовки кадров. Поэтому следующим предполагаемым мероприятием является проведение в различных организационных формах методической работы. К ним относятся:

а. Методические семинары проводят по 40-часовой учебной программе с целью овладения знаниями по педагогике, психологии, обменом опытом, улучшении методики организации учебного процесса и др.

Необходимо увеличить количество семинаров среди руководителей и специалистов по курсу «Психология взаимоотношений и этика поведения руководителей».

К проведению семинаров привлекаются ведущие специалисты комбинатов, также работники вузов, отраслевых учебно-методических центров.

б. Методические совещания организуются и проводятся работниками ОПК, как правило, для цеховых организаторов нештатных преподавателей, теоретического и инструкторов производственного обучения.

Наиболее типичными вопросами, выносимыми на совещание, являются: ход выполнения планов по планово-экономическому обучению, качество проводимых занятий, состояние контроля за учебным процессом.

в. Открытые уроки проводятся с целью повышения качества учебного процесса, изучения и внедрение в широкую практику трудового опыта.

Участие в такой форме повышения педагогического мастерства довольно значительного контингента специалистов, привлекаемых к обучению рабочих, последующее обсуждение открытых уроков и контроль со стороны ОПК за внедрением передового опыта, делает их весьма эффективными в деле как повышения педагогического мастерства отдельных преподавателей, так и повышение уровня учебного процесса в целом.

Планирование обучения персонала охватывает мероприятия по обучению внутри и вне организации и самоподготовке. Планирование обучения персонала позволяет использовать собственные производственные ресурсы работающих без поиска высококвалифицированных кадров на внешнем рынке труда. Кроме того, такое планирование создает условия для мобильности, мотивации и саморегуляции работника. Оно ускоряет процесс адаптации работника к изменяющимся условиям производства на том же самом рабочем месте.

Повышение квалификации является одним из важнейших направлений подготовки кадров. Нами был рассмотрен эффект от повышения квалификации в отдельных цехах комбината. Экономический эффект за счет повышения коэффициента квалификации с 0, 84 до 0, 93 в цехе сетей и подстанций составил 723, 5 тыс. руб. Условно-годовая экономия от подготовки газовщиков доменного цеха составил 3976 тыс. руб., высвобождается 219 человек и повышается производительность труда в цехе на 0, 56%. За счет организации курсов целевого назначения в цехе ЛП 1700 брак снизился с 10% до 4% годовой эффект составил 18, 2 тыс. руб.

Таким образом, наглядно видна эффективность предлагаемых мероприятий, позволяющих заметно увеличить производительность труда, уменьшить процент брака на производстве, сделать возможным внедрение различных инноваций, что, безусловно, повысит конкурентоспособность продукции предприятия как на внешнем, так и на внутреннем рынке.

При этом следует отметить, что в отличие от реконструкции основных фондов, процесс обучения и повышения квалификации персонала требует не столь значительных инвестиций, потому что он происходит на основе базы, созданной за долгие годы.

 


Поделиться с друзьями:

mylektsii.su - Мои Лекции - 2015-2026 год. (0.504 сек.)Все материалы представленные на сайте исключительно с целью ознакомления читателями и не преследуют коммерческих целей или нарушение авторских прав Пожаловаться на материал