Студопедия

Главная страница Случайная страница

КАТЕГОРИИ:

АвтомобилиАстрономияБиологияГеографияДом и садДругие языкиДругоеИнформатикаИсторияКультураЛитератураЛогикаМатематикаМедицинаМеталлургияМеханикаОбразованиеОхрана трудаПедагогикаПолитикаПравоПсихологияРелигияРиторикаСоциологияСпортСтроительствоТехнологияТуризмФизикаФилософияФинансыХимияЧерчениеЭкологияЭкономикаЭлектроника






Индукционные датчики магнитного поля Земли и их расчет

 

В большинстве авиационных компасов в качестве датчика используют магнитные зонды, выполненные в виде стержня с соответствующими обмотками, располагаемые в определен­ном порядке на горизонтальной плате, с которых снимаются напряжения, зависящие от курса полета самолета.

В качестве материала для зонда использован пермаллой, обладающий способностью существенно изменять величину своей относительной магнитной проницаемости от десятков, тысяч до сотен по мере изменения напряженности внешнего магнитного поля от 0 до наибольшего значения, что создает возможность «зондирования» магнитного поля Земли, используемое в индукционных компасах.

Внесение такого пермаллоевого стержня в магнитное по­ле Земли, напряженностью H приводит к искажению карти­ны его силовых линий.

 

 

Рис. 6.1. Концентрация поля в стержне из ферромагнитного материала.

 

Силовые линии как бы втягиваются в тело стержня, так как его магнитная проницаемость значи­тельно выше, чем окружающей среды.

Картина искажения поля приведена на рис. 6.1.

При достаточно большой длине стержня по сравнению с его поперечными размерами магнитная индукция в средней его части может достигнуть значения, равного

B = µH,

где В — магнитная индукция;

µ —магнитная проницаемость материала;

H — напряженность магнитного поля.

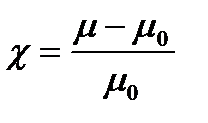
В этом выражении под µ подразумевается

или ,

где µ0 — магнитная проницаемость пустоты;

— магнитная восприимчивость вещества;

µ r —относительная магнитная проницаемость вещества.

Таким образом,

,

где J — намагниченность вещества.

Из этого выражения видно, что значение магнитной ин­дукции в центральной части стержня слагается из значения ее при отсутствии стержня — µ0H и дополнительной индук­ции, вызванной намагничиванием стержня — µ0J.

Однако при конечной длине стержня в результате размаг­ничивающего действия его концов внутри него возникает поле напряженностью C, направленное навстречу полю Я. В ре­зультате этого магнитное поле в любом поперечном сечении стержня приобретает напряженность, равную

H0 = H—Hi.

Значение напряженности размагничивающего поля Hi различно по длине стержня, а в средней части (нейтральная зона) равно 0. Среднее значение напряженности Hi опреде­ляется величиной объемного намагничивания материала J соотношением

Hi=NJ,

где N — коэффициент размагничивания, зависящий от фор­мы и размеров стержня.

Подставляя вместо Hi его значение, получаем

;

,

то есть

,

но

,

откуда

,

тогда

.

Величина магнитной индукции в стержне равна

,

где µ0H = В0 — значение магнитной индукции в пространстве, занятом телом в том случае, если бы оно не было внесено в него. То есть

 

.

Если поперечное потоку сечение стержня обозначить че­рез q, то магнитный поток через него определится значением

,

но

B0q=Ф0 - поток, проходящий через сечение, занятое стерж­нем до его внесения.

Тогда

или

.

В этом выражении D характеризует степень концентрации внешнего магнитного поля внутри стержня, показывая во сколько раз увеличилась величина потока через заданное сечение после внесения в него ферромагнитного стержня. Величину D в дальнейшем будем называть коэффициентом концентрации потока, который всегда больше единицы для ферромагнитных тел µ> > µ0

Значение коэффициента размагничивания N может быть определено из выражения

,

где р — коэффициент растянутости стержня, равный

,

где l — длина стержня;

d — диаметр стержня.

В приведенном выражении для N эмпирический коэффи­циент С зависит в свою очередь от соотношения размеров стержня. При р порядка 100÷ 150 и выше можно принимать С≈ 45. Изменение этого коэффициента С в зависимости от р приведено на рис. 6.2.

Рис. 6.2. График значений коэффициента С.

Исследование стержней, имеющих прямоугольные и другие сечения, отличные от круглых, показали, что при значительной растянутости их значение С практически совпадает с приведенными на рис. 6.2, если применяемые профили пересчитать на круглые сечения, эквивалентные по площадям.

Из полученного выражения для потока

Ф = ВФ0,

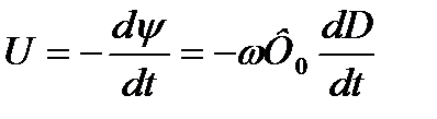
где D = f(µ), видно, что, если каким-то образом заставить из­меняться магнитную проницаемость µ, это приведет к изменению внешнего магнитного поля Ф, созданного напряженностью Н. Такое изменение магнитного поля при меняющейся магнитной проницаемости может наводить в обмотке с числом витков до, надетой на стержень, э. д. с, величина которой определится по закону электромагнитной индукции из соотношения

.

Как известно, под динамической магнитной проницаемо­стью µ понимают

.

Отсюда следует, что, если задана кривая намагничивания выбранного материала стержня B = f(H), значение магнитной

 

 

<== предыдущая лекция | следующая лекция ==>
Магнитные цепи постоянного и переменного тока | Использование быстрой маски
Поделиться с друзьями:

mylektsii.su - Мои Лекции - 2015-2026 год. (8.892 сек.)Все материалы представленные на сайте исключительно с целью ознакомления читателями и не преследуют коммерческих целей или нарушение авторских прав Пожаловаться на материал