Студопедия

Главная страница Случайная страница

КАТЕГОРИИ:

АвтомобилиАстрономияБиологияГеографияДом и садДругие языкиДругоеИнформатикаИсторияКультураЛитератураЛогикаМатематикаМедицинаМеталлургияМеханикаОбразованиеОхрана трудаПедагогикаПолитикаПравоПсихологияРелигияРиторикаСоциологияСпортСтроительствоТехнологияТуризмФизикаФилософияФинансыХимияЧерчениеЭкологияЭкономикаЭлектроника






Механизм химической реакции. Простые и сложные реакции.






В химической реакции не всегда происходит непосредственное превращение исходных молекул в молекулы продуктов реакции. В боль­шинстве случаев реакция протекает в несколько стадий. Сово­купность стадий, из которых состоит химическая реакция, назы­вают механизмом химической реакции. При изучении химических превращений в первую очередь следует устанавливать механизм химической реакции, поскольку именно он обусловливает кон­кретный вид кинетического уравнения.

Стехиометрическое уравнение химической реакции, как известно, показывает, в каких количественных соотношениях вещества всту­пают во взаимодействие. Однако фактически реакция редко проте­кает по схеме, описываемой стехиометрическим уравнением. Напри­мер, реакция взаимодействия водорода и брома записывается стехио­метрическим уравнением:

Н2 +Br2 = 2HBr (8.19)

В действительности же реакция протекает по более сложной схе­ме:

Br2 = 2 Br

Br + Н2 = HBr + Н

Н + Br2 = HBr + Br (8.20)

Н + HBr = Н2 + Br

2 Br = Br2

Таким образом, стехиометрическое уравнение (8.19) отражает суммарный эффект ряда реакций (8.20). Следовательно, о меха­низме реакции нельзя судить только по ее стехиометрическому урав­нению. Практически механизм реакции устанавливается опытным путем. С этой целью формулируют наиболее вероятные гипотезы механизма изучаемой реакции и выбирают ту из них, которая лучше всего соответствует опытным данным, полученным для указанной реакции.

Наиболее простым является механизм реакции, которая протека­ет в одну стадию. Химические реакции, протекающие в одну стадию, т. е. осуществляющиеся путем прямого перехода реагирующих ча­стиц в продукты реакции, называются элементарными реакциями. Каждая элементарная реакция складывается из большого числа одинаковых повторяющихся превращений исходных частиц – эле­ментарных актов химического превращения. Реакции, в элемен­тарном акте которых участвуют одна, две или три частицы, назы­ваются соответственно мономолекулярными, бимолекулярными и тримолекулярными. Реакции более высокой молекулярности практически не встречаются.

Для элементарных реакций стехиометрические уравнения всег­да выражают истинный механизм химического превращения и, следовательно, определяют кинетические уравнения в виде степен­ной зависимости. Для элементарных реакций порядок реакции и ее молекулярность совпадают.

При отсутствии прямой связи между стехиометрическими и кинетическими уравнениями реакции являются неэлементарными, их стехиометрические уравнения не отвечают истинному механизму химического превращения. Примером неэлементарной реакции служит взаимодействие водорода и брома. По виду стехиометрического урав­нения (8.19) такую реакцию можно было бы считать элементарной, но ее стехиометрическое уравнение не описывает истинный меха­низм реакции, о чем свидетельствует экспериментально установлен­ное для этого превращения следующее кинетическое уравнение:

(8.21)

где: k1 и k2 – константы скоростей элементарных реакций, охваты­вающие все пять элементарных стадий. Очевидно, уравнение (8.21), которое достаточно точно описывает опытные данные, нельзя полу­чить непосредственным применением закона действующих масс к стехиометрическому уравнению реакции (8.19). В рассмотренной реакции, как и во всех других одностадийных неэлементарных реакциях стехиомет­рическое уравнение отражает суммарный эффект ряда элементарных реакций.

По количеству стехиометрических уравнений, необходимых для описания химического превращения, различают простые и сложные реакции. Если одного стехиометрического уравнения достаточно, чтобы описать протекание данной реакции, то ее относят к простым реакциям. Если же для описания наблюдаемого течения реакции необходимо несколько стехиометрических и кинетических уравне­ний, то ее относят к сложным реакциям. Сложные реакции разделя­ют на последовательные, параллельные и смешанные.

Приведем примеры простых элементарных реакций и соответ­ствующие им кинетические уравнения:

 

Большинство химических реакций являются сложными, т. е. такими, которые протекают в несколько стадий и при этом могут иметь прямое и обратное направления. Составление кинетических уравнений сложных процессов основано на независимом протека­нии элементарных реакций. Согласно этому принципу, величина константы скорости химической реакции не зависит от того, протекают ли в данной системе одновременно и другие элементарные реакции.

В сложном химическом процессе одно и то же вещество может принимать участие в качестве исходного или конечного компонента на различных стадиях. Поэтому при составлении кинетических урав­нений сложной реакции ее представляют состоящей из нескольких независимо протекающих элементарных реакций и для описания каждой из них используют кинетические закономерности элементар­ного акта химического превращения.

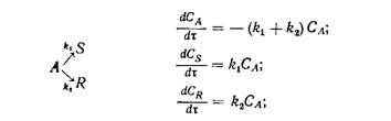
Полное изменение концентрации i -го компонента сложной ре­акции будет алгебраической суммой скоростей его образования или расходования на всех элементарных стадиях, где участвует в реак­ции этот компонент. Сложные реакции математически описыва­ются системами дифференциальных кинетических уравнений, коли­чество которых определяется числом реагирующих веществ. При­ведем примеры сложных химических реакций и соответствующие им кинетические уравнения:

последовательная реакция

параллельная реакция

смешанная реакция

Здесь k1, k2, k3 – константы скорости реакции соответствующих стадий.

Аналитическое решение кинетических уравнений даже простых реакций требует громоздких вычислений, а в ряде случаев вообще невозможно. В литературе приводятся точные решения кинетических уравнений некоторых сложных реакций, стехиометрические коэф­фициенты которых равны единице (см. таблицу 8.1). Для сложных реакций, описываемых системами кинетических дифференциальных уравне­ний (как правило, нелинейных), найти решение аналитическим спо­собом крайне затруднительно.

При изучении реакций, кинетические уравнения которых не поддаются аналитическому решению, исследователи вынуждены бы­ли применять методы приближенного численного интегрирования. Однако эти методы громоздки и требуют большого объема вычи­слительной работы. По указанным причинам нередко приходилось вообще отказываться от аналитического решения задачи и поль­зоваться лишь эмпирическими данными.

В настоящее время при изучении кинетики химических реакций (особенно сложных) используют компьютеры и современное программное обеспечение, которые позволяют получать решения кинетических уравнений путем моделирования про­цесса химического превращения. Созданы современные методики планирования эксперимента, позволяющие сократить количество трудоемких и длительных экспериментов, что значитель­но облегчает и ускоряет работу исследователя. Но главное преимущество состоит в том, что на ЭВМ можно решать и те задачи, для которых точное аналитическое решение невозможно, а приближенное слиш­ком трудоемко, и связано с большими затратами времени.

Таблица 8.1.


Поделиться с друзьями:

mylektsii.su - Мои Лекции - 2015-2026 год. (1.873 сек.)Все материалы представленные на сайте исключительно с целью ознакомления читателями и не преследуют коммерческих целей или нарушение авторских прав Пожаловаться на материал