Студопедия

Главная страница Случайная страница

КАТЕГОРИИ:

АвтомобилиАстрономияБиологияГеографияДом и садДругие языкиДругоеИнформатикаИсторияКультураЛитератураЛогикаМатематикаМедицинаМеталлургияМеханикаОбразованиеОхрана трудаПедагогикаПолитикаПравоПсихологияРелигияРиторикаСоциологияСпортСтроительствоТехнологияТуризмФизикаФилософияФинансыХимияЧерчениеЭкологияЭкономикаЭлектроника






Лабораторная работа №2.






 

Тема: создание консольного приложения для реализации разветвляющегося алгоритма.

Цель: приобретение навыков программирования разветвляющихся алгоритмов.

 

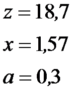
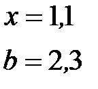
№ варианта Задание Исходные данные Данные, выводимые на печать
       

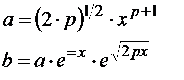
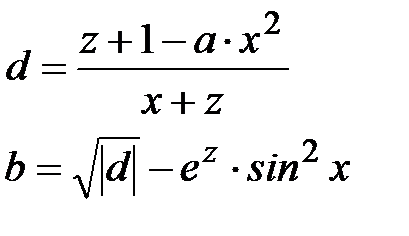
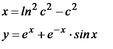
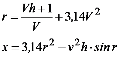
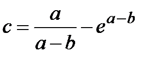
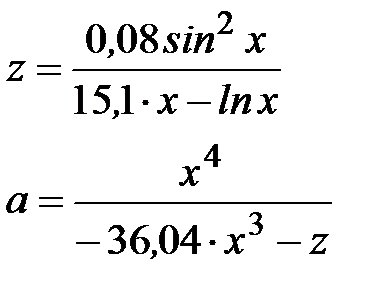
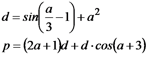
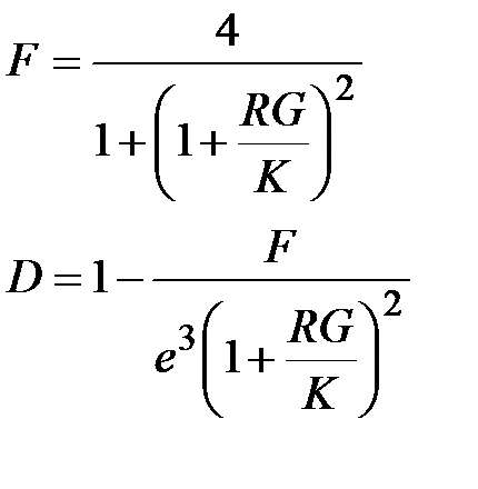
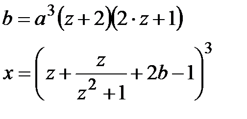
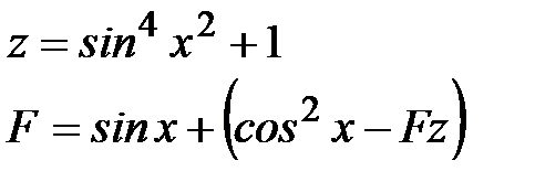
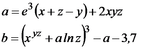
Математическая модель:

 

 

Текст программы

 


 

Часть ІV Варианты заданий для лабораторных работ

№ п/п Задания Исходные данные Данные, выводимые на печать
       
 
 
 
 
 

 

       
 
 
 
 
 
 
 

 

       
 
 
 
 
 
 
 

 

       
 
 
 
 
 
 
 
       
 
 
 
 

 


Поделиться с друзьями:

mylektsii.su - Мои Лекции - 2015-2026 год. (0.919 сек.)Все материалы представленные на сайте исключительно с целью ознакомления читателями и не преследуют коммерческих целей или нарушение авторских прав Пожаловаться на материал