Студопедия

Главная страница Случайная страница

КАТЕГОРИИ:

АвтомобилиАстрономияБиологияГеографияДом и садДругие языкиДругоеИнформатикаИсторияКультураЛитератураЛогикаМатематикаМедицинаМеталлургияМеханикаОбразованиеОхрана трудаПедагогикаПолитикаПравоПсихологияРелигияРиторикаСоциологияСпортСтроительствоТехнологияТуризмФизикаФилософияФинансыХимияЧерчениеЭкологияЭкономикаЭлектроника






Основные схемы включения человека в электрическую цепь






Трёхфазная трёхпроводная электрическая сеть переменного тока с изолированной нейтралью (в системе IT).

Двухфазное прикосновение к токоведущим частям (рис. 3).

 

Рис. 3. Двухфазное (двухполюсное) прикосновение к токоведущим частям в системе IT

 

Uф – фазное напряжение; Ih – сила тока, протекающего через человека;

Rh – сопротивление человека; L1, L2, L3 – фазные проводники.

Сила тока (Ih, А), протекающего через человека, определяется по формуле

 

, (16)

 

где Uл – линейное напряжение, В;

Uф – фазное напряжение, В;

Rh – сопротивление человека, Ом.

Например, в электросети с линейным напряжением 380 В (Uф = 220 В) при сопротивлении тела человека 1000 Ом сила тока, протекающего через человека, составляет:

 

.

 

Эта сила тока смертельно опасна для человека.

При двухфазном прикосновении ток, проходящий через человека, практически не зависит от режима работы нейтрали. Опасность прикосновения не уменьшится и в том случае, если человек будет надёжно изолирован от земли.

Однофазное прикосновение (рис.4.) происходит во много раз чаще, чем двухфазное, но оно менее опасно, поскольку напряжение, под которым оказывается человек, не превышает фазного, т.е. меньше линейного в 1, 73 раза и, кроме того, ток, протекающий через человека, возвращается к источнику (электросети) через изоляцию проводов, которая в исправном состоянии обладает большим сопротивлением.

 

Рис.4. Однофазное (однополюсное) прикосновение к токоведущим частям в системе IT

r1, r2, r3 – сопротивление изоляции проводов электросети; с1, с2, с3 – ёмкость проводов электросети

Сила тока (Ih, А), протекающего через человека, для этого случая определяется по формуле

 

(17)

 

где Rп – переходное сопротивление, Ом (сопротивление пола, на котором стоит человек и обуви); Z – сопротивление изоляции фазного провода относительно земли, Ом (активная и емкостная составляющие).

В наиболее неблагоприятной ситуации, когда человек имеет токопроводящую обувь и стоит на токопроводящем полу (Rп ~ 0), сила тока, протекающего через тело, определяется по формуле

 

если Uф = 220 В, Rh = 1 кОм, Z = 90 кОм, то Ih = 220/(1000 + (90000 / 3)) = 0, 007 А (7 мА).

 

Трёхфазная четырёхпроводная электрическая сеть переменного тока с заземлённойнной нейтралью (в системе TN).

Однофазное прикосновение к токоведущим частям.

 

Рис.5. Однофазное (однополюсное) прикосновение к токоведущим частям в системе TN


R0 – сопротивление заземления нейтрали электросети

В четырёхпроводной электрической сети переменного тока с глухозаземлённой нейтралью (система TN) ток, проходящий через человека, возвращается к источнику (электросети) не через изоляцию проводов, как в предыдущем случае, а через сопротивление заземления нейтрали (R0) источника тока (рис. 5). Сила тока, проходящего через тело человека, определяется при этом по формуле:

 

(19)

 

где R0 – сопротивление заземления нейтрали источника тока, Ом.

Сопротивление заземляющего устройства, к которому присоединена нейтраль источника тока, в любое время года должно быть не более 2, 4 и 8 Ом соответственно при линейных напряжениях 660, 380 и 220 В. Это сопротивление должно быть обеспечено с учётом использования естественных заземлителей, а также заземлителей повторных заземлений PEN- или PE-проводника воздушных линий электропередач (ВЛ) напряжением до 1 кВ. Сопротивление заземлителя, расположенного в непосредственной близости от нейтрали источника тока, должно быть не более 15, 30 и 60 Ом соответственно при тех же линейных напряжениях 660, 380 и 220 В.

Пример. В наиболее неблагоприятной ситуации, рассмотренной выше, при Uф = 220 В, Rh = 1000 Ом, Rп ~ 0 Ом R0 = 30 Ом сила тока, протекающего через тело человека, составит:

Ih = 220/1000 + 30 = 0, 214 А (214 мА), что смертельно опасно для человека.

Если обувь не токопроводящая (например, резиновые галоши с сопротивлением 45 кОм) и человек стоит на не токопроводящем полу (например, деревянный пол с сопротивлением 100 кОм), т.е. Rп = 145 кОм, то сила тока, протекающего через тело человека, составит:

Ih = 220/1000 + 60 + 145000 = 0, 0015 А (1, 5 мА), что опасности для человека не представляет.

Таким образом, при прочих равных условиях прикосновение человека к одному фазному проводу электросети сети с изолированной нейтралью менее опасно, чем в электросети с заземлённой нейтралью.

Рассмотренные выше схемы включения человека в электрическую цепь трёхфазного переменного тока справедливы для нормальных (безаварийных) условий работы электрических сетей.

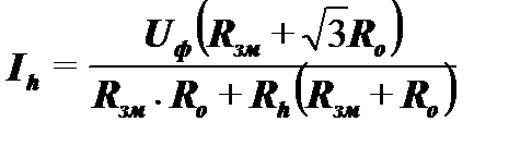
В аварийном режиме работы трёхфазной электрической сети переменного тока один из фазных проводов, например, электросети с заземлённой нейтралью (в системе TN) может быть замкнут на землю (при срабатывании системы защитного заземления, падении фазного провода на землю и т.п.) через сопротивление Rзм (рис. 6).

 

Рис. 6. Однофазное (однополюсное) прикосновение к токоведущим частям в аварийном режиме работы электросети.

 

Rзм – сопротивление замыкания фазного провода (L2) на землю

Сила тока, проходящего через тело человека, касающегося в этой ситуации одного из исправных фазных проводов (L1, L3), определяется из уравнения

, (20)

 

где Rзм – сопротивление замыкания фазного провода на землю, Ом.

Если при этом Rзм ~ 0 или намного меньше и R0, и Rh, то им можно пренебречь, тогда сила тока, проходящего через тело человека, будет определяться по формуле

 

, (21)

 

т. е. человек будет включаться в электрическую цепь двухфазно, причём вторая фаза подключается к нему через ноги и на величину Ih будет оказывать существенное влияние переходное сопротивление Rп.

При напряжениях до 1000 В в производственных условиях широкое распространение получили обе рассмотренные выше схемы трехфазных электрических сетей переменного тока: трёхпроводная с изолированной нейтралью (система IT) и четырёхпроводная с заземлённой нейтралью (система TN).

Электрическую сеть с изолированной нейтралью целесообразно применять в тех случаях, когда имеется возможность поддерживать высокий уровень сопротивления изоляции фазных проводов и незначительную ёмкость последних относительно земли. Такими являются электрические сети малоразветвлённые, не подверженные воздействию агрессивной среды и находящиеся под постоянным надзором квалифицированного персонала. Так, например, в угольных шахтах используются только электросети с изолированной нейтралью.

Электрическую сеть с заземлённой нейтралью следует применять там, где невозможно обеспечить хорошую изоляцию проводов (например, из-за высокой влажности или агрессивной среды), когда нельзя быстро отыскать или устранить повреждение изоляции, либо когда ёмкостные токи электросети вследствие значительной её разветвлённости достигают больших значений, опасных для человека.

При напряжении выше 1000 В по технологическим причинам электрические сети напряжением до 35 кВ включительно имеют изолированную нейтраль, свыше 35 кВ – заземлённую. Поскольку такие электросети имеют большую ёмкость проводов относительно земли, для человека одинаково опасным является прикосновение к их фазным проводам независимо от режима работы нейтрали энергоисточника. Поэтому режим работы нейтрали электросети напряжением выше 1000 В по условиям безопасности не выбирается.

 


Поделиться с друзьями:

mylektsii.su - Мои Лекции - 2015-2026 год. (1.895 сек.)Все материалы представленные на сайте исключительно с целью ознакомления читателями и не преследуют коммерческих целей или нарушение авторских прав Пожаловаться на материал