Студопедия

Главная страница Случайная страница

КАТЕГОРИИ:

АвтомобилиАстрономияБиологияГеографияДом и садДругие языкиДругоеИнформатикаИсторияКультураЛитератураЛогикаМатематикаМедицинаМеталлургияМеханикаОбразованиеОхрана трудаПедагогикаПолитикаПравоПсихологияРелигияРиторикаСоциологияСпортСтроительствоТехнологияТуризмФизикаФилософияФинансыХимияЧерчениеЭкологияЭкономикаЭлектроника






Расчет метрологических характеристик. 4.1.Расчет метрологических характеристик шкалы градуировочных растворов.






4.1.Расчет метрологических характеристик шкалы градуировочных растворов.

 

Раствор №2.

V1 - объем мерной колбы (10 см3)

V1 - предел допустимой погрешности объема мерной колбы (0.05 см3)

V2 - объем пипетки с делениями (5 см3)

V2 - предел допустимой погрешности объема мерной колбы (0.05 см3)

V3 - объем дозы АС бензола(1см3 )

V3 -предел допустимой погрешности объема дозатора (0, 01см3 )

N -предел допустимой погрешности весов(0, 1мг)

m -массовая концентрация бензола в АС, (7, 98мг/см3)

m -границы абсолютной погрешности АС бензола (0, 01874)

М20 -масса пустой мерной колбы на 10см3=12825, 6 мг

Мi2i-1 -масса мерной колбы на 10см3 с 5 см3 муравьиной кислоты=18894, 1 мг.

Мi2 -масса мерной колбы на 10см3 с 5 см3 муравьиной кислоты + АС=20112, 3 мг.

М2 -масса мерной колбы на 10см3 доведённой до метки муравьиной кислотой=25820, 5мг.

 

Раствор №3.

 

V1 - объем мерной колбы (10 см3)

V1 - предел допустимой погрешности объема мерной колбы (0.05 см3)

V2 - объем пипетки с делениями (5 см3)

V2 - предел допустимой погрешности объема мерной колбы (0.05 см3)

V3 - объем дозы АС бензола(0, 1см3 )

V3 -предел допустимой погрешности объема дозатора (0, 0015см3 )

n -предел допустимой погрешности весов(0, 1мг)

m -массовая концентрация бензола в АС, (7, 98мг/см3)

m -границы абсолютной погрешности АС бензола (0, 01874)

Мi3i-1 -масса мерной колбы на 10см3 с 5 см3 муравьиной кислоты=19112, 8 мг.

Мi3 -масса мерной колбы на 10см3 с 5 см3 муравьиной кислоты + АС=19232, 8 мг.

 

 

Раствор №4.

 

V1 - объем мерной колбы (10 см3)

V1 - предел допустимой погрешности объема мерной колбы (0.05 см3)

V2 - объем пипетки с делениями (5 см3)

V2 - предел допустимой погрешности объема мерной колбы (0.05 см3)

V3 - объем дозы раствора №2 (0, 1см3 )

V3 -предел допустимой погрешности объема дозатора (0, 0015см3 )

n -предел допустимой погрешности весов(0, 1мг)

m -массовая концентрация бензола в растворе №2. (0, 80 мг/см3)

m -границы абсолютной погрешности раствора №2.(0.01518)

Мi4i-1 -масса мерной колбы на 10см3 с 5 см3 муравьиной кислоты=19112, 8 мг.

Мi4 -масса мерной колбы на 10см3 с 5 см3 муравьиной кислоты + АС=19232, 8 мг.

 

 

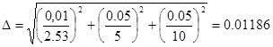
мг/см3(11, 86 мг/м3)

мг/см3(11, 86мг/м3)

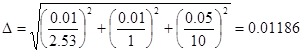
мг/см3(11, 86мг/м3)

 

мг/см3(11, 86мг/м3)

 

 


Поделиться с друзьями:

mylektsii.su - Мои Лекции - 2015-2026 год. (1.073 сек.)Все материалы представленные на сайте исключительно с целью ознакомления читателями и не преследуют коммерческих целей или нарушение авторских прав Пожаловаться на материал