Главная страница
Случайная страница
КАТЕГОРИИ:
АвтомобилиАстрономияБиологияГеографияДом и садДругие языкиДругоеИнформатикаИсторияКультураЛитератураЛогикаМатематикаМедицинаМеталлургияМеханикаОбразованиеОхрана трудаПедагогикаПолитикаПравоПсихологияРелигияРиторикаСоциологияСпортСтроительствоТехнологияТуризмФизикаФилософияФинансыХимияЧерчениеЭкологияЭкономикаЭлектроника
|
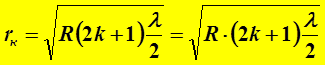
Радиус светлых колец Ньютона в отраженном свете
, k = 0, 1, 2, …
Наблюдение колец Ньютона в проходящем свете


- max I 
поскольку , то радиус светлых колец в проходящем свете
, где k= 0, 1, 2, …
Просветление оптики (воздух – пленка - стекло)

∆ = (2k+1) - отраженные лучи, интерфирируя, гасят друг друга (расчет ведется для , поэтому просветленная оптика имеет голубоватую или фиолетовую окраску).
Применение интерференции 1.Просветление оптики. Ослабляется отражение света в оптических системах. 2. Многолучевая интерференция (в лазерной технике) – усиление определенной λ (пластинки с разными n, но разная толщина и одинаковая оптическая разность хода). 3. Микроинтерференционный контроль чистоты поверхности. Наблюдение качества интерференционной картинки по принципу наблюдения колец Ньютона в отраженном свете. 4.Интерференционные рефрактометры (регистрируется изменение показателя преломления веществ ∆ n ~ 1/1000000). 5.Прецизионное измерение углов, исследование быстротекущих процессов в воздухе (обдув летательных аппаратов, автомобилей и пр.).
|