Студопедия

Главная страница Случайная страница

КАТЕГОРИИ:

АвтомобилиАстрономияБиологияГеографияДом и садДругие языкиДругоеИнформатикаИсторияКультураЛитератураЛогикаМатематикаМедицинаМеталлургияМеханикаОбразованиеОхрана трудаПедагогикаПолитикаПравоПсихологияРелигияРиторикаСоциологияСпортСтроительствоТехнологияТуризмФизикаФилософияФинансыХимияЧерчениеЭкологияЭкономикаЭлектроника






Операции над массивами в Excel






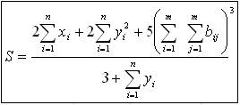
Пусть в соответствии с заданием, рис. 6.12, необходимо по формуле вычислить S при заданных массивах X, Y и B, рис. 6.7.

Выполнение лабораторной работы начинается с внесения исходных данных задания в соответствующие ячейки таблицы Excel, в выбранной адресации:

– значения вектора X – B46: E46;

– значения вектора Y – B48: E48;

– значения матрицы B – G47: H48, рис. 6.7.

 

 

Рис. 6.7.

 

Затем в ячейке D52 через мастер функций fx по формуле =СУММ(G47: H48) вычисляется сумма элементов двумерного массива B, рис. 6.8.

Рис. 6.8.

Затем в ячейке D55 через мастер функций fx по формуле =СУММ(B46: E46) вычисляется сумма элементов одномерного массива X, рис. 6.9.

Рис. 6.9.

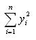
Затем в ячейке D58 через мастер функций fx по формуле =СУММКВ(B48: E48)вычисляется сумма квадратов элементов одномерного массива Y, рис. 6.9.

Рис. 6.10.

Затем в ячейке D62 через мастер функций fx по формуле =СУММ(B48: E48)вычисляется сумма элементов одномерного массива Y, рис. 6.11.

Рис. 6.11.

После этого в ячейке F58 записывается арифметическое выражение =(2*D55+2*D58+5*D52^3)/(3+D62), соответствующее заданию, рис. 6.12, и вычисляется величина S, рис. 6.7.

Рис. 6.12.

В итоге получается, что величина S, вычисленная с помощью функций Excel равна 549, 625.

 


Поделиться с друзьями:

mylektsii.su - Мои Лекции - 2015-2026 год. (0.212 сек.)Все материалы представленные на сайте исключительно с целью ознакомления читателями и не преследуют коммерческих целей или нарушение авторских прав Пожаловаться на материал