Студопедия

Главная страница Случайная страница

КАТЕГОРИИ:

АвтомобилиАстрономияБиологияГеографияДом и садДругие языкиДругоеИнформатикаИсторияКультураЛитератураЛогикаМатематикаМедицинаМеталлургияМеханикаОбразованиеОхрана трудаПедагогикаПолитикаПравоПсихологияРелигияРиторикаСоциологияСпортСтроительствоТехнологияТуризмФизикаФилософияФинансыХимияЧерчениеЭкологияЭкономикаЭлектроника






Обратите внимание на следы торможения разной ширины






 

В подавляющем числе ДТП следы торможения имеют прямолинейную направленность; такие следы легко и просто наносятся на схему, так как достаточно нанести расстояние от одного из следов до обочины и длину обоих следов. Вместе с тем нередки случаи криволинейного характера следов, прежде всего оставляемого автомобилем в процессе заноса или разворота в результате действия поперечной силы, когда привязка следов требует проведения промеров с определенным шагом, например через 5 м (см. схему №3). На такой схеме необходимо нанести расстояние между следами в поперечной оси, что позволит при необходимости определить положение этого автомобиля в любой точке траектории.

В некоторых происшествиях следы скольжения или качения правых и левых колес имеют разную ширину, что непременно должно быть отражено на схеме, так как свидетельствует о факте движения на спущенной шине. Отсутствие этой информации может затруднить установление причинно-следственной связи и определение виновной стороны в ДТП. Так, в одном из ДТП, в котором водитель допустил наезд на световую опору при следовании из Центрального района г. Тольятти в Портпоселок, в результате чего погибли две пассажирки, одной из версий изменения направления движения автомобиля рассматривался разрыв шины правого переднего колеса.

Колесо действительно было разорвано, но произошло ли это до наезда или в процессе удара автомобиля в опору, требовалось определить экспертным путем. Вместе с тем водитель на следствии утверждал, что автомобиль непреодолимо повело вправо и что на дороге четко просматривался след правого переднего колеса, на который никто не обратил внимание. Достаточно было след отразить на схеме происшествия, и следствию проще было бы разоб­раться в особенностях этого непрос­того дела.

Упущения, неточности и неполнота отражения следов, участков осыпи грунта и россыпи осколков стекла, деталей и фрагментов автомобиля на схемах происшествий создают дополнительные трудности для лиц, которые, в силу своих должностных обязанностей, призваны быстро и без проволочек рассматривать дела о происшествиях, но зачастую наказывают невиновных водителей тем, что затрудняется получение ими страховых выплат. Нередки еще случаи, когда инспекторы ДПС, прибывшие на место происшествия, отказываются вносить ту или иную информацию, относящуюся к данному происшествию, игнорируя просьбы участников событий. Если кто из водителей столкнется с таким поведением инспекторов ГАИ, рекомендуем вписать свое несогласие с составленной схемой и указать мотивы этого несогласия.

Поверьте, упущенная информация тут же будет внесена в материал ДТП. Есть надежда, что аварийные комиссары смогут избежать рассмотренных в статье ошибок и заслужат доверие участников дорожного движения.

 

Схема № 1. Поперечное столкновение транспортных средств

 

1 - транспортное средство № 1;

2 - транспортное средство №2;

3 - направление движения ТС№ 1;

4 - направление движения ТС № 2;

5 - следы торможения ТС № 1;

6 - следы бокового заноса ТС №2;

7 - место столкновения ТС

 

Схема № 2. Попутное столкновение транспортных средств при развороте одного из них

1. - транспортное средство № 1;

2. - транспортное средство № 2;

3. - направление движения ТС № 1;

4. - направление движения ТС № 2;

5. - следы торможения ТС № 1;

6. - место столкновения ТС

Схема № 3. Встречное столкновение транспортных средств

 

1. - транспортное средство № 1;

2. - транспортное средство № 2;

3. - направление движения ТС№ 1;

4. - направление движения ТС № 2;

5. - место столкновения со слов водителя ТС № 1;

6. - место столкновения со слов водителя ТС № 2;

7. - участок осыпи грунта и осколков стекла.

Особенностью административных правонарушений в области дорожного движения является то. что каждое из ДТП происходит в своих неповторимых условиях: состояние дорожного покрытия, видимость в направлении движения, профиль дороги, направление и скорость движения транспортных средств и т.д. Чтобы принятые по каждому из этих происшествий решения о виновности того или иного водителя соответствовали действительному развитию события, схема происшествия должна полностью отражать конкретную ситуацию. При этом участники ДТП вправе требовать от лиц, оформляющих схему (инспекторов ДПС, аварийных комиссаров), внесения всех без исключения факторов, относящихся к данному происшествию, в том числе следы торможения и предметы, отделившиеся от автомобиля, принадлежность которых к нему вызывает сомнение. Их следует нанести на схему с соответствующей пометкой, чтобы впоследствии, при более детальном изучении материала (например, при проведении автотехнической экспертизы), специалисты могли определить их отношение к данному ДТП и использовать по назначению.

 

Если в ДТП водители получили телесные повреждения и «скорой помощью» увезены в лечебное учреждение, инспекторам ДПС приходится оформлять материал в их отсутствие только с учетом той обстановки, которая сохранилась на дороге. Порой по расположению ТС на дороге не удается однозначно определить направление движения автомобилей или занимаемый перед столкновением ряд на проезжей части, место первичного контакта автомобилей. В таких ситуациях особенно важно нанести на схему все, что находится на месте происшествия: участки осыпи грунта, россыпи осколков стекла, подтекания жидкостей, предметов, деталей и фрагментов, отделившихся от столкнувшихся ТС. При этом, все они должны быть «привязаны» размерами к одному из окружающих объектов постоянного расположения (световой опоре, опоре ЛЭП, километровому столбу, дереву, элементам моста и т.п.) цепочкой расстояний, связанных между собой и с ТС, находящимися на дороге после столкновения (схема №1).

На схеме должны быть указаны: ширина проезжей части и обочин, направление автодороги и направление движения ТС. Указывается тип и состояние дорожного покрытия (асфальт: сухой, мокрый или с наледью; с загрязнением; наличие повреждений покрытия; профиль дороги (углы продольного и поперечного уклона); видимость в направлении движения). Важность внесения этой информации в схему и протокол осмотра места ДТП определяются тем, что может возникнуть необходимость с ее помощью в определении скорости движения ТС, предельно допустимой скорости по дорожным условиям и условиям видимости дороги, расчетные коэффициенты при определении которых зависят от перечисленных факторов.

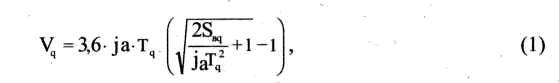
Например, предельно допустимая скорость движения по условиям видимости дороги определяется по формуле:

где:

ja @ q*J - расчетное замедление при ускорении;

q - ускорение свободного падения;

J - коэффициент сцепления в данных дорожных условиях;

Tq = t1q + t2 +0.5t3 - время приведения в действие тормозов;

t1q = 0.3 сек - время реакции водителя для данного расчета;

t2 - время срабатывания тормозов;

t3 - время нарастания замедления до значения ja;

SBq - расстояние видимости дороги в направлении движения.

 

Особенно важно видимость дороги указать при сложных метеорологических условиях (снег, метель, дождь, туман) и в ночное время суток. Если имеется искусственное освещение дороги от световых опор, на это обстоятельство следует указать в оформляемом материале. Не исключены случаи, что к моменту приезда экипажа ДПС на место происшествия освещение на опорах будет выключено, в таком случае в объяснениях водителей необходимо отметить, что в момент ДТП освещение работало, и указать значение расстояния видимости дороги на тот момент.

В протоколе осмотра места ДТП или в другом каком документе должны быть внесены данные о степени загрузки транспорта, т.к. они могут потребоваться при проведении автотехнической экспертизы, поскольку влияют на ускорение разгона и замедление торможения автомобиля, величину тормозного и остановочного пути. Иногда степень загрузки (а скорее, перегрузки) ТС является определяющей в причинно-следственной связи происшествия, например при разрыве шины с соответствующими последствиями (опрокидывание, столкновение со встречным транспортом, наезд на препятствие и т.п.).

В дорожно-транспортных происшествиях, произошедших на криволинейных участках дороги, возникают сложности при выполнении обмеров и нанесении расстояний на схему происшествия, связанные с конфигурацией. Если на схеме происшествия не нанесены характеристики изменения направления дороги, то при масштабных построениях она будет представлена прямолинейной, а следовательно, будет искажена дорожно-транспортная ситуация. На схеме №2 приведен вариант - оформления схемы ДТП при встречном столкновении двух транспортных средств на дороге с изменяющимся направлением. Для определения кривизны на участке закругления дороги используется метод хорды, по которому наносятся расстояния между началами закруглений или между двумя любыми точками кривой (хорда) и расстояние от этой хорды до края проезжей части в наиболее удаленной от хорды точке (размеры А и Б, схема 2). Угол между прямыми участками дороги может быть воспроизведен с достаточно высокой точностью, если на схеме происшествия будет изображена дорога соответствующей конфигурации с нанесением размеров В, Г, Д, Е. Несомненно, проведение таких замеров сопряжено с определенными трудностями, однако их наличие на схеме обеспечит наиболее точное воспроизведение ДТС и позволит избежать ошибок при проведении экспертного исследования такого ДТП. Если не производить указанные на схеме №2 замеры, то масштабное построение схемы происшествия экспертом возможно при запросе в дорожной службе (или в архитектурно-планировочном управлении района) топографической схемы соответствующего участка дороги. Особенно часто к этому приходится прибегать при анализе ДТП, произошедших на кольцевых развязках. Особенности ДТП на таких участках дороги и приемы составления схем будут рассмотрены в следующей статье.

 


Поделиться с друзьями:

mylektsii.su - Мои Лекции - 2015-2026 год. (1.668 сек.)Все материалы представленные на сайте исключительно с целью ознакомления читателями и не преследуют коммерческих целей или нарушение авторских прав Пожаловаться на материал