Студопедия

Главная страница Случайная страница

КАТЕГОРИИ:

АвтомобилиАстрономияБиологияГеографияДом и садДругие языкиДругоеИнформатикаИсторияКультураЛитератураЛогикаМатематикаМедицинаМеталлургияМеханикаОбразованиеОхрана трудаПедагогикаПолитикаПравоПсихологияРелигияРиторикаСоциологияСпортСтроительствоТехнологияТуризмФизикаФилософияФинансыХимияЧерчениеЭкологияЭкономикаЭлектроника






Виды измерений






Виды измерений определяются физическим характером измеряемой величины, требуемой точностью и необходимой скоростью измерения, условиями измерений и пр. Можно выделить виды измерений в зависимости от их цели: контрольные, диагностические, лабораторные, технические, эталонные, поверочные, абсолютные, относительные и т.д. Ряд определений классификации приведем здесь, другие — в процессе изложения материала.

 

По общим приемам получения результатов измерений они делятся на прямые, косвенные, совместные и совокупные.

Прямые — измерения, при которых значение физической величины находится непосредственно из опытных данных. Прямые измерения характеризуют формулой

А = х, (1.4)

где х — значение величины, наиденное путем ее измерения и называемое результатом измерения.

Косвенным называют измерение, при котором искомое значение величины находят на основании известной зависимости между этой величиной и величинами, подвергаемыми прямым измерениям. Косвенные измерения можно охарактеризовать следующей формулой:

А = ƒ (х1 х2..., хт), (1.5)

где х1 х2..., хт результаты прямых измерений величин, связанных функциональной зависимостью ƒ с искомым значением измеряемой величины А.

К косвенным измерениям относится определение резонансной частоты колебательного контура по результатам прямых измерений емкости и индуктивности и т.д.

Совокупными называют проводимые одновременно измерения нескольких одноименных величин, при которых их значения находят решением системы уравнений, получаемых при прямых или косвенных измерениях различных сочетаний этих величин.

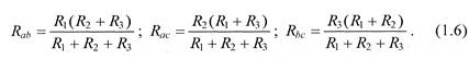
При этом могут измеряться несколько комбинаций значений величин. Например, измеряя сопротивления Rab, Rac и Rbc между вершинами треугольника электрической цепи, в котором соединены сопротивления резисторов R1, R2 и R3 (рис. 1.1) и, решая систему уравнений типа (1.5) можно определить искомые значения сопротивлений R1, R2 и R3 методом совокупных измерений:

 
 

 


Совместными называют проводимые одновременно измере ния двух или нескольких, разноименных величин для установления зависимости между ними.

Как видно из определений, совокупные и совместные измерения весьма близки друг к другу. В обоих случаях искомые значения находят в результате решения системы уравнений, коэффициенты в которых получены путем прямых измерений. Отличие состоит в том, что при совокупных измерениях одновременно определяют несколько одноименных величин, а при совместных — разноименных.

Наиболее известный пример совместных измерений — определение зависимости сопротивления резистора от температуры:

Rt = R20[1 + α (t - 20) + β (t - 20) 2], (1.7)

где R20 — сопротивление резистора при t = 20 °С; α, β — температурные коэффициенты.

Для определения R20, α и β вначале измеряют сопротивление Rt, резистора при, например, трех различных значениях температуры (t1, t2, t3), а затем составляют систему из трех уравнений, по которой находят параметры R20, α и β:

Rt1 = R20[1 + α (t1 - 20) + β (t1 - 20) 2];

Rt2 = R20[1 + α (t2 - 20) + β (t2 - 20) 2]; (1.8)

Rt3 = R20[1 + α (t3 - 20) + β (t3 - 20) 2].

Косвенные, совместные и совокупные измерения объединены общим свойством: их результаты рассчитывают по известным зависимостям между измеряемыми величинами и величинами, определяемыми прямыми измерениями. Однако совместные измерения основываются на известных уравнениях, отражающих существующие связи между измеряемыми величинами, а совокупныена уравнениях, отражающих произвольное комбинирование величин. Следовательно, совместные измерения можно интерпретировать как обобщение косвенных, а совокупныекак обобщение прямых измерений.

В зависимости от выражения результатов измерения делят на абсолютные и относительные.

Абсолютные измерения основаны на прямых измерениях одной или нескольких величин с использованием значений физических констант. Результат абсолютного измерения непосредственно выражают в единицах измеряемой величины.

Относительные измерения — измерения соотношения величины к одноименной величине, играющей роль единицы, или изменения величины по отношению к одноименной величине, принимаемой за исходную.

При относительных измерениях используют внесистемную безразмерную единицу — децибел (дБ), определяемую при сравнении напряжений (иногда токов) U2 и U1:

1 дБ = 20 lg (U2/ U1), при U2/U1= 101/20 = 1, 122,

а при сравнении мощностей Р2 и Р1;

1 дБ = 10 lg (Р21), при Р21 = 101/10 = 1, 259.

Для перевода отношений мощностей и напряжений (токов) в децибелы и обратно применяют справочные таблицы.


Поделиться с друзьями:

mylektsii.su - Мои Лекции - 2015-2026 год. (1.089 сек.)Все материалы представленные на сайте исключительно с целью ознакомления читателями и не преследуют коммерческих целей или нарушение авторских прав Пожаловаться на материал