Студопедия

Главная страница Случайная страница

КАТЕГОРИИ:

АвтомобилиАстрономияБиологияГеографияДом и садДругие языкиДругоеИнформатикаИсторияКультураЛитератураЛогикаМатематикаМедицинаМеталлургияМеханикаОбразованиеОхрана трудаПедагогикаПолитикаПравоПсихологияРелигияРиторикаСоциологияСпортСтроительствоТехнологияТуризмФизикаФилософияФинансыХимияЧерчениеЭкологияЭкономикаЭлектроника






Пример выполнения задания 1






Задание 1. Имеется информация о потреблении холодной воды предприятием за предыдущий год. Определить номер месяца, в котором расход был минимальным.

Таблица 8 – Исходные данные для задания 1

N месяца Расход холодной воды, м3
   
   

Для правильного выполнения задания необходимо проработать разделы данного методического пособия и пункты 2.6.4 и 3.4 соответствующих разделов.

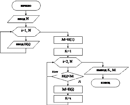
Выполним построение математической модели и алгоритма решения данной функциональной задачи.

а) Обозначение переменных:

N – количество месяцев в отчете;

В(N) – массив данных о потреблении воды за N месяцев;

i – номер текущего месяца (i = 1, 2, 3,...N);

М – минимальный расход воды;

К – номер месяца с минимальным расходом.

б) Тип переменных:

i, K, N – простые переменные целого типа;

В(i)- вещественная переменная с индексом (элемент массива В);

M – простая переменная вещественного типа;

в) Классификация по группам:

исходные данные: B(N);

промежуточный результат: i;

результаты: M, К.

г) При разработке системы расчетных формул необходимо воспользоваться типовыми алгоритмами обработки информационных массивов (в данном случае Пример 7–3).

Вычислительный процесс циклический, в теле цикла рассматривается условие, при котором выполняется поиск минимального элемента и его номера.

Переменная, удовлетворяющая всем требованиям к параметру цикла – i:

начальное значение i=1;

конечное значение i=N;

закон изменения i=i+1.

Система расчетных формул примет вид:

M = B(1) за начальное значение минимума берем первый элемент
K = 1 начальный номер минимального элемента
i = 2 начальный номер следующего элемента
Если В(i)< M, то M = B(i); K= i формирование нового максимума и его номера
i = i + 1 формирование номера следующего элемента  
       

Если i≤ N, то повторять действия, иначе выход из цикла

 
 


Представим алгоритм определения минимального потребления холодной воды предприятием и номера месяца с минимальным расходом в виде блок-схемы (рис19):

 

 

 


Рис. 19 Блок-схема обработки массива к заданию 1

Программа на VBA имеет вид:

Sub Задание1()

Dim B() As Single

Dim M As Single

Dim i, K, N As Integer

N = InputBox(" Введите количество элементов массива")

ReDim B(N) As Single

For i = 1 To N

B(i) = InputBox(" Введите" & i & " -й элемент массива")

Debug.Print i; " -й расход ", B(i)

Next i

M = B(1)

K = 1

For i = 2 To N

If B(i) < M Then

M = B(i)

K = i

End If

Next i

Debug.Print " Номер дня с минимальным расходом="; K

Debug.Print " Минимальный расход предприятия= "; M

End Sub


Поделиться с друзьями:

mylektsii.su - Мои Лекции - 2015-2026 год. (0.248 сек.)Все материалы представленные на сайте исключительно с целью ознакомления читателями и не преследуют коммерческих целей или нарушение авторских прав Пожаловаться на материал